机械收获模式下直播冬油菜密度与行距的优化
蒯婕1, 孙盈盈1, 左青松2, 廖庆喜1, 冷锁虎2, 程雨贵3, 曹石1, 吴江生1, 周广生1,*
1 华中农业大学植物科学技术学院, 湖北武汉 430070
2 扬州大学江苏省作物遗传生理重点实验室, 江苏扬州 225009
3 宜昌市农业科学研究所, 湖北宜昌 443004
* 通讯作者(Corresponding author): 周广生, E-mail: zhougs@mail.hzau.edu.cn

第一作者联系方式: E-mail: kuaijie@mail.hzau.edu.cn, Tel: 13915542683

摘要

以华油杂62为材料, 采用裂区设计, 设置密度15万株hm-2(D1)、30万株hm-2(D2)、45万株hm-2(D3)为主区; 行距15 cm (R15)、25 cm (R25)、35 cm (R35)为裂区, 研究密度及行距变化对油菜群体人工收获产量、叶面积指数(LAI)、角果皮面积指数(PAI)、透光率、抗倒伏、抗裂角性能及机械收获产量的影响, 探讨透光率与产量、抗倒性的关系, 建立机械化生产模式下油菜密度及行距最优配置。结果表明, 密度增加或行距减小, 油菜成株率适宜, LAI、PAI值增加, 冠层透光率下降, 群体生物量及经济系数增加, 人工收获产量增加; 但单位LAI(PAI)光拦截量、单株生物量及根干重下降, 且较低的单位LAI (PAI)光拦截量有利于提高油菜经济系数; 密度及行距处理间差异及互作效应显著, 与农户习惯种植模式(D2R25)相比, 在D3R15处理下可增产14.1%, 获得最高人工收获产量。密度或行距增加, 地上部鲜重、株高降低及根冠比增加, 导致油菜茎秆、根倒角度下降, 抗裂角指数增加, 机械收获产量变化趋势与人工收获产量一致, 与机械收获总损失率相反, 表明除通过提高油菜抗倒性和抗裂角性降低机收损失外, 较高的人工收获产量是获得较高机械收获产量的前提。由回归方程可知, 与常规30万株hm-2密度、25 cm行距配置比, 密度43.8万株 hm-2和行距21 cm配置可使蕾薹期LAI提高21.02%、透光率及单位LAI光拦截量分别下降32.47%与17.36%, 角果期PAI增加15.08%、透光率及单位PAI光拦截量分别下降32.04%与3.30%, 获得较高的机械收获产量, 进一步提高油菜机械化生产效益。

关键词: 油菜; 密度; 行距; 机械收获; 产量
Optimization of Plant Density and Row Spacing for Mechanical Harvest in Winter Rapeseed ( Brassica napusL.)
KUAI Jie1, SUN Ying-Ying1, ZUO Qing-Song2, LIAO Qing-Xi1, LENG Suo-Hu2, CHENG Yu-Gui3, CAO Shi1, WU Jiang-Sheng1, Zhou Guangsheng1
1 College of Plant Science and Technology, Huazhong Agricultural University, Wuhan 430070, China;
2 Key Laboratory of Crop Genetics and Physiology of Jiangsu Province, Yangzhou University, Yangzhou 225009, China;
3Agricultural Institute of Yichang City, Yichang 443004, China
Abstract

The field experiment was conducted with the cultivar Huayouza 62, which was seeded at 15 (R15), 25 (R15), and 30 (R15) cm in row spacing and 15 (D1), 30 (D2), and 45 (D3) ×104 plants hm-2in density. The theoretical yield, leaf area index (LAI), pod area index (PAI), mechanical-harvested yield and yield loss were measured and calculated. Results showed that plant density and row spacing significantly affected the seed yield of rapeseed. The yield was increased as the plant density increased or row spacing reduced. Compared with the planting patterns used by farmers (D2R25), D3R15 could achieve 14.1% increase in yield, which was the highest yield among all the treatments because of appropriate mortality, the highest LAI, PAI and the light interception (LI). Population biomass had the similar trend with yield while harvest index (HI) significantly increased with increasing plant density and row spacing. HI was significantly and negatively correlated with LI/ LAI (PAI), indicating that lower LI/ LAI (PAI) was favorable for increasing HI. Plant height and aboveground biomass reduced and root/shoot ratio increased with increasing plant density and row spacing, which led to decrease root and stem lodging. Improvement in resistance to pod shattering was also observed as plant density and row spacing increased. These changes all contributed to mechanical harvesting operations, resulting in reducing yield loss. As the regression equations showed, compared with D2R25, 43.8×104 plants ha-1 in combination with 21 cm row spacing was optimum for rapeseed to maximize seed yield and minimize lodging and pod shattering so as to facilitate mechanical harvest. The combination could make the LAI increase by 21.02%, light transmittance (LT) and LI/LAI decrease by 32.47% and 17.36%; PAI increase by 15.08%, LT and LI/PAI decrease by 32.04% and 3.30%.

