* 通讯作者(Corresponding author): 孙占祥, E-mail:sunzhanxiang@sohu.com
第一作者联系方式: E-mail:libai200008@126.com
改变玉米田间种植模式是提高玉米单产的重要措施之一。本文在大田试验条件下, 以耐密品种(郑单958)和中密品种(沈玉21)研究了三比空密疏密、大垄双行和等行距(CK) 3种种植模式对春玉米产量形成及其生长发育特征的影响。结果表明, 田间种植形式的改变可以显著影响玉米群体产量及其生长发育特征。耐密品种以大垄双行种植模式为宜, 可以增加玉米的株高、茎粗, 提高叶面积和光能利用率, 促进干物质积累, 2年平均产量为8882.36 kg hm-2, 比对照增加6.51%, 增产的原因是百粒重和穗行数的显著提高; 中密品种以大垄双行和三比空种植模式为宜, 2种种植模式均可增加玉米的株高、茎粗, 提高叶面积和光能利用率, 促进干物质积累, 且与耐密品种表现不同, 2年平均产量分别为8294.58 kg hm-2和 8188.30 kg hm-2, 比对照增加21.36%和19.81%, 增产的原因是行粒数的显著增加。因此, 我们认为在辽西地区特定的自然条件下大垄双行是提高玉米单产的最佳种植模式。
The study of planting patterns is critical to improving maize yield. Based on a field experiment, we investigated the effect of three planting patterns (three ratio space, big ridge double line and equal line) on maize growth, photosynthetic characteristics and yield using two varieties suitable for high-density (Zhengdan 958) and middle-density (Shenyu 21). Our results indicated that the yield and growth of maize were dramatically influenced by various planting patterns. High-density variety was suitable for using the pattern of big ridge double line which promoted plant height, stem diameter, leaf area and photosynthetic efficiency of maize. The yield averaged 8882.36 kg ha-1 for two years, with an increasing rate of 6.51% compared with the control. This increase in biomass was largely contributed by hundred-grain weight and number of lines per ear. But differently, middle-density variety, planted with both patterns of big ridge double line and three ratio spaces, showed a higher yield. These two planting patterns could also