* 通讯作者(Corresponding authors): 万书波, E-mail:wansb@saas.ac.cn; 李新国, E-mail:lixinguo@tom.com
第一作者联系方式: E-mail:fengyezibo@163.com, Tel: 0531-83179692 同等贡献(Contributed equally to this work)
以大粒型花生品种花育22为试验材料, 设每公顷19.5万穴(S1)和22.5万穴(S2) 2个单粒播处理, 双粒穴播每公顷15万穴处理为对照进行大田试验, 对比单粒精播与双粒穴播对花生耕层根系生长动态、根冠比和产量的影响差异。与对照相比, 单粒精播S1处理在开花后50~70 d的根系形态指标和干物质积累动态明显改善, 耕层根系长度、体积和吸收面积在0.05水平上显著增加, 根系干物质积累量(DMA)和积累速率(DMAR)也明显提高; S1和S2处理开花后40~70 d根冠比明显提高, 并保证冠层和荚果较高的DMA和DMAR, 通过提高单株生产力, 实现群体增产, 其中S1处理为佳, 可在节种35%的前提下, 增产7.98%~8.38%, 增产效果显著。本研究说明单粒精播可保证花生根系相对较强的生长优势, 协调根冠比, 壮个体, 强群体, 充分发挥单株生产潜力, 实现花生高产。
Peanut cultivar Huayu 22 was used to study the differences between single-seed sowing and double-seed sowing modes on root growth, root and shoot relationship, and yield under corresponding planting density. The two single-seed sowing treatments were 195 000 holes per hectare (S1) and 225 000 holes per hectare (S2), respectively with the double-seed sowing (150 000 holes per hectare) as control. During the growth period, dry weights, length, volume and absorption area of the root under three treatments increased and reached the maximum at 40-50 days after flowering, and then decreased. The average root diameter decreased and reached the minimum at 50-60 days after flowering, and then increased. The dry weight of aboveground part and pod increased while the root-shoot ratio decreased continuously. S1 and S2 treatments could improve dry weight of the seedlings, the length, the volume, the absorption area of the roots and the root-shoot ratio, and reduce average root diameter during the whole growth period, especially at the late growth period. Additionally, S1 treatment saved 35% sowing seeds and improved peanut yield by 7.98%-8.38%. These results indicated that single-seed sowing could improve peanut yield through guaranteeing relatively stronger root growth predominance, regulating root-shoot ratio, and increasing the productivity potential for each seedling.