Keyword: Rapeseed; Density; Row spacing; Mechanical harvesting; Yield

我国是油菜生产大国, 面积和总产均占世界的30%左右[1]。但我国油菜传统手工生产方式用工多、效益低, 制约了油菜生产的发展。油菜全程机械化生产可减少用工、提高效益, 机械收获是其中的关键环节, 但机械收获损失率偏高是油菜机械化生产水平进一步提高的限制因素。密度和行距配置是调控产量的重要栽培措施, 可在不增加其他投入前提下, 通过株型结构的改善, 合理利用光能, 提高作物产量[2, 3]与抗倒性[4]。密度对油菜机械化收获的影响已有报道[2, 5, 6], 研究结果均认为较高的种植密度有利于油菜机械收获技术的应用。但我国直播油菜密度为15.0~22.5万株 hm-2, 移栽油菜密度为8.0~12.0万株 hm-2, 成熟期茎秆粗壮、分枝缠绕, 油菜机械收割效率低, 籽粒损失率也在10%以上[7]。此外, 油菜为无限花序, 角果成熟差异大, 也不利于机械收获技术的推广。密植条件下, 油菜单株产量降低[8], 但群体增产[9, 10], 适当增加种植密度, 油菜角果成熟一致性提高、株型紧凑, 有利于机械收获[11]。Stamp等[12]则认为倒伏与密度极显著正相关。增加种植密度, 抗倒性下降, 造成作物减产[13]。行距对作物机械生产的影响研究主要集中在水稻上[14, 15], 合理行距配置可发挥作物产量潜力, 充分利用光能, 提高产量[4, 16], 也有利于机械作业[14, 15]。多数研究表明, 株距减小, 则个体竞争激烈, 营养分配失调, 形态指标恶化, 产量降低; 行距增加, 则光合有效辐射透射率增加, 光能利用率下降[17]。作物抗倒性在不同株行距配置间存在差异。小麦抗倒性与群体透光率显著正相关, 减少种植行数, 适当增大行距后, 群体透光率提高, 抗倒性增强[4]。此外, 密度和行距间存在互作效应, 适度增加密度可提高产量, 但随行距的增加产量有降低的趋势[18]; 高密度种植, 缩小行距, 作物整齐度提高, 既可增加产量, 又有利于机械收获[19]。本研究拟从群体冠层结构、光能利用及机械收获相关性状出发, 研究不同密度及行距配置下, 油菜机械收获过程中籽粒损失途径、产量差异及影响机制, 以期为油菜机械化生产模式下合理的密度及行距配置提供理论依据及技术支撑。

1 材料与方法
1.1 试验设计

于2012— 2013、2013— 2014年度在华中农业大学试验场种植华油杂62, 2年度播前耕层土壤分别含碱解氮101.26 mg kg-1、103.63 mg kg-1, 速效磷13.84 mg kg-1、14.47 mg kg-1, 速效钾146.28 mg kg-1、150.38 mg kg-1。试验地前茬均为水稻, 9月中旬收获。采用裂区设计, 设置3个密度水平, 即15万株 hm-2(D1)、30万株 hm-2(D2)、45万株 hm-2(D3), 为主区; 3个行距水平, 即15 cm (R15)、25 cm (R25)、35 cm (R35), 为副区, 3次重复, 计27个小区, 各小区长均为50 m。D1R15、D1R25、D1R35、D2R15、D2R25、D2R35、D3R15、D3R25、D3R35小区的株距分别为44.5、26.7、19.1、22.2、13.3、9.5、14.8、8.9和6.4 cm。2012年和2013年分别在9月23日、9月26日条播。油菜出苗后间去丛子苗, 一至三叶期连续间苗, 四至五叶期定苗。播种时施用N、P、K (15%-15%-15%)复合肥900 kg hm-2、硼沙7.5 kg hm-2作底肥。越冬期施用纯氮135 kg hm-2, 以尿素为氮源。其他同常规管理。

1.2 测定内容与方法

1.2.1 蕾薹期(叶片)、角果期(角果皮)面积指数及群体透光率 油菜薹高10 cm左右时, 在各小区中连续取样20株, 用叶面积仪(Li-3100c, Li-Cor Inc., USA)测定单株叶面积, 根据取样面积计算叶面积指数(LAI), 同时用冠层分析仪(SUNSCAN Canopy Analysis System)测定群体透光率; 油菜终花后30 d, 各小区连续取样20株, 测定各角果长、宽值, 用克拉克公式Sa = π dh1+1/3π dh2(h1= 0.8Hh2= 0.2H; H为角果长, d为角果宽)[20]计算角果皮面积, 据取样面积计算角果皮面积指数(PAI), 同时采用SUNSCAN冠层分析系统(SUNSCAN Canopy Analysis System)测定透光率。用公式(100 - 透光率)/LAI (PAI)计算各小区单位LAI (PAI)光拦截量。

1.2.2 田间倒伏角度、抗裂角指数 总倒伏角度为冠层最高点至子叶节连线与垂直方向的夹角; 根倒角度为半径20 cm量角器测定的茎秆与垂直方向的夹角; 茎倒角度=总倒伏角度-根倒角度[21]。各小区连续取样10株, 剪下主花序角果, 测定鲜重, 在自然条件下风干30 d后, 用随机碰撞法及公式1 - Σ xi (6-i)/100测定抗裂角指数[22]