increase plant height, stem diameter, leaf area and photosynthetic efficiency in maize. The 2-year-averaged yields were 8294.58 kg ha-1 and 8188.30 kg ha-1, for the two patterns of big ridge double line and equal line, respectively. An increasing rate of 21.36% for big ridge double line and 19.81% for equal line spacing were observed compared with the control, which mainly contributed by the high number of kernels per line. Our results indicated that big ridge double line is an optimal planting pattern to improve maize yield in the western Liaoning Province.
辽宁省是我国的玉米生产大省, 目前每年种植玉米面积200×104 hm2以上, 其中辽西地区每年种植面积占辽宁省的2/3, 但平均单产仅为6000 kg hm-2, 远低于发达国家的单产水平, 其主要原因之一为种植方式不合理, 多为传统的常规种植(等行距), 群体结构不够理想, 影响群体通风透光, 不能有效地利用光温水热资源, 限制了玉米单产的进一步提高[ 1, 2]。改变玉米田间种植模式, 提高玉米单产, 对辽宁省玉米生产能力的提升具有十分重要的意义。国内外的高产实践表明, 我国提高玉米单产仍有较大潜力可挖[ 3, 4]。在稳定单穗粒重或稍有减轻的条件下增加种植密度是今后提高玉米单产的发展趋势[ 5, 6]。但随着种植密度的增加, 群体内光截获率加大, 植株间相互遮阴, 田间郁闭, 透光条件变差; 过高的群体密度, 导致中下部叶层的光照条件下降, 叶片早衰, 群体光合能力降低, 这就需要优化田间配置、建造良好的群体冠层结构来缓解这种负面影响[ 7, 8]。合理的田间种植模式可以利用不同层次的光资源、改善通风能力、提高中下层叶片的光合性能、更好协调玉米群体和个体的关系, 使光能在玉米群体冠层内的分布更加合理, 从而提高玉米群体的光能利用率和产量[ 9, 10]。如何优化玉米群体结构、改善群体通风透光条件, 成为玉米栽培研究的重要内容之一。关于东北地区种植方式的研究已有一些报道, 王敬亚等[ 11]关于不同种植模式对春玉米群体光合性能、干物质积累及产量影响的研究表明, 适当的宽窄行配比可使群体保持较高的叶面积指数, 且中后期叶面积指数衰减较慢, 漏光损失较少, 净光合速率提高, 群体干物质积累量增加, 为高产奠定了基础。高亚男等[ 12]关于不同行距对春玉米产量和光合速率影响的研究表明, 不同行距处理可影响生育后期叶片活性, 使光合速率不同, 最终影响秃尖长度, 形成产量差异。前人关于田间优化配置研究多集中在单一玉米品种或行距的改变, 而关于不同品种和三比空密疏密种植模式的田间优化配置效应研究还鲜有报道。因此, 本文针对辽西地区玉米田间种植方式不合理的问题, 在大田试验条件下, 研究了三比空密疏密、大垄双行和等行距(对照) 3种种植模式对春玉米产量及生长发育特性的影响。以期探明该区域不同品种类型最适的田间优化配置形式, 为提高玉米单产, 进一步提升玉米生产能力提供理论和技术支持。
