陕西省不同年代玉米品种产量和氮效率性状的变化
张仁和1, 杜伟莉1, 郭东伟1, 张爱瑛2, 胡富亮1, 李凤艳1,*, 薛吉全1,*
1 西北农林科技大学农学院, 陕西杨凌 712100
2 渭南市种子管理站, 陕西渭南 714000

*通讯作者(Corresponding authors): 薛吉全, E-mail:xjq2934 @163.com; 李凤艳, E-mail:li-feng-yan @163.com

第一作者联系方式: E-mail:zhangrenhe1975@163.com

摘要

明确陕西省不同年代玉米产量和氮效率性状响应氮肥的变化趋势, 对西北旱区玉米高产氮高效品种选育具有重要的实践意义。本文以1981—2010年间陕西省12个玉米主栽品种为材料, 于2011年和2012年在典型旱区陕西长武进行3个氮水平(0、120和240 kg hm-2)的田间试验, 分析了不同年代玉米品种农艺和氮效率性状变化趋势。结果显示, 不同年代玉米品种籽粒产量随氮水平增加而提高, 在施氮0、120和240 kg hm-2处理下籽粒产量增益分别为每年46、65和83 kg hm-2。所有氮水平下2000—2010年间品种产量和生物量显著高于1980—1989年间品种, 而秸秆产量变化不明显; 现代玉米品种(2000—2010年)产量的增加归因于穗粒数、千粒重和生物量的提高。不同年代玉米品种消光系数随氮水平增加而降低, 说明现代玉米品种(2000—2010年)较老品种(1980—1989年)叶片直立, 截获更多的光能, 致使产量和生物量高。随着年代的递进, 玉米品种氮肥农学利用率呈递增趋势, 在低氮水平下现代品种氮肥利用效率最高, 且显著高于老品种。氮肥农学利用率与氮吸收效率(NUpE)和花后氮素积累量呈显著相关(r = 0.75;r = 0.72), 而与氮生理效率(NUtE)和花前氮素积累量相关性不显著(r = 0.42;r = 0.39)。说明现代玉米品种氮肥农学利用率提高主要来自氮肥吸收效率和花后氮素积累量的增加。上述结果表明, 陕西玉米育种应注重穗粒数、千粒重、氮吸收效率性状和株型结构改良, 低氮环境压力选择将有助于旱区玉米高产氮高效新品种培育。

关键词: 陕西省; 玉米品种; 籽粒产量; 农艺性状; 氮效率性状
Changes of Grain Yield and Nitrogen Use Efficiency of Maize Hybrids Released in Different Eras in Shaanxi Province
ZHANG Ren-He1, DU Wei-Li1, GUO Dong-Wei1, ZHANG Ai-Ying2, HU Fu-Liang1, LI Feng-Yan1,*, XUE Ji-Quan1,*
1College of Agronomy, Northwest A&F University, Yangling 712100, China
2Weinan Seed Station, Weinan 714000, China
Abstract

Identifying the changes of grain yield and nitrogen use traits will facilitate the development of new maize hybrids with high yield and nitrogen use efficiency. In this study, 12 typical maize hybrids released from 1981 to 2010 in Shaanxi Province were grown in the field under three N rates (0, 120, and 240 kg ha-1) from 2011 to 2012 in Shaanxi, Northwest China. Nitrogen use efficiency and agronomic traits of maize were investigated. The result indicates that grain yield of maize hybrids increased with the increase of nitrogen rates, and the modern maize hybrids (2000s) showed better grain yield than the old ones (1980s) at three nitrogen levels. The yield genetic gains were 46, 65, and 83 kg ha-1 per year at N0, N120, and N240 levels repeat. The modern hybrids showed better biomass and grain yield than the old ones, but there was no clear changing trend in stover yield between hybrids of different ears. Increments of grain yield were achieved mainly through increasing the kernel number per ear, 1000-kernel weight and biomass, and the coefficient of light extinction decreased with the time process of cultivar development from 1981 to 2010. Changes of plant structure would allow the modern maize hybrids to improve light capture resulting in better grain yield than those of the old ones. For nitrogen use point of view, irrespective of nitrogen treatments, nitrogen use efficiency (NUE) of hybrids released increased in responses of time. But nitrogen use efficiency decreased with increasing nitrogen application rates, and nitrogen use efficiency (NUE) was highly correlated with N uptake efficiency (NUpE,r = 0.75), and not with N physiological efficiency (NUtE,r = 0.42). Increased NUE positively correlated with improved N uptake efficiency (NUpE), due to the greater post-anthesis N accumulation. The results indicated that improvements of 1000-kernel weight, kernel number per ear and nitrogen uptake efficiency (NUpE) should be considered during breeding for high yield and high nitrogen use efficiency of maize under low nitrogen and water limited conditions.