1.2.3 人工收获产量、成株率、株高、地上部鲜重、根冠比 成熟期观察各小区实际存活株数, 结合理论株数, 测定其成株率。取各小区有代表性植株15株, 考察株高、根鲜重、地上部分鲜重。然后, 人工收获长度为8 m的油菜后装袋, 晾晒5~7 d后脱粒、扬净、晒干后称重, 得出各小区人工收获产量。株高为子叶节至植株顶端的高度; 根颈粗为游标卡尺测定的子叶节下1 cm粗度; 地上部鲜重为植株子叶节以上部鲜重; 根鲜重为子叶节以下部鲜重; 然后将根系及地上部于105℃下杀青30 min、80℃烘干至恒重, 测定干物质量并计算根冠比。

1.2.4 机械收获产量及损失率测定 当各小区主茎中部角果籽粒含水量降至12%~13%时, 采用型号为4LL-2.0D的星光自尊油菜收割机收获, 各小区收获长度为40 m、留茬高度为40 cm。参照左青松等[23]的方法, 测定机械收获损失率。

1.3 数据处理

2012— 2014年气象数据来自国家气象信息中心。采用SPSS 10.0软件统计分析数据、Origin 8.0软件作图。采用最小显著差法(LSD)比较处理间差异; 采用二元二次曲线模型进行回归分析。

2 结果与分析
2.1 气象因子

2012— 2013、2013— 2014年油菜生长季温度和降水量存在差异(图1)。2013— 2014季苗期至越冬期(11月至翌年1月)月均温度较2012— 2013季高出2.5℃, 2012— 2013、2013— 2014季最低温分别出现在1月和2月份。2012— 2013、2013— 2014季总降水量分别为885.2 mm和791.9 mm, 与2012— 2013季相比, 2013— 2014季降水量在越冬后期(1月至2月)较多, 而在苗期(10月)和角果成熟期(5月)则较低。

图1 油菜生长季气象因子(温度、降雨量)比较(2012-2014)Fig. 1 Meteorological conditions during the growing seasons of rapeseed in 2012-2014
MDTmax、MDT和MDTmin分别表示月均最高温、月均温和月均最低温。
MDTmax, MDT, and MDTmin stand for mean daily maximum temperature, mean daily temperature, and mean daily minimum temperature.

2.2 成株率、人工收获产量

与定苗密度相比, 成熟期各小区实际株数均有所降低, 存在明显的消亡效应。密度或行距增加, 导致成熟收获期成株率下降, 且3个密度条件下, 均为株行距差值最小的处理小区在成熟期成株率最高, 年际间变化趋势一致。虽存在消亡效应, 但实际产量仍随密度增加而增加; 密度相同时(D2、D3), 随行距增加, 因有效株数减少, 实际产量下降。农户习惯种植模式下(30万株 hm-2, 行距25 cm)的成株率为83.05%、人工收获产量为3136.5 kg hm-2; 密度增加到45万株 hm-2, 行距减小至15 cm时, 成株率降低至81.84%、但产量为3577.5 kg hm-2, 可增产14.1% (图2)。年份、密度、行距对成株率和人工收获产量的影响存在显著互作效应, 三者中, 受密度的影响最大, 且密度和行距对上述指标的互作效应均达极显著水平(表1)。

表1 油菜机械化收获关键指标方差分析 Table 1 Variance analyses for key indicators related to mechanical harvest

图2 不同种植密度和行距下油菜成株率、人工收获产量差异(2012-2014)Fig. 2 Plant maturity rate, seed yield of direct-seedling winter rapeseed under different densities and row spacing arrangements in 2012-2014

2.3 密度及行距对冠层光合性能相关指标的影响

行距相同时, 密度增加, 蕾薹期LAI值及角果期PAI值相应增加, 田间透光率、单位LAI (PAI)光拦截量(拦截量/LAI、拦截量/PAI)均逐渐下降, 但角果期群体生物量及经济系数逐渐增加; 密度相同时, 行距增加, 蕾薹期LAI值及角果期PAI值下降, 田间透光率、单位LAI (PAI)光拦截量(拦截量/LAI、拦截量/PAI)及经济系数均增加, 但角果期群体生物量下降。方差分析表明, 年份、密度及行距对油菜蕾薹期、角果期光合面积及成熟期生物量、经济系数等指标的影响均达显著或极显著水平。年份、密度及行距效应因指标不同而存在差异, LAI、拦截率/LAI、PAI、角果期透光率、拦截率/PAI和群体生物量受密度影响最显著; 而蕾薹期透光率受行距影响最显著(表2)。年份、密度、行距两两互作效应大小因指标不同而存在差异, 但密度及行距对各指标的互作效应均达极显著水平(表1)。

表2 密度和行距配置对直播油菜产量关键指标的影响(2012-2014) Table 2 Effects of plant densities and row spacing on key indicators related to yield of direct-seedling winter rapeseed during the growing seasons of 2012-2014