辽宁西部地区属温带季风大陆性气候区, 年平均气温7~8℃, 10℃以上积温为2900~3400℃, 无霜期为135~165 d, 5月至9月份日照时数为1200~1300 h, 全区土地面积约为3×104 km2, 耕地面积约为68.97×104 hm2, 土地和光热资源十分丰富。但年降水量仅为300~500 mm, 且降水变率较大, 旱灾频繁。区域内年降水量的总分布趋势为从东部到西部逐渐递减, 东部的康平、法库年降水量为450~500 mm, 中部的阜新周边地区为350~500 mm, 而西部的朝阳地区仅为300~400 mm, “十年九旱”是其基本气候特征[ 13]。2011年和2012年试验区平均温度和降雨量见图1。
试验于2011年4月至10月和2012年4月至10月在辽宁省农业科学院阜新试验区(辽西典型类型区)进行, 试验土为褐土, 耕作层含有机质1.856 g kg-1、全氮0.346 g kg-1、全磷0.171 g kg-1、全钾2.462 g kg-1、速效氮196.47 mg kg-1、速效磷52.29 mg kg-1、速效钾115.18 mg kg-1, pH 6.04, 田间持水量23.7%, 容重1.38 g cm-3, 地势平坦, 无灌溉条件。
选用郑单958 (耐密品种)和沈玉21 (中密品种), 郑单958是由河南省农业科学院粮食作物研究所利用郑58/昌7-2(选)杂交选育的一代杂交种; 沈玉21是由沈阳市农业科学院利用母本沈3336 (来源于沈137×7922)和父本沈3265 (来源于Q1261×A05)选育的一代杂交种。种植密度为60 000株 hm-2以上时, 能表现高产、稳产、抗倒的属于耐密型品种, 种植密度在52 500~60 000株 hm-2时, 能够表现高产、稳产、抗倒的属于中密型品种。
采用裂区设计, 主区为2个品种, 分别为郑单958 (ZD)和沈玉21 (SY); 副区为3种种植模式, 分别为三比空(密疏密)——SBK(msm)、大垄双行——DLSH和常规种植模式(等行距)——DHJ种植模式。SBK(msm)以4垄为一个单位, 种3垄空1垄, 依此循环(图2-A)。将计划栽培4垄的株数合理分配到其他3垄上, 郑单958密垄株距为20.83 cm, 疏垄株距为41.66 cm, 沈玉21密垄株距为21.93 cm, 疏垄株距为43.86 cm; DLSH将原来的两垄合成一条大垄, 垄上种植2行玉米, 大垄垄底宽90~100 cm, 大垄上玉米窄行为40 cm左右, 宽行为60 cm左右(图2-B), 郑单958株距为33.35 cm, 沈玉21株距为35.09 cm; DHJ(CK)株距与大垄双行模式相同(图2-C)。郑单958种植密度为60 000株 hm-2, 沈玉21种植密度为57 000株 hm-2。组合为ZD-SBK(msm)、ZD-DLSH、ZD-DHJ、SY-SBK(msm)、SY-DLSH、SY-DHJ 6个处理, 3次重复, 18个小区。每个小区长为10 m, 宽为5 m, 面积为50 m2, 试验区面积900 m2。播种时施磷酸二铵(含N 18%, P2O5 46%)和三元复合肥(含N15%, P2O515%, K2O15%)各150 kg hm-2作为种肥, 拔节期打孔追施尿素(含N46%) 450 kg hm-2, 其他管理正常。
1.5.1 土壤理化性质测定 参照文献[14]的方法, 用重铬酸钾容量法测定有机质; 用开氏(凯氏)定氮法测定全氮; 用碱解扩散法测定速效氮; 用H2SO4-HClO4消煮钼锑抗比色法测定全磷; 用NaHCO3浸提, 钼锑抗比色法测定速效磷; 用NaOH熔融, 火焰光度计法测定全钾; 用NH4OAC浸提, 火焰光度计法测定速效钾; 以水土比为2.5∶1.0, 复合电极测定pH; 用环刀法测定田间持水量和容重。