Keyword: Shaanxi Province; Maize hybrids released; Grain yield; Agronomic traits; Nitrogen use efficiency traits

玉米是陕西省的第一大粮食作物, 近几年来陕西省玉米产量持续增加, 主要归功于品种改良和栽培管理[ 1]。玉米品种演进研究是理解如何选择经济、有效的农艺性状以增加籽粒产量的一种常用手段和方法[ 2, 3]。国内外对不同年代玉米品种农艺和生理性状的变化趋势进行了大量研究[ 4, 5, 6, 7], Duvick[ 8]指出, 美国玉米带雄穗分枝数以每10年2.5个的速率减少。Ci等[ 9]研究中国1950—2010年玉米品种变化, 表明现代品种籽粒产量的增加主要来源于粒数和百粒重。且中国现代玉米品种灌浆期能维持较高的叶片光合速率[ 10]。这些均是在高氮水平下得出的结果[ 11]。而旱区低氮水平下玉米品种演进过程中源(光能截获与转化)、库(粒数与粒重)关系缺乏文献报道。

众多研究表明玉米产量提高主要得益于品种抗逆性增强和资源利用效率提高[ 12, 13]。Carlone等[ 14]比较美国1960—1989年间品种对增施氮肥的响应, 表明1980—1989年间品种对增施氮肥有更好的响应。Tollenaar[ 15]认为加拿大现代品种比老品种具有更强的养分吸收能力。Echarte等[ 16]指出, 在不同氮肥施用量下现代玉米品种有较高的氮肥偏生产力。玉米籽粒产量对氮肥的响应与氮利用差异密切相关, 表现为氮素积累并运转到籽粒中的能力不同[ 17], 主要是氮利用效率中氮吸收效率和氮生理效率相对贡献率差异所致[ 18], 且氮利用效率可以通过其中一或两者的变化得到提高[ 19]。Bingham等[ 20]对英国75年来大麦品种氮肥利用效率改良分析表明, 可以独立选择氮吸收效率和氮生理效率以提高氮肥农学利用率。玉米方面也有一些在高、低氮水平下新老品种比较研究报道[ 21, 22], 由于这些研究选择了有限的几个基因型, 很难评估现代玉米品种氮肥农学效率的遗传增益[ 23]。2012年我国学者分析了黑龙江省不同年代玉米品种(1970—2010年)氮肥农学利用率对氮肥的响应, 也仅得出氮肥偏生产力和氮肥农学利用率均显著提高的结论[ 24]。但对于不同年代玉米品种氮吸收效率和氮生理效率是怎样影响氮肥农学利用率, 国内外研究较少。因此, 回顾分析陕西旱区不同年代玉米品种产量、生理和氮效率性状对施肥水平响应的变化趋势, 对旱地玉米高产氮高效品种选育具有重要的实践意义。

1 材料与方法
1.1 试验地概况

西北农林科技大学旱作农业长武站位于黄土高原中南部陕西省长武县洪家镇王东沟村(35°12′ N、107°40′ E, 海拔1200 m), 属典型旱作农区, 试验田土壤为黑垆土。2011年和2012年中0~20 cm土壤平均含有机质11.4 g kg-1、全氮0.91 g kg-1、矿质氮 3.31 mg kg-1、有效磷13.27 mg kg-1、有效钾141.4 mg kg-1。两年玉米生育期平均温度分别为18.1℃和19.1℃, 降雨量分别为533.5 mm和440 mm (图1)。