花生是我国重要的经济作物和油料作物。在生产上, 传统习惯于每穴双粒种植, 较单粒种植可有效减少缺苗断垄的发生, 但在高密度条件下群体和个体的矛盾突出, 同穴两株中必然有一株的生长和结荚受到较大影响, 个体生产潜力得不到充分发挥。近年来, 随着作物栽培理论与技术研究的不断深入, 我国农作物生产的条件和水平大幅度提高, 在水稻、小麦等作物上均较为系统地研究了精量播种技术。凌启鸿等[ 1, 2, 3]认为, 在肥、水条件较好的地块, 尽可能稀植匀播, 改善中下层叶片的受光量, 提高群体中后期的光合生产能力, 充分发挥稻株自身的生长潜力, 增加单位面积穗数, 从而获得高产。小麦精量播种则突出强调整个生育期内强壮根系对高产的重要贡献, 通过培育健壮个体, 保证群体高产稳产[ 4]。花生单粒精播技术的研究由来已久, 早在20世纪80年代, 沈毓骏等[ 5]在花生控制下针(AnM)法基础上减粒增穴较现行密度常规种植的每公顷播种粒数减少23%, 穴数则增加54.1%, 单株结实增多52.8%, 致使增产18%左右, 但未对单粒精播增产的机理深入探讨。目前, 有关花生单粒精播的研究多集中在植株地上部农艺性状对肥料[ 6, 7]、密度[ 8, 9, 10]等响应方面, 并一致认为每公顷20万株左右是大花生较为适宜的单粒精播种植密度。
根系作为影响作物产量形成的重要器官, 其形态建成、干物质积累以及根系活力与荚果产量和地上部生长发育具有显著的相关关系[ 11, 12]; 李向东等[ 13]研究表明, 花生的根系干重、根系活力等在土层中随深度增加而迅速减少, 其中根系干重分布在耕作层土壤中的可达80%以上, 因此研究花生耕层土壤中根系特征对了解花生植株生育状况具有重要作用。近几年随着根系研究技术和成果的不断丰富, 作物根系及其与冠层协调关系的研究日渐增多[ 14, 15], 但相比水稻[ 16, 17]、小麦[ 18, 19]等粮食作物, 有关花生该方面的文献报道较少[ 20, 21], 尚缺乏不同种植方式下(如单、双粒种植)对花生根系生长、根冠比与产量影响的研究。为此, 本研究从花生耕层根系生育状况及根冠协调特性入手, 分析花生在减少播种量的条件下仍能保证高产稳产的内在机制, 以期为花生单粒精播技术的推广应用奠定理论基础。
山东省农业科学院饮马泉试验基地(117°5' E, 36°43' N)具典型的暖温带大陆性季风气候, 年平均气温14.7℃, 年平均降水671.1 mm, 年日照时数2 616.8 h。土壤类型为沙壤土, 耕层土壤含有机质1.1% ( W/W)、碱解氮82.7 mg kg-1、速效磷36.2 mg kg-1、速效钾94.5 mg kg-1、交换性钙14.9 g kg-1。试验田为地势平坦, 灌排良好、土壤肥沃的高产田, 前茬作物为玉米。
2011—2012年选用单株生产力较大的花育22大粒型花生品种, 覆膜栽培, 双行垄种。设2个单粒精播处理(S1和S2), 种植密度均为适宜密度, 分别是19.5万穴 hm-2和22.5万穴 hm-2, 每穴1粒, 穴距分别为12.8 cm和11.1 cm; 双粒穴播作对照, 种植密度是15.0万穴 hm-2, 每穴2粒, 穴距16.6 cm; 随机区组设计, 每小区8垄, 垄长7.5 m, 垄距80 cm, 垄上行距32 cm, 设3次重复。播种前基施腐熟鸡粪12 t hm-2, 氮(N) 90 kg hm-2, 磷(P2O5) 120 kg hm-2, 钾(K2O) 150 kg hm-2和缓控释氮肥90 kg hm-2, 其他栽培管理按花生高产要求进行。2011年5月3日播种, 9月10日收获, 2012年5月4日播种, 9月12日收获。