1.5.2 产量及其构成因素 收获玉米后, 随机取每个处理3个具有代表性的10 m2样区测产, 用水分仪测定水分, 按14%含水量折合成公顷产量。每个样区取15株, 按常规方法测定穗行数、行粒数、秃尖、百粒重等产量构成因素。
1.5.3 干物质积累 苗期(2011年6月22日、2012年6月6日)、拔节期(2011年7月12日、2012年7月10日)、灌浆期(2011年8月18日、2012年8月20日)、乳熟期(2011年9月10日、2012年9月8日)和收获期(2011年9月30日、2012年9月30日), 选择生长发育一致、叶片无病斑和破损的植株地上部, 烘箱105℃杀青60 min, 85℃烘至恒重称干重, 重复5次。
1.5.4 植株性状 包括玉米株高、茎粗。各处理选取10株代表性植株挂牌标记, 在苗期、拔节期用米尺测定株高, 用游标卡尺测定茎粗, 测定部位为茎部第2节间(基部扁面)。
1.5.5 光合特性 灌浆期选择晴朗无云的天气采用LI-6400便携式光合作用系统(LI-COR, 美国)在田间直接测定光合特性(净光合速率 Pn、气孔导度Gond、细胞间隙CO2浓度 Ci、蒸腾速率 Tr), 测定时光强为1200 μmol m-2 s-1, 温度为32℃, 选每个处理有生长代表性的植株5株, 测定倒三叶(平时完全暴露在外面), 每个叶片测量3次, 取平均值。叶面积(LA) = L(叶片最大长度) × W(最大宽度) × 0.75。用LI-2000冠层分析仪测定(LI-COR, 美国)叶面积指数。在灌浆期和乳熟期使用SPAD-502叶绿素计(美能达, 日本)测定穗位叶叶绿素含量, 每片叶测定3次(叶基、叶中、叶尖), 取10株植的平均值作为该叶片的SPAD值。
用Microsoft Excel进行整理分析试验数据并作图, 用SPSS15.0软件作相关的统计分析, 采用Duncan’s法多重比较, 显著水平为0.05。
方差分析表明, 不同种植模式对产量影响显著(表1), 2011年郑单958表现为ZD-DLSH>ZD-SBK(msm)>ZD- DHJ; 2012年表现略有不同, 为ZD-DLSH>ZD-SBK(msm) ≈ ZD-DHJ, 2年ZD-DLSH比ZD-DHJ分别增加5.95%、7.06%, 说明耐密品种大垄双行种植模式能够显著提高玉米产量; 2011年沈玉21表现为SY-DLSH ≈ SY-SBK (msm)>SY-DHJ, 2012年表现与2011年基本相同, 为SY- DLSH ≈ SY-SBK(msm)>SY-DHJ, 2年SY-DLSH和SY- SBK(msm)比ZD-DHJ分别增加13.30%、11.92%和29.42%、27.69%, 说明中密品种三比空密疏密种植模式和大垄双行种植模式均能提高玉米产量。
| 表1 种植模式对玉米产量及构成因素的影响 Table 1 Effect of planting patterns on maize yield and yield components |
在产量构成因素方面, 不同种植模式存在显著差异, ZD-DLSH和ZD-SBK(msm)模式下的穗行数、行粒数均大于ZD-DHJ种植模式, ZD-DLSH种植模式的秃尖长小于ZD-SBK(msm)和ZD-DHJ种植模式, 百粒重均以ZD- DLSH种植模式最大, 相关分析表明, 产量与穗行数和百粒重呈显著正相关( r= 0.884、0.902, P<0.05), 与行粒数无显著相关性(0.637), 由此表明, 耐密品种大垄双行种植模式增产的主要原因是百粒重和穗行数的显著提高; SY-DLSH和SY-SBK(msm)种植模式下的穗行数、行粒数也均大于SY-DHJ种植模式, SY-SBK(msm)种植模式的秃尖长小于SY-DLSH和SY-DHJ种植模式, 百粒重均以SY-SBK(msm)种植模式最大, 相关分析表明, 产量与行粒数呈显著正相关(0.515, P<0.05), 与穗行数、秃尖长和百粒重均无显著相关性(0.338、-0.119、0.327), 由此表明, 中密品种大垄双行种植模式和三比空密疏密种植模式增产的主要原因是行粒数的显著增加。