图1 2011-2012年陕西省长武县旱地春玉米生长季节降雨量、温度和日辐射量的变化Fig. 1 Changes of precipitation, temperature and solar radiation of dryland spring maize at Changwu of Shaanxi Province
in 2011 and 2012

1.2 试验设计

选用1980—2010年以来各个年代陕西省大面积推广应用的12个代表性玉米品种可以反映陕西玉米主要推广区品种的演变概况(表1)。玉米品种由西北农林科技大学农学院提供。试验采取裂区设计, 3次重复。总施氮量设置3个处理为0、120和240 kg hm-2, 分别用N0、N120、N240表示。试验以品种为主区, 氮肥处理为裂区。每个小区5行, 行长7 m, 行距 0.60 m。2011年和2012年分别于4月22日和4月24日人工播种, 每穴播3粒, 于三叶期按设计密度定苗。播种时施入33.3%氮肥, 六叶期追施余下66.7%氮肥。其他管理措施与当地大田高产栽培技术措施一致。

表1 试验玉米杂交种推广年代和选育单位 Table 1 Details of the maize hybrids used
1.3 测定项目与方法

1.3.1 叶面积指数

于开花、灌浆和成熟期利用长宽系数法测定植株叶面积, 叶面积指数(LAI)=单位群体叶面积/单位土地面积。

1.3.2 冠层消光系数

于开花、灌浆和成熟期采用LP-80冠层分析仪在晴天中午11:00—13:00测定穗位层光强( I0)和底层的光强( Ib), 消光系数( k)=[ln (1- Ib/ I0)]/ LAI[ 25]

1.3.3 干物质积累量

开花期和成熟期在每个小区第2行, 选取同一天吐丝的植株5株, 分成茎、叶、鞘、穗和粒5部分, 在105℃杀青30 min, 80℃烘至恒重, 计算干物质重。

1.3.4 产量及产量构成

成熟期统计每个小区的倒伏株数、空秆株数, 并收获中间3行计产并考种, 其中籽粒含水量统一折算成14%。收获指数(HI)=产量/生物量;

不同年代玉米品种的最高产量之间的差值, 为玉米籽粒的产量遗传增益。产量遗传增益与所跨越年代的比值即为产量遗传增益率[ 26]

1.3.5 氮肥效率性状

利用KJ8400型凯氏定氮仪测定开花期和成熟期各部氮素含量, 根据Moll等[ 27]公式计算氮素积累量及相关性状。

氮肥农学利用率(NUE)(kg kg-1) = (施氮处理产量-不施氮处理产量)/施氮量

氮肥吸收效率(NUpE)(kg kg-1) = (施氮处理地上部吸氮量-不施氮处理地上部吸氮量)/施氮量

氮肥生理效率(NUtE)(kg kg-1) = (施氮处理产量-不施氮处理产量)/(施氮处理地上部吸氮量-不施氮处理地上部吸氮量)

氮素收获指数(NHI) = 籽粒含氮量/(籽粒含氮量+秸秆含氮量)

1.4 数据分析

分别用Microsoft Excel 2003和SPSS12.0软件处理与统计分析数据。

2 结果与分析
2.1 不同年代玉米品种产量增益对氮肥的响应

表2显示, 3个氮水平下2011年和2012年平均产量分别为7.58 t hm-2和7.88 t hm-2; 所有氮水平下产量平均值在N0水平下, 2011年比2012年高出0.4 t hm-2, N240水平下2011和2012年为9.74 t hm-2和9.90 t hm-2, 可能是2012年开花后期降雨量偏少和高温降低了产量(图1)。统计分析结果显示(表3), 产量在年代、品种和氮肥间差异均显著或极显著, 而年代×品种、年代×氮肥和年代×品种×氮肥间的互作未达到了显著水平, 说明产量及相关性状可以利用2年平均值分析。