分别于开花后30、40、50、60和70 d对根系和地上部植株取样, 每个处理每时期取4块区域。以平行于起垄方向50 cm的长度上对该垄及其相邻一侧的垄沟直接挖掘, 从根区耕层(本试验田耕层为地面以下20 cm)土块取样, 放入40目尼龙网袋中用流水缓慢冲去泥土, 用滤纸吸干根系(包括下胚轴)样品表面水分, 取其中两袋供根系形态分析[ 22, 23]; 挖掘前将该区域地上部植株(收集落叶)和花生荚果采集并记录株数; 未能及时处理的土块放入低温冰柜(-20℃)保存。
采用英国DT-SCAN根系分析系统分析根长和平均直径[ 24]; 用排水法测定根系总体积; 用甲烯蓝吸附法测定根系吸收总面积。
用其余两袋根样测定干物质积累, 将地上部植株、根系和荚果样品分开置105℃烘箱杀青30 min, 85℃烘干至恒重后称重; 于成熟期收获并考种、测产, 分别测定百果重、百仁重、千克果数和出仁率等。
采用Microsoft Excel 2003处理数据和作图; 采用SPSS 17.0软件统计分析和检验显著性。两年数据变化趋势基本一致, 分别作图和制表, 但主要分析2011年度试验数据。
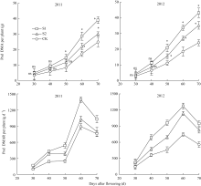
2.1.1 花生耕层根系长度和平均直径 图1显示, 单粒精播处理(S1和S2)的耕层单株根系总长度在整个取样期内始终长于对照, 且三者均呈现先增后减的趋势, 开花后50 d达到峰值。开花后40~70 d 每10 d, S1处理单株根系总长度比对照分别高69.4%、72.6%、83.8%和52.6%, 明显高于S2的50.0%、51.0%、56.6%和36.3%; S1和S2单株根系总长度的实测峰值分别比对照处理提高841.4 cm和591.4 cm。其中, 开花后50~70 d, S1处理与对照间的差异达到显著水平。将2011年数据拟合成二次方程, 3个处理方程的相关系数均在0.99左右, 曲线拟合效果良好, 方程的特征系数表明, 单粒精播处理根系长度达到理论峰值的时间明显早于对照。
不同处理对耕层根系平均直径的影响与对单株根系总长度的影响相反, 除开花后70 d, 单粒精播处理根系平均直径均低于对照, 且在开花后50~60 d降到最低值(图1)。开花后50 d和60 d的S1根系平均直径比对照分别低10.0%和12.5%, 高于S2的7.4%和5.1%, 并且在该时期内S1与对照的差异达显著水平; 至开花后70 d, 对照根系平均直径略低于S2, 但差异不显著。3个处理拟合方程的相关系数均大于0.97, 曲线拟合效果良好, 方程特征系数表明, 单粒精播处理根系平均直径的最低值明显低于对照。
2.1.2 花生耕层根系体积和吸收面积 开花后30 d, 单粒精播处理的耕层单株根系总体积明显大于对照, 3种处理均呈先增后减的变化趋势, 均于开花后40 d达峰值, 且随着生育进程处理间差异不断增大(图2)。开花后50~70 d, S1处理单株根系总体积显著高于对照处理, 单株根系总体积比对照分别提高21.8%、32.8%和52.3%, 明显高于S2的9.2%、18.8%和20.1%。S1处理的实测峰值则分别比S2和对照每株提高0.1 cm3和0.3 cm3。3个处理拟合方程的拟合效果良好, 能很大程度上表示根系体积的变化趋势, 方程特征系数表明, 单粒精播处理根系总体积的理论峰值比对照高, 且达到峰值的时间较晚。
| 图2 单粒精播对花生根系体积和吸收面积的影响图中缩写同图1。虚线表示拟合方程曲线; r: 相关系数; *表示在0.05水平差异显著; ns: 无显著差异。Fig. 2 Effects of single-seed sowing on root volume and absorbing area of peanut seedlingsAbbreviations are the same as given in Figures 1. Dotted line: curve of fitted equation; r: correlation coefficient.*Significantly different at the 0.05 probability level; ns: not significant. |
