基于无人机多光谱数据和氮素空间分异的玉米冠层氮浓度估算 |
| 郝琪, 陈天陆, 王富贵, 王振, 白岚方, 王永强, 王志刚 |
|
Estimation of canopy nitrogen concentration in maize based on UAV multi- spectral data and spatial nitrogen heterogeneity |
| HAO Qi, CHEN Tian-Lu, WANG Fu-Gui, WANG Zhen, BAI Lan-Fang, WANG Yong-Qiang, WANG Zhi-Gang |
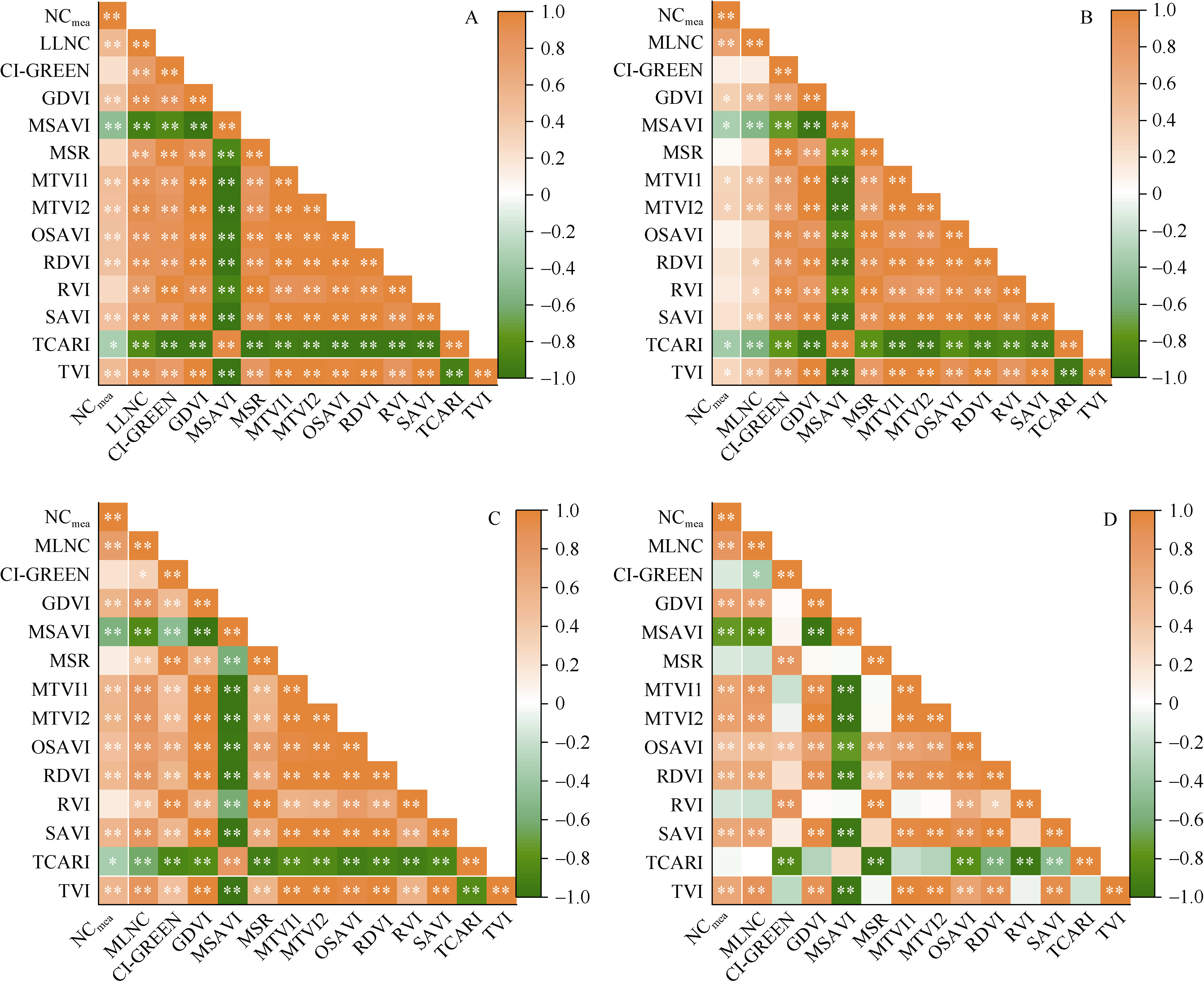
| 图7 V9 (A)、V12 (B)、R1 (C)和R3 (D)植被指数与玉米冠层氮浓度和有效叶层氮浓度相关性 NCmea、MLNC和LLNC分别代表实测冠层氮浓度、中层叶片氮浓度和下层叶片氮浓度; *和**分别表示在0.05和0.01概率水平显著相关。缩略词同 |
| Fig. 7 Correlation of V9 (A), V12 (B), R1 (C), and R3 (D) vegetation indices with canopy nitrogen concentration and effective leaf nitrogen concentration in maize NCmea, MLNC, and LLNC represent measured canopy nitrogen concentration, middle leaf nitrogen concentration, and lower leaf nitrogen concentration, respectively. * and ** indicate significant correlation at P < 0.05 and P < 0.01, respectively. Abbreviations are the same as those given in |
|