表2 不同年代玉米品种3个氮肥水平下2011-2012年籽粒产量 Table 2 Grain yield and analysis of variance of maize hybrids released at three different nitrogen levels in 2011 and 2012
表3 不同年代玉米品种3个氮肥水平下2011-2012年籽粒产量变异分析 Table 3 Analysis of yield variance of maize hybrids at three different nitrogen levels in 2011 and 2012

不同年代(1981—2010年)玉米产量呈显著递增趋势, 随着氮水平的增加而增加。与N0水平相比, 2000—2010年间的品种在高氮N240和低氮N120较1980—1989年间的品种产量分别提高11.6%和24.0%, 2000—2010年间的现代品种较1980—1989年间的老品种产量对氮肥反应强。依据Duvick[ 4]的方法分析可知, 在低氮N120和高氮N240水平下, 陕西玉米品种产量增益每年为65 kg hm-2和83 kg hm-2, 尽管在不施氮下籽粒产量增加幅度较小, 产量增益仍为每年46 kg hm-2。说明陕西省不同年代玉米品种演替过程中, 不同氮肥下植株生产力都得到了明显的提高。

2.2 不同年代玉米品种生物量与收获指数对氮肥的响应

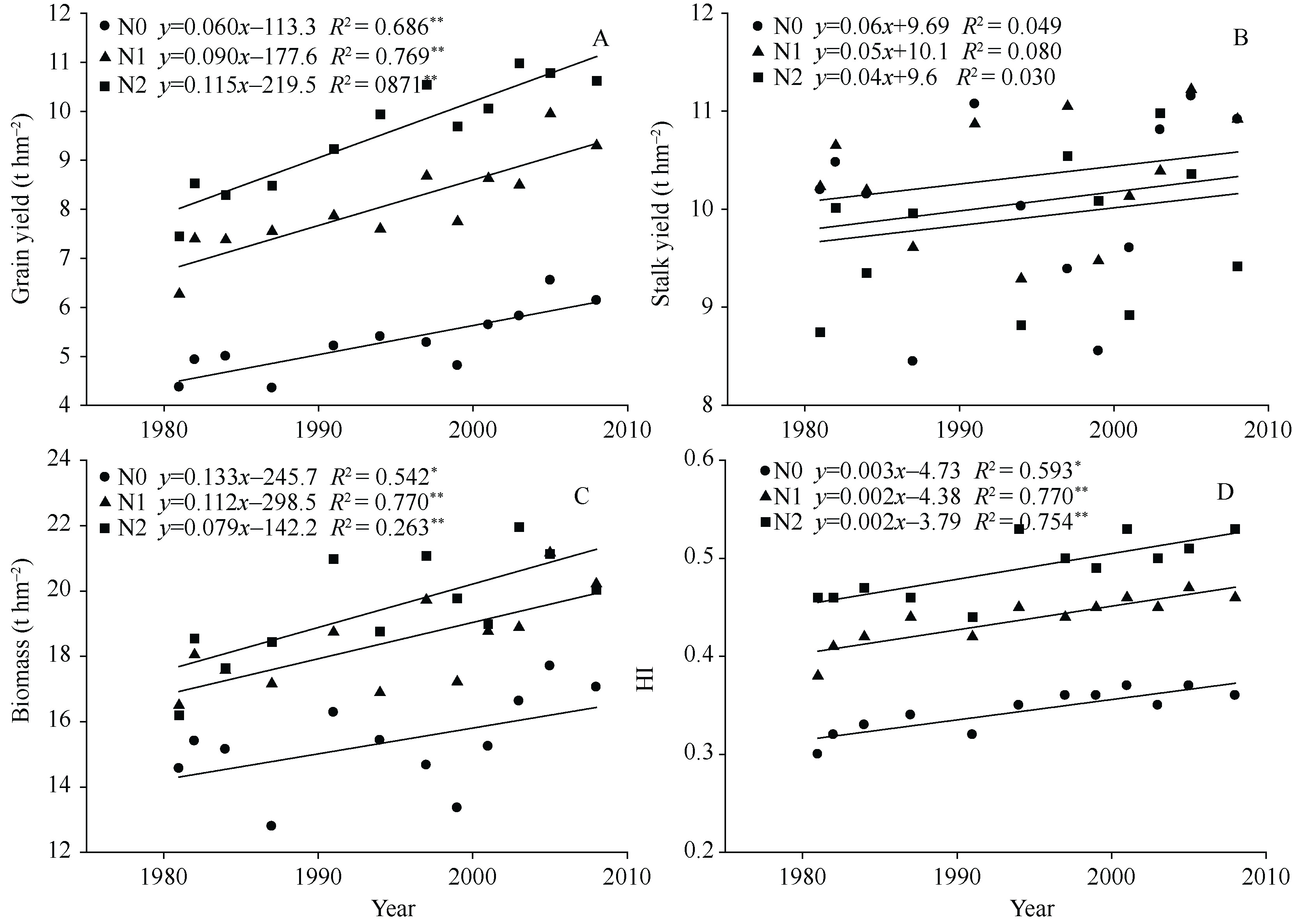
随着年代的递进, 玉米品种生物量和收获指数呈递增的趋势, 2000—2010年间的现代品种生物量和收获指数均显著高于1980—1989年间的老品种(图2)。各年代玉米品种的生物量和收获指数随着施氮水平的增加呈递增趋势。在不同氮水平下, 2000—2010年间的品种的生物量和收获指数显著高于1980—1989年间的品种, 在低氮N120和高氮N240水平下, 平均生物量分别增加14.1%和16.0% (图2-C)。收获指数增幅不变, 较对照分别平均增加11.5%和11.9% (图2-D)。而玉米秸秆产量随着年代的递进变化不明显, 且在不同氮肥水平下差异不显著(图2-B)。说明陕西省现代玉米品种增产主要是具有较高的光合产物(较高的生物量)。