由图2可以看出, 单粒精播2个处理的单株根系吸收总面积与根系总体积与对照变化趋势一致, 但峰值出现在开花后50 d, 比对照延迟了10 d左右。开花后50~70 d, 3个处理间差异达显著水平, S1单株根系吸收面积比对照分别提高16.4%、58.3%和49.3%, 而S2提高10.5%、34.3%和23.4%; S1和S2处理的单株根系吸收总面积的实测峰值分别比对照峰值高12.7%和3.7%, 拟合方程很大程度上代表了根系吸收面积的变化趋势, 其特征系数也同样表明, 单粒精播能增大根系吸收面积并一定程度上延迟其衰减, 保证生育中后期根系较高的吸收能力。
2.1.3 花生耕层根系干物质积累 单粒精播条件下耕层单株根系干物质积累量(DMA)显著高于双粒播, 且随着花生生育进程, 3个处理间差异逐渐增大(图3)。开花后30~70 d内, 单粒精播(S1和S2)处理各个取样期单株根系DMA的平均值分别比对照提高80.4%和29.0%, 且处理间差异达到显著水平。单粒精播的单株根系DMA达到峰值的时间比对照晚10 d左右, S1的峰值比对照处理高出71.5%, 明显高于S2的23.4%。
图3表明, 耕层单株根系的干物质积累速率(DMAR)在开花后30~40 d相对较高, 随生育进程呈逐渐下降的趋势, 当降为负值时, 表明根系生长量小于死亡量, 开始衰亡。与对照在开花后60 d之前DMAR降为负值不同, 单粒精播根系DMAR降为负值的时间有一定的“滞后性”。与对照双粒穴播相比, 在开花70 d后单粒精播处理的单株根系DMAR相对较高, 分别比对照处理高54.7%和18.1%。
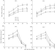
2.2.1 花生地上部干物质积累动态 单株地上部干物质积累动态与根系干物质积累动态不同, 地上部DMA随着生育进程呈现逐渐增大的趋势(图4)。单粒精播条件下, 单株地上部DMA明显大于对照, 随着生育进程, 差异呈现逐渐增大的趋势。至开花后70 d, S1和S2单株地上部DMA分别达到40.8 g和31.2 g, 分别比对照提高23.4%和15.3%。
图4显示, 单株地上部DMAR与根系差别较大, 呈先升后降的规律变化, 不同处理均在开花后50 d左右达到最大生长速度, 该时期S1处理地上部单株DMAR达779.1 mg d-1, 分别是S2和对照处理的1.3倍和1.4倍。在开花后30~70 d的取样期内, S1处理的平均积累速度分别比S2和对照处理高32.5%和43.1%。
| 图4 单粒精播对地上部干物质积累量和积累速率的影响图中缩写同图1和图3。 *表示在0.05水平差异显著; ns: 无显著差异。Fig. 4 Effects of single-seed sowing on shoot DMA and DMAR of peanut seedlingsAbbreviations are the same as given in Figures 1 and 3. *: significantly different at the 0.05 probability level; ns: not significant. |
2.2.2 花生耕层根系与地上部植株干重比 地上部与地下部根系生长动态的差异使得取样期内地上部植株与耕层根系的干重的相对比例表现为逐渐降低的趋势(图5)。单粒精播处理较高的根系生长速度使得其根冠比在整个取样期内都高于双粒穴播对照, 且随着生育期的推进优势更为明显, 开花后50 d之后单粒精播处理表现更为突出; 与对照处理相比, S1处理根冠比在开花后50~70 d分别提高了10.7%、19.6%和40.9%, 明显高于S2的4.3%、11.4%和21.7%。可见, 单粒精播处理在生长初期以根系的快速生长为主, 且在生育后期根系的衰老死亡速率较慢, 保证其地上部养分供给及物质的同化, 且在适宜的单粒精播密度下效果更为明显。
| 图5 单粒精播对花生根冠比的影响图中缩写同图1。Abbreviations are the same as given in Figure 1.Fig. 5 Effects of single-seed sowing on root-shoot ratio of peanut seedlings |