相关分析表明(表3), 群体生物量和经济系数与LAI、PAI显著正相关, 且与LAI相关系数更大。群体生物量与蕾薹期、角果期透光率及拦截率/LAI显著负相关, 经济系数则与拦截率/LAI、拦截率/PAI均显著负相关。

表3 群体生物量、经济系数与冠层光合性能相关系数(2012-2014) Table 3 Correlation coefficients of population biomass and harvest index with canopy photosynthetic performance during the growing seasons of 2012-2014
2.4 密度及行距对油菜机械收获关键性状的影响

行距一定时, 随密度增加机收产量显著增加; 机收产量在不同行距下的变化趋势因密度不同存在差异。D1密度下, 机械收获产量在不同行距间存在差异, 但未达显著水平; D2密度下, 行距增加导致小区机收产量下降, 处理间差异显著; D3密度下, 增加行距亦导致小区机收产量极显著下降。行距一定时, 密度增加使机收总损失率显著降低。D2、D3密度下, 行距增加使机收总损失率增加; 两年度各处理总损失率均值占小区产量8.68%~9.24% (图3)。

图3 不同种植密度和行距下油菜机收产量、损失率差异(2012-2014)Fig. 3 Mechanical-harvested yield and total yield loss of direct-seedling winter rapeseed under different densities and row spacing arrangements in 2012-2014

方差分析表明(表1), 不同年份、密度及行距对油菜成株率、机收产量及总损失率的影响均达显著或极显著水平, 且密度效应高于年份及行距效应; 在年份与行距、年份与密度及密度与行距的互作效应中, 密度及行距对各指标的互作效应最为明显, 均达极显著水平。

行距相同时, 油菜茎秆、根倒角度随密度增加而下降, 抗裂角指数随密度增加而增加; 密度相同时, 油菜茎秆、根倒角度随行距增加而下降, 抗裂角指数随行距增加而增加(表4)。方差分析表明(表1), 不同年份、密度及行距对油菜角果期田间倒伏角度 及抗裂角指数的影响均达极显著水平, 且密度效应均高于年份及行距效应; 年份、密度、行距两两互作效应的大小因指标不同而存在差异, 但密度及行距对各指标影响的互作效应均达极显著水平。

表4 种植密度及行距设置对油菜田间倒伏角度和抗裂角指数的影响(2012-2014) Table 4 Lodging angle and pod shattering resistance for direct-seedling winter rapeseed under different densities and row spacing arrangements in 2012-2014

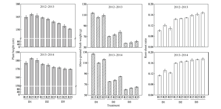
行距相同时, 密度增加, 株高、地上部鲜重降低, 根冠比增加。行距对上述指标的影响因密度不同存在差异。低密度条件下(D1), 行距增加, 株高及根冠比先升高后降低, 但总体高于R15条件下; 而地上部鲜重则呈先降低后升高趋势, 总体仍低于R15处理。在中密(D2)、高密(D3)条件下, 随行距增加株高降低, 而地上部鲜重和根冠比则增加(图4)。方差分析表明(表1), 不同年份、密度及行距对油菜成熟期株高、地上部鲜重和根冠比的影响均达显著或极显著水平, 且受密度× 行距的互作效应显著。

图4 密度和行距配置对直播油菜成熟期株高、地上部鲜重、根冠比的影响(2012-2014)Fig. 4 Plant height, aboveground fresh weight, and root/shoot ratio for direct-seedling winter rapeseed under different densities and row spacing arrangements in 2012-2014

建立机械收获产量与密度和行距的回归方程(表5)。回归方程F值均达极显著水平, 通过检验。方程寻优结果表明(2年均值), 机械收获产量最优理论值的密度及行距最优配置值为43.8万株 hm-2、21 cm。

建立蕾薹期及角果期LAI (PAI)、透光率、拦截率与密度及行距间的回归方程(表6)。2年均值表明, 常规的30万株 hm-2及25 cm行距配置模式下, 蕾薹期LAI为4.72、透光率为3.42%、单位LAI光拦截量20.48%; 角果期PAI为9.54、透光率为25.08%、单位PAI光拦截量9.73%。最优密度和行距配置下, 蕾薹期LAI为5.72、提高21.02%, 透光率为2.31%、下降32.47%, 单位LAI光拦截量为16.94%、下降17.36%; 角果期PAI为8.86、增加15.08%, 透光率为17.20%、下降32.04%, 单位PAI光拦截量为9.41%、下降3.30%。

表5 基于机械收获产量的直播油菜的种植密度及行距优化(2012-2014) Table 5 Optimal values of plant density and row spacing for mechanical-harvested rapeseed based on the predicted yield from the equations in 2012-2014
表6 直播油菜机械化生产模式下种植密度及行距调整的相应生理指标参数变化(2012-2014) Table 6 Changes of key parameters adjusting plant density and row spacing for mechanically harvested rapeseed (2012-2014)
3 讨论
3.1 密度和行距设置对直播冬油菜人工收获产量的影响