图2 不同年代玉米品种3个氮肥水平下2011-2012年籽粒产量、秸秆产量、生物量和收获指数(HI)的变化Fig. 2 Changes of grain yield, stalk yield, biomass, and harvest index (HI) for maize hybrids at three nitrogen levels in 2011 and 2012

2.3 不同年代玉米品种穗部和生理性状对氮肥的响应

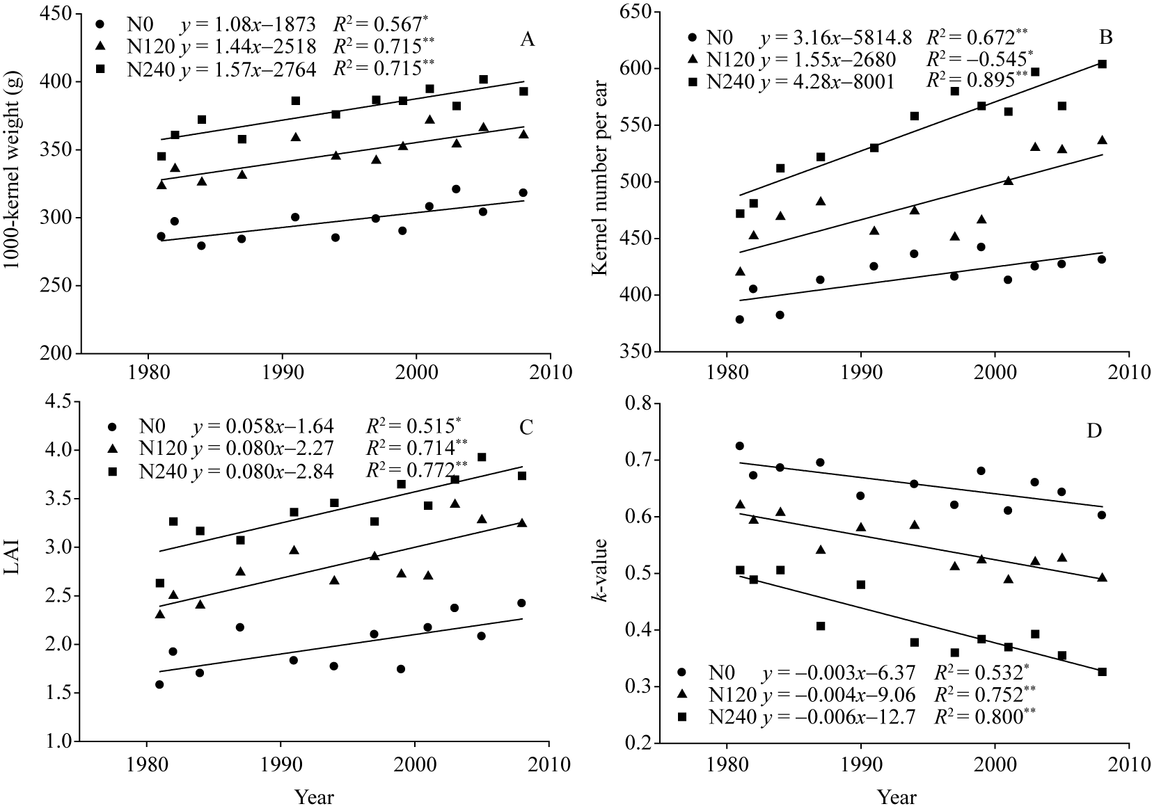
1981—2010年玉米品种的穗粒数随年代的演进呈增加趋势, 在所有氮水平下, 2000—2010年间的品种显著高于1980—1989年间的品种, 且高氮处理增幅大于低氮处理。在低氮N120和高氮N240水平下, 2000—2010年间的品种比1980—1989年间的品种穗粒数平均分别增加14.9%和17.3% (图3-B)。玉米品种的千粒重随年代的演进呈增加趋势, 在所有氮水平下, 2000—2010年间的品种显著高于1980— 1989年间的品种。各年代品种均随氮肥水平的增加呈增加趋势, 在低氮N120和高氮N240水平下, 2000—2010年间的品种比1980—1989年间的品种平均分别增加10.3%和9.5% (图3-A)。说明穗粒数和千粒重增加是玉米产量提高的主要原因。

图3 不同年代玉米品种3个氮肥水平下2011-2012年穗粒数、千粒重、叶面积指数(LAI)和消光系数( k)的变化Fig. 3 Changes of kernel number per ear, 1000-grain weight, leaf area index (LAI), and coefficient of light extinction ( k) for maize