2.3.1 花生荚果干物质积累动态 单株荚果DMAR先增后减的变化规律使得单株荚果DMA呈现先快后慢逐渐升高的趋势(图6), DMA于开花后70 d达到最大值, DMAR于开花后60 d呈现峰值。随着生育进程, 单株荚果DMA处理间差异逐渐增大。在整个取样期内, S1处理平均单株荚果DMA比对照高69.9%, S2处理比对照高27.2%; 开花后50~70 d, S1处理的单株荚果DMA显著高于对照处理, 至开花后70 d, S1处理的单株荚果DMA比对照处理增加14.1 g。开花后30~70 d之间, S1处理的单株DMAR分别比S2和对照处理高31.4%和62.5%, DMAR的峰值分别提高35.0%和55.9%。表明单粒精播在扩大“库”容及保证“流”畅方面作用显著。
| 图6 单粒精播对花生荚果干物质积累量和积累速率的影响图中缩写同图1和图3。 *表示在0.05水平差异显著; ns: 无显著差异。Fig. 6 Effects of single-seed sowing on pod DMA and DMAR of peanut seedlingsAbbreviations are the same as given in Figures 1 and 3. *: significantly different at the 0.05 probability level; ns: not significant. |
2.3.2 花生产量及产量构成因素 通过对大田花生收获期产量及产量构成因素的2年调查(表1), 可以看出, S1和S2的产量比对照分别高8.0%和1.5%; 综合两年试验结果, S1和S2平均增产分别达8.2%和2.9%。造成处理间产量不同的主要原因是单株生产力和千克果数的不同, 单粒精播2个处理的单株生产力均高于双粒穴播, 千克果数则低于双粒穴播, 且差异达到显著水平。2011年数据表明, S1处理的单株生产力比对照高56.0%, 比S2处理的高26.8%; S1和S2处理每千克荚果数分别比对照少99.7个和51.7个。单粒精播处理的经济系数也有不同程度的提高, 而百果重和百仁重处理间差异未达到显著水平。另外, S1和S2分别比对照节种35%和25%, 起到了很好的节本增效效果。
| 表1 单粒精播对花生产量及产量构成因素的影响 Table 1 Effects of single-seed sowing on yield and yield components of peanut seedlings |
作物高产稳产的关键是获得较高的生物产量, 而这在很大程度上取决于根系的发育状况[ 25]。反映根系的数量和功能的指标包括根长、根面积、平均根直径、根系生物量等, 而遗传因素、种植密度和方式等均可调控根系的形态建成, 有研究表明根系长度、根体积、根表面积随密度的增加而降低, 直径随密度增加而增加[ 26]。生产上通过栽培措施增加根系长度、表面积和体积, 保证生育中后期植株对水分和养料的吸收, 促进植株干物质的积累, 对于进一步提高花生产量具有重要意义[ 27]。本研究结果显示, 花生单株根系长度、体积和吸收面积在不同种植方式处理下均呈现单峰曲线变化。单粒精播处理的单株根系总长度、总体积和吸收总面积显著高于双粒穴播处理, 根系平均直径小于对照, 且适宜密度种植的S1处理优势更为明显。可见, 单粒精播在很大程度上促进了花生根系的形态建成。Merrill等[ 28]研究认为, 许多植物的根长决定于细根的多少, 细根根长的差异决定了总根长的差异。综合本研究根系长度和平均直径分析比较发现, 根系长度的快速增长期和快速下降期分别与平均直径的快速下降期和快速上升期在时间上相吻合, 这可能是由于开花后30 d后根系长度的生长主要以毛细侧根为主, 导致根系平均直径下降。因此, 单粒精播技术为花生根系的生长提供了充足的生长空间, 促进了毛细侧根长度及其在根系中比例的增加, 提高了花生根系总长度和根系吸收面积, 保证了在花生结荚期有强大的根系吸收水分和养料, 从而促进了地上部的生长, 为高产打下基础。