基于目前我国长江中下游油菜产区农户习惯种

植密度与行距, 在采用农户习惯施肥水平下, 本试验设密度15~45万株 hm-2, 行距15~35 cm的裂区试验, 选用长江中、下游及春油菜区省定的华杂62品种为试验材料, 以提高试验针对性及实用性。油菜生长季气候条件差异导致试验结果在年际间略有差异。与2012— 2013年比, 2013— 2014年后温度较高, 故各处理蕾薹期LAI和角果期的PAI值略高, 光合面积增加利于干物质累积, 但各小区倒伏加重, 导致该季小区产量略低。

直播油菜存在消亡效应, 随密度或行距增加后成株率显著降低, 这是由于密度增加导致油菜个体生存空间减小, 水肥光等竞争加强, 弱势个体消亡。密度相同时, 行距增加后株距减小, 田间分布不均等化加剧, 个体竞争加剧[24]。本试验中, 消亡比例与株距更为密切, 且相同密度下, 株、行距差值较小配置有利于降低消亡比例, 即个体均等化分布有利于单株生长发育, 这与前人研究结果一致[4, 17]

作物产量取决于群体大小和质量。群体分布均匀, 个体竞争延缓并减小, 有利于植株生长发育[17]。本试验中, D3R15小区株行距差异较小, 产量最高, 表明植株均匀分布更利于群体产量形成[17, 25]。不同密度和行距条件下, 产量差异主要源于植株空间分布、冠层结构及光能利用差异[26]。研究表明, 叶片、角果皮、茎秆和籽粒对油菜籽粒干物质的贡献率分别为37%、32%、31%、1% [27], 且产量与初花期LAI显著正相关[28], 可见叶片和角果皮对产量的形成具有重要作用。增加密度或减小行距, 封行期提前, 光截获量增加, 地表水分蒸发减少、杂草发生受抑制[29], 群体环境优化。本结果显示, 增加密度或减小行距均导致油菜LAI、PAI及单位LAI (PAI)光拦截量增加, 就个体而言, 油菜单株叶面积, 单位绿色光合器官截获的光能减少, 即单位LAI (PAI)光拦截量降低, 油菜个体长势下降, 但群体LAI的增加则可保证群体的光能利用, 从而增加群体生物量。密度相同时, 株、行距差值越大, 单株叶面积及叶面积指数越小。D3R15 处理的株、行距差值最小, LAI和 PAI 最大, 即光合面积最大, 这为提高群体生产力奠定了基础, 此时, 群体生物量亦最大, 产量最高。随密度或行距增加, HI增加, D3R45处理下HI最大, 较低的单位LAI (PAI)光拦截量有利于提高油菜经济系数, 表明密植宽行配置利于光合产物向经济器官的输送, 经济系数与株高、倒伏指数显著负相关[30], 与本研究结果基本一致。

3.2 密度和行距设置对直播冬油菜机收特性及产量的影响

增加密度或减小行距均可提高油菜机收产量、降低总损失率; 密度效应高于行距效应, 且二者互作效应显著。前人研究表明, 油菜机收损失率为5%~10% [31], 略低于本试验的7.0%~11.0%。低密种植, 油菜分枝多, 籽粒充实时间长, 籽粒间成熟差异大, 机械收获损失率高; 相反, 高密种植, 油菜分枝减少, 成熟期集中, 机械化收获损失率低[11], 机械收获产量高。密度和行距互作下, 以D3R15处理的机械收获损失率最低, 机收产量最高。

不同密度和行距条件下, 油菜株型结构改变导致根系、茎秆倒伏和角果抗裂性不同, 最终影响机收产量。多数研究表明, 高密宽行条件下, 冠层紧凑, 接收较多远红外光(FR), 较少红光(R), 较高的FR/R可促进茎秆伸长, 降低茎秆粗度, 易于倒伏[32]。其他研究则表明, 播种量为1.5~12.0 kg hm-2下, 与30 cm相比, 15 cm行距倒伏发生较轻, 产量较高[33]。本试验中, 油菜茎倒及根倒角度随密度及行距增加而降低, D3R35倒伏程度最小, 究其原因是不同密度和行距条件下株型结构存在差异: 首先, 株高是导致倒伏的重要因素, 且受密度和行距影响显著。与其他研究结果相反[29], 本试验中, 随种植密度及行距的增加株高降低, 可能原因是高密行距适宜条件下油菜分枝及角果数减少, 冠层上部吸收的远红光减少, 群体光质量改善, 主茎伸长受抑制[32]。其次, 单株地上部鲜重是影响抗倒性的另一因素。增加密度或减小行距使单株地上部鲜重降低, 原因是油菜个体间竞争加剧, 生长受阻, 株高降低, 地上部分鲜重随之降低, 减轻了根倒的发生。根冠比随密度及行距增加而增加, 表明此条件下根系生长占优势, 有利于土壤水分和养分的吸收。株高降低、根冠比增加提高了植株对冠层的支撑能力[34], 茎倒角度减小。密度和行距显著影响角果抗裂角性。角果重量与抗裂角性显著正相关[35], 增加密度和行距有利于光合产物向经济器官的分配, 角果干重增加, 角果壳结构紧实, 抗裂性增强。此外, 高密条件下, 成熟期相对一致, 角果和籽粒发育同步[8], 可减少机收时角果开裂, 利于机械收获。可见, 适宜密度及行距配置可提高油菜抗倒及抗裂角性, 密度或行距增加, 油菜倒伏程度下降, 抗裂性增强。生产中, 优化种植密度及行距, 减少株、行距差值可降低油菜倒伏风险、提高抗裂角性。