不同配置方式对玉米干物质的影响两年数据基本一致, 因此仅分析2012年的数据。单株干物质积累量均表现为先快后慢的增长趋势(图3), 郑单958表现为ZD-DLSH> ZD-SBK(msm)>ZD-DHJ, 收获期分别为346.74、339.80和339.66 g, ZD-DLSH比对照增加2.08%。沈玉21与郑单958相同, 表现为SY-DLSH>SY-SBK(msm)>SY- DHJ, 收获期分别为328.38、327.70和327.33 g, SY- DLSH比对照增加0.32%。由此可见, 通过种植模式的改变有利于群体干物质的积累, 为提高经济产量奠定了基础。
不同种植模式对玉米株高、茎粗的影响主要表现在玉米生长前期, 因此只分析苗期和拔节期。不同品种和不同种植模式下玉米株高和茎粗均表现不同(图4)。2011年苗期株高表现为ZD-SBK(msm)>ZD-DLSH>ZD-DHJ、SY-SBK(msm)>SY-DLSH>SY-DHJ; 拔节期表现为ZD- DLSH>ZD-DHJ>ZD-SBK(msm)、SY-SBK(msm)> SY-DHJ> SY-DLSH; 2012年苗期表现为ZD-DLSH>ZD-SBK(msm)> ZD-DHJ、SY-SBK(msm)>SY-DHJ>SY-DLSH; 拔节期表现为ZD-DLSH>ZD-DHJ>ZD-SBK(msm)、SY-SBK(msm)>SY-DLSH > SY-DHJ, 两年表现略有不同, 主要是取样时间不同所致。郑单958整体表现为大垄双行模式优于三比空密疏密模式和等行距种植模式; 沈玉21表现为三比空密疏密模式优于大垄双行模式和等行距种植模式。茎粗方面(图5), 2011年苗期表现为ZD-DHJ>ZD-SBK(msm)>ZD-DLSH>SY-DHJ> SY-SBK(msm)>SY-DLSH, 拔节期表现与苗期一致; 2012年苗期表现为ZD-SBK(msm)>ZD-DHJ>ZD-DLSH>SY-DHJ>SY- DLSH> SY-SBK(msm), 拔节期表现与苗期一致。
| 图4 种植模式对株高的影响处理缩写同表1。Treatments are the same as those described in Table 1.Fig. 4 Effect of planting patterns on maize plant height |
玉米产量主要由吐丝至乳熟期群体叶片光合特性, 特别是中上部叶片光合能力及较高光合能力所持续的时间所决定。通过改变种植模式塑造合理的冠层来提高灌浆期的光合能力高值持续期是提高玉米产量的潜力所在[ 15]。本试验两年数据变化基本一致, 2012年数据的方差分析表明(表2), 不同种植模式对光合速率的影响差异显著, 三比空密疏密种植模式中的密垄(m)和疏垄(s)表现不同,品种间表现也不相同。郑单958表现为ZD-DLSH>ZD-SBK(m)>ZD- SBK(s)>ZD-DHJ, 沈玉21表现为SY-SBK(m)>SY-DLSH> SY-SBK(s)>SY-DHJ; 不同种植模式对气孔导度的影响差异并不显著, 但大垄双行种植模式和三比空密疏密模式要高于等行距种植; 不同种植模式对细胞间隙CO2浓度( Ci)的影 响差异显著, 郑单958表现为ZD-DLSH>ZD-SBK(m)> ZD-SBK(s)>ZD-DHJ, 沈玉21表现为SY-SBK(m)> SY-SBK(s)> SY-DHJ>SY-DLSH; 不同种植模式对蒸腾速率( Tr)的影响差异显著, 郑单958表现为ZD-DLSH>ZD-SBK(m)> ZD-SBK(s)>ZD-DHJ, 沈玉21表现为SY-SBK(m)>SY-DLSH> SY-SBK(s)>SY-DHJ。密垄玉米单株叶片的光合速率和蒸腾速率明显高于疏垄, 可能是由于密垄紧靠空垄, 其通风和透光性较好。
