苗期喷施外源物质对迟播油菜越冬期抗寒性及产量的调控效应
杨书婷, 何盛浩, 赵碧云, 贺嘉, 刘晶, 杨梦瑶, 陈爱武, 王晶, 赵杰, 蒯婕, 汪波, 徐正华, 周广生

Effects of spraying exogenous substances at seedling stage on cold resistance and yield of late-seeded rapeseed during overwintering
YANG Shu-Ting, HE Sheng-Hao, ZHAO Bi-Yun, HE Jia, LIU Jing, YANG Meng-Yao, CHEN Ai-Wu, WANG Jing, ZHAO Jie, KUAI Jie, WANG Bo, XU Zheng-Hua, ZHOU Guang-Sheng
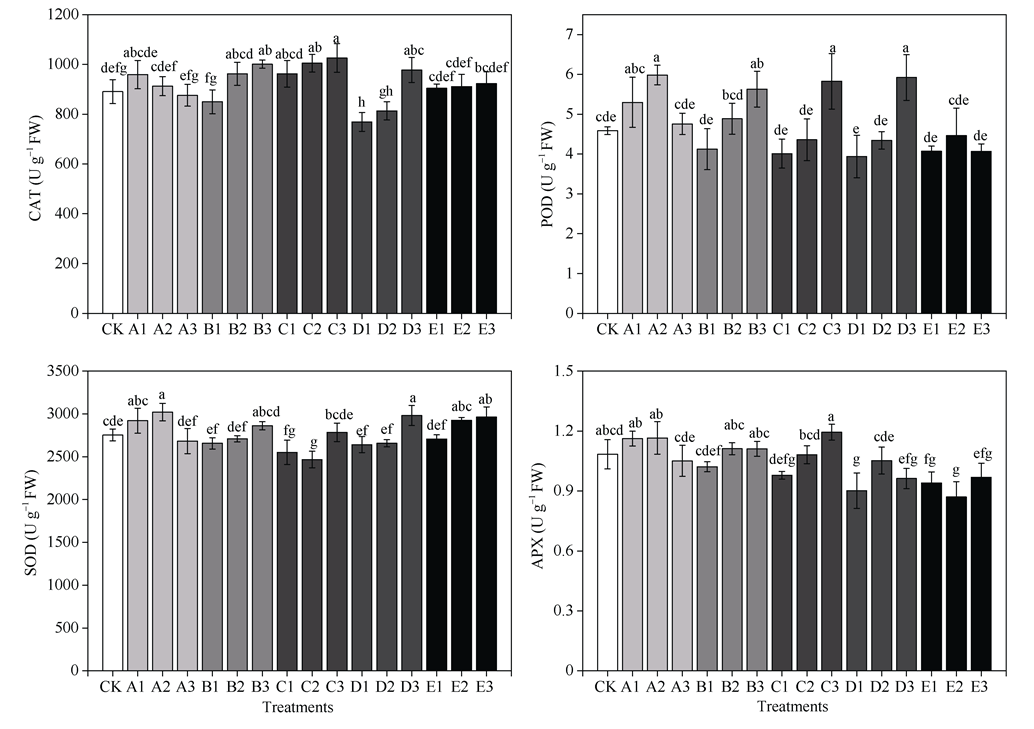
图6 苗期喷施外源物质对越冬期油菜叶片抗氧化酶活性的影响
处理同表1。不同小写字母表示处理在0.05水平下差异显著。
Fig. 6 Effects of spraying exogenous substances at seedling stage on antioxidant enzyme activities in rapeseed leaves during overwintering stage
Treatments are the same as those given in Table 1. Different lowercase letters indicate significant differences at P < 0.05.