建立机收产量与密度和行距的回归方程, 机收产量理论最高值的密度及行距配置值为43.8万株 hm-2、21 cm。蕾薹期LAI、透光率、单位LAI光拦截量及角果期PAI、透光率、单位PAI光拦截量与群体生物量、经济系数显著相关, 说明通过密度及行距配置改善蕾薹期及角果期相关指标, 有利于提高机械化生产模式下的油菜产量。因此, 建立蕾薹期及角果期上述指标与密度及行距间的回归方程, 将目前我国油菜普遍使用的30万株 hm-2的密度及25 cm的行距配置模式代入方程中, 可得到现阶段常规配置模式中蕾薹期LAI、透光率、角果期PAI及透光率理论值, 同时将机械收获产量最优配置密度43.8万株 hm-2及行距21 cm带入, 可得到适宜机械收获蕾薹期及角果期性状最优值。2年均值表明, 常规30万株 hm-2及25 cm行距配置模式下, 油菜蕾薹期LAI为4.72、透光率为3.42%、单位LAI光拦截量20.48%; 角果期PAI为9.54、透光率为25.08%、单位PAI光拦截量9.73%, 在其他栽培措施保持不变的情况下, 通过密度及行距优化, 使油菜蕾薹期LAI提高21.02%, 达5.72; 透光率下降32.47%, 达2.31%; 单位LAI光拦截量下降17.36%, 达16.94%; 角果期PAI增加15.08%, 达8.86; 透光率下降32.04%, 达17.20%; 单位PAI光拦截量下降3.30%, 达9.41%, 才可获得较高的机械收获产量, 提高油菜生产效益。

4 结论

密度和行距对油菜机械化收获产量影响显著, 且存在互作效应, 在密度43.8万株 hm-2、行距21 cm条件下, 可获得机械收获产量理论最大值3190.5 kg hm-2, 此时根倒、茎秆倒伏角度小, 抗裂角能力强, 机收损失率较低, 机收产量最高。在油菜生产上, 可适当通过高密度种植, 株行距均等化配置等方法来增加群体生物量, 同时提高经济系数、增加抗裂角指数、降低株高、减小田间倒伏角度, 最终降低油菜机收损失率, 提高机械收获产量。

The authors have declared that no competing interests exist.

作者已声明无竞争性利益关系。The authors have declared that no competing interests exist.