根系的干重可反应根系的发达程度[ 29], 对维持地上部生长和功能, 参考意义更大[ 30], 有关根系干物质积累的研究较多。林国林等[ 26]研究认为花生根系干物质积累呈单峰曲线, 根系干重与密度呈负相关, 在苗期差异不大, 随着生育期的推进差异逐渐增大。傅金民等[ 31]研究发现, 大豆根系的干重随土层的加深, 递减的幅度非常大, 绝大部分根系集中在距地表0~20 cm的土体内, 20 cm以下的土壤中根量极少; 花生根系垂直分布也与此类似[ 13], 因此土壤耕层的根系干物质积累动态很大程度上反应了整株根系的生育状况。本试验中, 3个处理耕层根系干物质积累量呈单峰曲线变化, 在开花后50~60 d达到峰值。在整个取样期内, 单粒精播处理单株根系干物质积累量均显著高于对照, 低密度种植的处理(每公顷19.5万穴)高于高密度单粒精播处理(每公顷22.5万穴)。干物质积累速率方面, 单粒精播处理(S1和S2)在开花60 d之后降为负值, 根系生长量开始小于死亡量, 表现出衰亡, 比双粒对照处理降为负值的时间有所延后。表明单粒精播技术有利于花生在苗期和结荚初期健壮根系的形成, 促进植株地上部冠层的生长, 保证叶片较高的干物质合成能力, 从而在结荚中后期又能够减缓根系干重的下降速度, 避免根系早衰的发生, 这也是导致单粒精播条件下根系干重与对照间差异逐渐增大的原因。
Graham等[ 32]认为, 较高的根冠比是获得高产的作物所具有的特征; 相关研究也认为, 适宜的密度能明显促进根量的增长, 增加根冠比, 保障地上部生长所需的养分供给, 有利于作物高产。花生单粒精播在提高根系干物质积累的同时, 改善了地上部植株干物质积累动态, 表现为单株干物质积累量和积累速率的提高; 单粒精播处理相对较高的根系生长速度使得其根冠比在整个取样期内都高于双粒穴播处理, 且随着生育期推进差异逐渐显著。可见, 单粒精播在营养生长和生殖生长并行阶段仍以根系的快速生长为主, 且在生育后期根系的衰亡速度较慢, 保证荚果和地上部养分供应及物质的同化积累。
荚果干物质积累是产量形成的基础, 荚果产量随生物学产量和经济系数的增加而提高, 高产花生应兼有生物学产量和经济系数都高的特点[ 20], 同一品种在同一生态条件下, 生育天数往往相对稳定, 产量的高低, 主要取决于干物质的积累速率[ 21]。单粒精播条件下, 由于根系和地上部相互促进, 协调生长, 花生具有较高的荚果干物质积累速率, 单株生产力显著提高, 因而能够在减少每公顷株数的前提下, 实现花生高产稳产。
另外, 花生单粒精播技术的节种作用和增产效果结合起来会带来更大的效益, 每穴双粒种植条件下, 大花生用种量一般为300 kg hm-2以上, 采用单粒精播技术每公顷节种超过100 kg (每公顷19.5万穴), 按每千克10元计算, 可节本1000元。若再以近3年我国花生平均单产3439.3 kg hm-2的基础上增产8%计算, 增产275.1 kg hm-2, 按每千克7元计算, 可增收1925.7元, 从而实现花生每公顷增加约3000元的种植效益, 推广和应用意义重大。
相比传统穴播双粒种植花生, 单粒精播促进细根生长, 显著提高单株根系总长度、总体积和吸收面积, 并且在适宜的单粒精播密度下优势更为显著, 这些根系特征有利于吸收更多的养分, 促进地上部生长, 同化较多干物质; 单粒精播协调根冠干物质积累动态, 显著提高根冠比, 地上部的良好发育又可保障根系后期的营养供给, 减缓根系的衰老, 共同促进荚果的生长发育, 提高单株生产力。因此, 单粒精播种植条件下根系相对较强的生长优势最终能转化为产量优势, 实现花生高产。
| [1] |
|
| [2] |
|
| [3] |
|
| [4] |
|
| [5] |
|
| [6] |
|
| [7] |
|
| [8] |
|
| [9] |
|
| [10] |
|
| [11] |
|
| [12] |
|
| [13] |
|
| [14] |
|
| [15] |
|
| [16] |
|
| [17] |
|
| [18] |
|
| [19] |
|
| [20] |
|
| [21] |
|
| [22] |
|
| [23] |
|
| [24] |
|
| [25] |
|
| [26] |
|
| [27] |
|
| [28] |
|
| [29] |
|
| [30] |
|
| [31] |
|
| [32] |
|

