苗期喷施外源物质对迟播油菜越冬期抗寒性及产量的调控效应 |
| 杨书婷, 何盛浩, 赵碧云, 贺嘉, 刘晶, 杨梦瑶, 陈爱武, 王晶, 赵杰, 蒯婕, 汪波, 徐正华, 周广生 |
|
Effects of spraying exogenous substances at seedling stage on cold resistance and yield of late-seeded rapeseed during overwintering |
| YANG Shu-Ting, HE Sheng-Hao, ZHAO Bi-Yun, HE Jia, LIU Jing, YANG Meng-Yao, CHEN Ai-Wu, WANG Jing, ZHAO Jie, KUAI Jie, WANG Bo, XU Zheng-Hua, ZHOU Guang-Sheng |
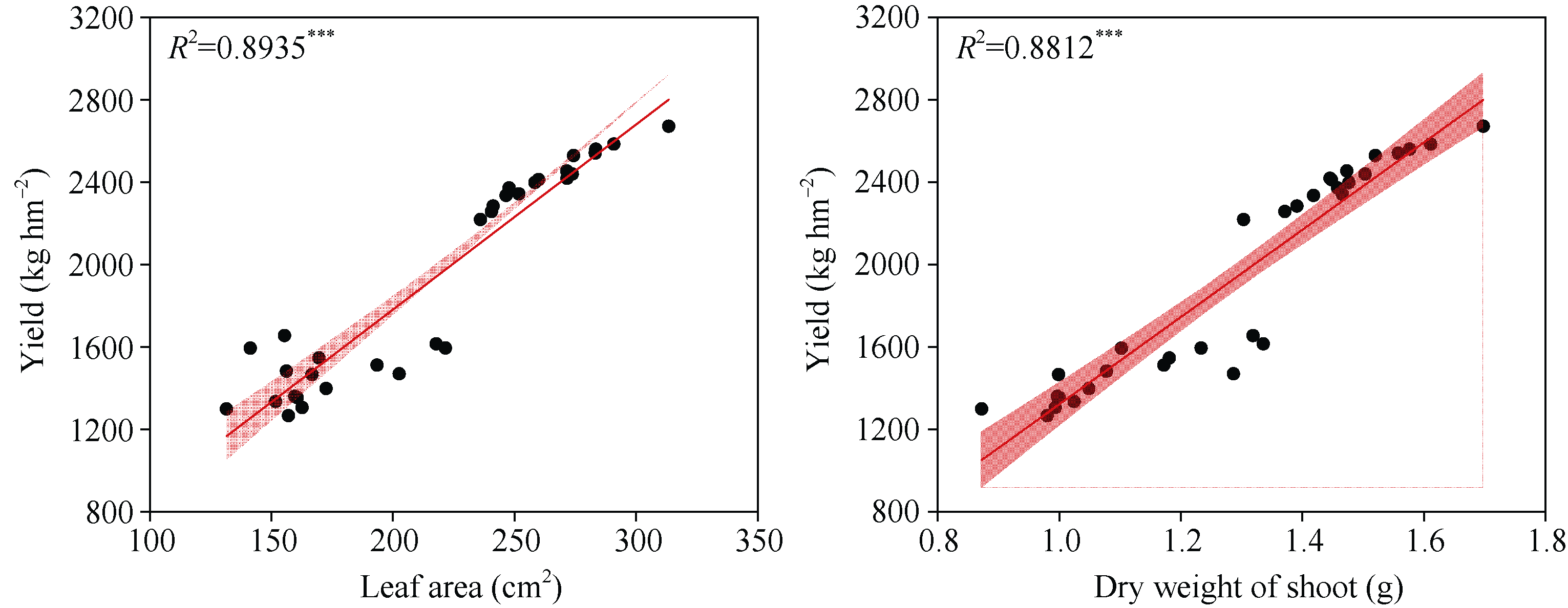
| 图4 产量与越冬期迟播油菜叶面积和地上部干重的相关性分析 ***代表在0.001水平下相关性显著。 |
| Fig. 4 Correlation analysis of yield with leaf area and dry weight of shoot of late-seeded rapeseed during overwintering stage *** indicates significant correlation at the 0.001 probability level. |
|