参考文献
[1] 王汉中. 我国油菜产需形势分析及产业发展对策. 中国油料作物学报, 2007, 29: 101-105
Wang H Z. Strategy for rapeseed industry development based on the analysis of rapeseed production and demand in China. Chin J Oil Crop Sci, 2007, 29: 101-105 (in Chinese with English abstract) [本文引用:1]
[2] 苏伟, 鲁剑巍, 周广生, 李小坤, 韩自航, 雷海霞. 免耕及直播密度对油菜生长、养分吸收和产量的影响. 中国农业科学, 2011, 44: 1519-1526
Su W, Lu J W, Zhou G S, Li X K, Han Z H, Lei H X. Effect of no-tillage and direct sowing density on growth, nutrient uptake and yield of rapeseed (Brassica napus L. ). Sci Agric Sin, 2011, 44: 1519-1526 (in Chinese with English abstract) [本文引用:2]
[3] 杨文平, 郭天财, 刘胜波, 王晨阳, 王永华, 马冬云. 行距配置对‘兰考矮早八’小麦后期群体冠层结构及其微环境的影响. 植物生态学报, 2008, 32: 485-490
Yang W P, Guo T C, Liu S B, Wang C Y, Wang Y H, Ma D Y. Effects of row spacing in winter wheat on canopy structure and microclimate in later growth stage. J Plant Ecol, 2008, 32: 485-490 (in Chinese with English abstract) [本文引用:1]
[4] 郑亭, 陈溢, 樊高琼, 李金刚, 李朝苏, 荣晓椒, 李国瑞, 杨文钰, 郭翔. 株行配置对带状条播小麦群体光环境及抗倒伏性能的影响. 中国农业科学, 2013, 46: 1571-1582
Zheng T, Chen Y, Fan G Q, Li J G, Li C S, Rong X J, Li G R, Yang W Y, Guo X. Effects of plant and row allocation on population light environment and lodging resistance of strip sown wheat in drill. Sci Agric Sin, 2013, 46: 1571-1582 (in Chinese with English abstract) [本文引用:4]
[5] 王俊生, 李少钦, 张耀文, 不同栽培密度对紧凑型油菜产量和主要性状的影响. 耕作与栽培, 2006, (3): 25-26
Wang J S, Li S Q, Zhang Y W. Effects of plant density on yield and main characters of rapeseed. Tillage & Cultivation, 2006, (3): 25-26 (in Chinese) [本文引用:1]
[6] 宋稀, 刘凤兰, 郑普英, 张学昆, 陆光远, 付桂萍, 程勇. 高密度种植专用油菜重要农艺性状与产量的关系分析. 中国农业科学, 2010, 43: 1800-1806
Song X, Liu F L, Zheng P Y, Zhang X K, Lu G Y, Fu G P, Cheng Y. Correlation analysis between agronomic traits and yield of rapeseed (Brassica napus L. ) for high-density planting. Sci Agric Sin, 2010, 43: 1800-1806 (in Chinese with English abstract) [本文引用:1]
[7] 张传胜. 油菜生产机械化配套农艺技术的研究. 中国农机化学报, 2008, (6): 91-94
Zhang C S. Sutdy on suitale cultivating technology for mechanical production of rape. J Chin Agric Mech, 2008, (6): 91-94 (in Chinese) [本文引用:1]
[8] Leach J E, Stevenson H J, Rainbow A J, Mullen L A. Effects of high plant populations on the growth and yield of winter oilseed rape (Brassica napus L. ). J Agric Sci, 1999, 132: 173-180 [本文引用:2]
[9] 陈新军, 戚存扣, 高建芹, 伍贻美. 不同栽培密度对杂交油菜产量的影响. 江苏农业科学, 2001, (1): 29-30
Chen X J, Qi C K, Gao J Q, Wu Y M. The influence of planting density on yield of hybrid rape. Jiangsu Agric Sci, 2001, (1): 29-30 (in Chinese) [本文引用:1]
[10] 李爱民, 张永泰, 惠飞虎, 周如美, 钱善勤, 范琦. 适合全程机械化作业的油菜育种新概念. 中国农学通报, 2005, 21(11): 151-153
Li A M, Zhang Y T, Hui F H, Zhou R M, Qian S Q, Fan Q. Certain concepts concerning rapeseed (Brassica napus L. ) varieties which suit to whole process mechanization operation. Chin Agric Sci Bull, 2005, 21(11): 151-153 (in Chinese) [本文引用:1]
[11] 董晓芳, 田保明, 姚永芳, 张艳, 张京涛, 孙弋媛, 刘云霞, 申龙, 苏彦华. 密度对油菜品种机械化收获特性的影响. 中国农学通报, 2012, 28(3): 71-74
Dong X F, Tian B M, Yao Y F, Zhang Y, Zhang J T, Sun Y Y, Liu Y X, Shen L, Su Y H. Effects of the density on the characteristics of the mechanization harvest in Brassica napus L. Chin Agric Sci Bull, 2012, 28(3): 71-74 (in Chinese) [本文引用:2]
[12] Stamp P, Kiel C. Root morphology of maize and its relationship to root lodging. J Agron Crop Sci, 1992, 168: 113-118 [本文引用:1]
[13] 马均, 马文波, 田彦华, 杨建昌, 周开达, 朱庆森. 重穗型水稻植株抗倒伏能力的研究. 作物学报, 2004, 30: 143-148
Ma J, Ma W B, Tian Y H, Yang J C, Zhou K D, Zhu Q S. The culm lodging resistance of heavy panicle type of rice. Acta Agron Sin, 2004, 30: 143-148 (in Chinese with English abstract) [本文引用:1]
[14] 吴洪恺, 纪凤高, 文正怀, 袁彩勇, 韩成虎, 袁生堂. 水稻栽插不同株行距配比方式初探. 耕作与栽培, 2000, (1): 17-18
Wu H K, Ji F G, Wen Z H, Yuan C Y, Han C H, Yuan S T. Appropriate plant and row spacing for rice cultivation. Tillage & Cultivation, 2000, (1): 17-18 (in Chinese) [本文引用:2]
[15] 马卉, 徐红, 殷育峰, 刘学进, 李斌. 机插秧不同株行距配置生产力对比试验简报. 上海农业科技, 2014, (5): 45-46
Ma H, Xu H, Yin Y F, Liu X J, Li B. Contrast test in yield potential for mechanical planting rice under different row spacing. Shanghai Agric Sci Tech, 2014, (5): 45-46 (in Chinese) [本文引用:2]
[16] 魏珊珊, 王祥宇, 董树亭. 株行距配置对高产夏玉米冠层结构及籽粒灌浆特性的影响. 应用生态学报, 2014, 25: 441-450
Wei S S, Wang X Y, Dong S T. Effects of row spacing on canopy structure and grain-filling characteristics of high-yield summer maize. Chin J Appl Ecol, 2014, 25: 441-450 (in Chinese with English abstract) [本文引用:1]