| 表2 种植模式对玉米光合性能的影响 Table 2 Effect of planting pattern on maize photosynthetic characteristics |
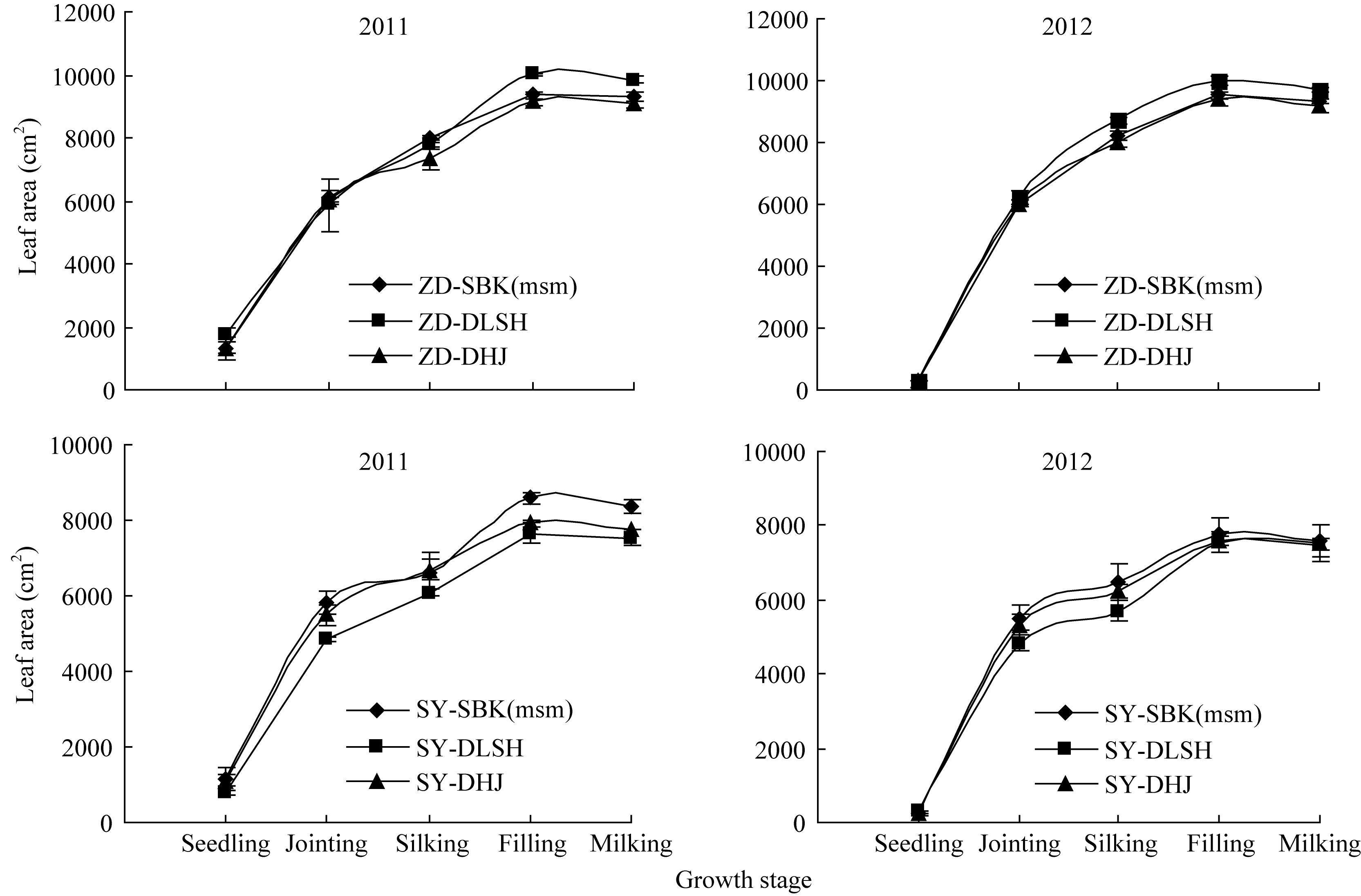
2011年和2012年单株叶面积在全生育期变化基本一致, 呈现先快速增大后缓慢变小的趋势, 2个品种在不同模式间表现不同(图6), 郑单958为ZD-DLSH>ZD-SBK (msm)>ZD-DHJ, 大垄双行种植模式在苗期、拔节期、吐丝期、灌浆期和乳熟期两年平均比对照高15.57%、0.37%、7.85%、7.72%和7.25%, 但2012年大垄双行的叶面积优势表现在拔节期之后, 而2011年则表现在吐丝期之后。沈玉21两年变化趋势基本一致, 表现为SY-SBK(msm)> SY-DLSH>SY-DHJ。三比空密疏密种植模式在苗期、拔节期、吐丝期、灌浆期和乳熟期两年平均比对照高7.02%、4.92%、1.51%、5.58%和4.39%。
朱元刚等[ 16]和杨吉顺等[ 17]研究发现玉米开花期至灌浆期之间LAI达到最大。本文分析灌浆初期叶面积指数表明(图7), 不同种植模式对其影响略有不同, 郑单958两年均表现为ZD-DLSH>ZD-DHJ>ZD-SBK(msm), 2011年分别为5.606、5.886和5.688, ZD-DLSH比ZD-DHJ增加3.83%, 2012年分别为4.852、4.910和4.632, ZD-DLSH比ZD-DHJ增加6.00%, 但2年差异均不显著; 沈玉21两年均表现为SY-SBK(msm)>SY-DLSH>SY-DHJ, 2011年分别为6.144、5.936和5.924, SY-SBK(msm)比SY-DHJ增加3.71%, 2012年分别为6.078、5.906和5.858, SY-DLSH比SY-DHJ增加3.76%, 2年差异也均不显著。
2011年和2012年叶绿素含量均随生育期的推进呈单峰曲线变化, 于灌浆期达最大值(图8)。郑单958两年表现为ZD-DLSH>ZD-SBK(msm)>ZD-DHJ, 2011年全生育期平均值分别为50.72、49.51和48.12 mg g-1, ZD-DLSH比对照增加5.40%, 2012年分别为52.43、50.04和46.61 mg g-1, ZD-DLSH比对照增加12.49%, 说明大垄双行种植模式更有利于耐密品种增加叶片叶绿素含量。沈玉21两年表现为SY-SBK(msm)>SY-DLSH>SY-DHJ, 2011年平均值分别为49.60、48.89和48.49 mg g-1, SY-SBK(msm)比对照增加2.29%, 2012年分别为47.62、44.62和43.48 mg g-1, SY-SBK(msm)比对照增加9.52%, 说明三比空密疏密种植模式更有利于中密品种增加叶片叶绿素含量。