[17] 周勋波, 杨国敏, 孙淑娟, 陈雨海. 不同株行距配置对夏大豆群体结构及光截获的影响. 生态学报, 2010, 30: 691-697
Zhou X B, Yang G M, Sun S J, Chen Y H. Effect of different plant-row spacing on population structure and PAR interception in summer soybean. Acta Ecol Sin, 2010, 30: 691-697 (in Chinese with English abstract) [本文引用:4]
[18] 李猛, 陈现平, 张建, 朱德慧, 程备久. 不同密度与行距配置对紧凑型玉米产量效应的研究. 中国农学通报, 2009, 25(8): 132-136
Li M, Chen X P, Zhang J, Zhu D H, Cheng B J. Study on the yield of erectophile type maize under the different density and the row spacing. Chin Agric Sci Bull, 2009, 25(8): 132-136 (in Chinese) [本文引用:1]
[19] 杨克军, 李明, 李振华. 栽培方式与群体结构对寒地玉米物质积累及产量形成的影响. 中国农学通报, 2005, 21(11): 157-160
Yang K J, Li M, Li Z H. Effect of cultivation way and community construction on material accumulation and yield formation of frigid corn. Chin Agric Sci Bull, 2005, 21(11): 157-160 (in Chinese) [本文引用:1]
[20] 刘后利. 实用油菜栽培学. 上海: 上海科学技术出版社, 1987. p 500
Liu H L. Practical Rapeseed Cultivation. Shanghai: Shanghai Scientific and Technical Publishers, 1987. p 500 (in Chinese) [本文引用:1]
[21] 杨阳, 蒯婕, 吴莲蓉, 刘婷婷, 孙盈盈, 左青松, 周广生, 吴江生. 多效唑处理对直播油菜机械收获相关性状及产量的影响. 作物学报, 2015, 41: 938-945
Yang Y, Kuai J, Wu L R, Liu T T, Sun Y Y, Zuo Q S, Zhou G S, Wu J S. Effects of paclobutrazol on yield and mechanical harvest characteristics of winter rapeseed with direct seeding treatment. Acta Agron Sin, 2015, 41: 938-945 (in Chinese with English abstract) [本文引用:1]
[22] Morgan C L, Bruce D M, Child R, Ladbrookea Z L, Arthura A E. Genetic variation for pod shatter resistance among lines of oilseed rape developed from synthetic B. napus. Field Crops Res, 1998, 58: 153-165 [本文引用:1]
[23] 左青松, 黄海东, 曹石, 杨士芬, 廖庆喜, 冷锁虎, 吴江生, 周广生. 不同收获时期对油菜机械收获损失率及籽粒品质的影响. 作物学报, 2014, 40: 650-656
Zuo Q S, Huang H D, Cao S, Yang S F, Liao Q X, Leng S H, Wu J S, Zhou G S. Effects of harvesting date on yield loss percentage of mechanical harvest and seed quality in rapeseed. Acta Agron Sin, 2014, 40: 650-656 (in Chinese with English abstract) [本文引用:1]
[24] Park S E, Benjamin L R, Watkinson A R. The theory and application of plant competition models: an agronomic perspective. Ann Bot, 2003, 92: 741-748 [本文引用:1]
[25] Angadi S V, Cutforth H W, McConkey B G, Gan Y. Yield adjustment by canola grown at different plant populations under semiarid conditions. Crop Sci, 2003, 43: 1358-1366 [本文引用:1]
[26] Matteraa J, Romeroa L A, Cuatrína A L, Cornagliab P S, Grimoldib A A. Yield components, light interception and radiation use efficiency of lucerne (Medicago sativa L. ) in response to row spacing. Eur J Agron, 2013, 45: 87-95 [本文引用:1]
[27] Brar G, Thies W. Contribution of leaves, stem, siliques and seeds to dry matter accumulation in ripening seeds of rapeseed, Brassica napus L. Zeitschrift für Pflanzenphysiologie, 1977, 82: 1-13 [本文引用:1]
[28] Allen E J, Morgan D G. A quantitative analysis of the effects of nitrogen on the growth, development and yield of oilseed rape. J Agric Sci, 1972, 78: 315-324 [本文引用:1]
[29] Seiter S, Altemose C E, Davis M H. Forage soybean yield and quality responses to plant density and row distance. Agron J, 2004, 96: 966-970 [本文引用:2]
[30] Stapper M, Fischer R. Genotype, sowing date and plant spacing influence on high-yielding irrigated wheat in southern New South Wales: II. Growth, yield and nitrogen use. Aust J Agric Res, 1990, 41: 1021-1041 [本文引用:1]
[31] Price J S, Hobson R N, Neale M A, Bruce D M. Seed losses in commercial harvesting of oilseed rape. J Agric Eng Res, 1996, 65: 183-191 [本文引用:1]
[32] Rajcan I, Swanton C J. Understand ing maize-weed competition: resource competition, light quality and the whole plant. Field Crops Res, 2001, 71: 139-150 [本文引用:2]
[33] Morrison M J, McVetty P B E, Scarth R. Effect of row spacing and seeding rates on summer rape in Southern Manitoba. Can J Plant Sci, 1990, 70: 127-137 [本文引用:1]
[34] Sangoi L, Gracietti M A, Rampazzo C, Bianchetti P. Response of Brazilian maize hybrids from different eras to changes in plant density. Field Crops Res, 2002, 79: 39-51 [本文引用:1]
[35] Kuai J, Yang Y, Sun Y Y, Zhou G S, Zuo Q S, Wu J S, Ling X X. Paclobutrazol increases canola seed yield by enhancing lodging and pod shatter resistance in Brassica napus L. Field Crops Res, 2015, 180: 10-20 [本文引用:1]