田间优化配置是协调高密度条件下个体通风受光条件、营养状况并最终作用于产量的因素之一[ 18]。主要是通过影响其内部的水、热、气等微环境影响着群体的光合效率和作物产量[ 19, 20]。因此, 生产中常通过改变种植方式来改善光的有效截获, 提高群体生产力。范厚明等[ 21]、武志海等[ 22]、王敬亚等[ 11]和梁熠等[ 23]研究认为采用适宜宽窄行种植或适宜行距配比的玉米较等行距种植冠层特性具有明显优势, 可扩大光合面积, 增大叶面积指数, 增加中部冠层的透光率, 充分利用不同层次的光资源。杨克军等[ 24]研究认为干物质的积累随群体结构的不同而变化,大小行栽培方式有效地调节了植株个体与群体间的矛盾, 提高了干物质积累量, 为产量形成和提高奠定了物质基础。杨吉顺等[ 17]研究表明, 随密度增加, “80 cm+40 cm”行距配置的LAI显著高于其他各处理, 叶片衰老慢, 扩大并维持了较大的光合源。本试验结果表明, 田间种植形式的改变可以显著影响玉米生长发育特征, 耐密品种以大垄双行种植模式为宜, 可以增加玉米的株高、茎粗, 提高叶面积和光能利用率, 促进干物质积累; 中密品种以大垄双行和三比空种植模式为宜, 两种种植模式均可增加玉米的株高、茎粗, 提高叶面积和光能利用率, 促进干物质积累, 与前人研究结果一致。
| 图6 种植模式对叶面积的影响处理缩写同表1。Treatments are the same as those described in Table 1.Fig. 6 Effect of planting patterns on maize leaf area |
| 图7 种植模式对叶面积指数的影响处理缩写同表1。图柱上不同小写字母表示在0.05水平差异显著。Fig. 7 Effect of planting pattern on maize LAITreatments are the same as those described in Table 1. Values followed by different letters are significantly different at the 0.05 probability level. |
| 图8 种植模式对叶绿素含量的影响处理缩写同表1。Treatments are the same as those described in Table 1.Fig. 8 Effect of planting patterns on maize SPAD |
前人研究表明, 玉米采用宽窄行方式种植可增加穗长、穗粗、穗行数、行粒数, 降低秃尖长, 从而提高玉米的产量[ 21, 25]。本研究结果表明, 田间种植形式的改变可以显著影响玉米群体产量及产量构成因素。耐密品种以大垄双行种植模式为宜, 两年平均产量为8882.36 kg hm-2, 比对照增加6.51%, 增产的原因是百粒重和穗行数的显著提高; 中密品种耐密品种表现不同, 以大垄双行和三比空种植模式为宜, 两年平均产量分别为8294.58 kg hm-2和8188.30 kg hm-2, 比对照增加21.36%和19.81%, 增产的原因是行粒数的显著增加, 与前人研究结果一致。因此, 通过改变田间种植形式, 充分发挥个体发育潜力, 使群体与个体得到协调发展, 保证群体产量的增加是提高玉米单产的有效途径之一。
| [1] |
|
| [2] |
|
| [3] |
|
| [4] |
|
| [5] |
|
| [6] |
|
| [7] |
|
| [8] |
|
| [9] |
|
| [10] |
|
| [11] |
|
| [12] |
|
| [13] |
|
| [14] |
|
| [15] |
|
| [16] |
|
| [17] |
|
| [18] |
|
| [19] |
|
| [20] |
|
| [21] |
|
| [22] |
|
| [23] |
|
| [24] |
|
| [25] |
|