hybrids at three nitrogen levels in 2011 and 2012

1981—2010年玉米品种的叶面积指数(LAI)随年代的演进呈增加趋势(图3-C), 在所有氮水平下, 2000—2010年间的品种显著高于1980—1989年间的品种。在低氮N120和高氮N240水平下, 2000— 2010年间的品种比1980—1989年间的品种叶面积指数平均分别增加27.4%和21.8%。而玉米品种群体消光系数( k)随年代的演进呈现下降趋势(图3-D), 在低氮N120和高氮N240水平下, 2000—2010年间的品种比1980—1989年间的品种平均分别下降14.2%和24.3%。消光系数下降幅度越大说明现代品种株型变得更紧凑, 光能截获更多, 且具有更多的光合叶面积, 有利于花后群体叶片的光合同化物积累。

2.4 不同年代玉米品种氮利用效率对氮肥的响应

随年代的递进, 玉米品种氮肥农学利用率(NUE)呈增加趋势(图4)。在各氮肥水平下, 2000—2010年间的品种氮肥利用效率比1980—1989年间的品种高出20.5%和35.8%。但随着施氮量增加, 各年代玉米品种氮肥农学利用率呈现下降趋势, 在低氮N120和高氮N240水平下, 2000—2010年间的品种比1980—1989年间的品种分别平均降低29.1%和20.2%, 符合养分报酬递减规律。说明过多增施氮不利于提高氮肥农学利用率。而各年代氮收获指数(NHI)差异不显著( r = 0.36; r = 0.43; r = 0.40)。与N0相比, 增加氮肥用量可提高NHI。

图4 不同年代玉米品种3个氮肥水平下2011-2012年氮肥农学利用率(NUE)和氮收获指数(NHI)的变化Fig. 4 Changes of nitrogen use efficiency (NUE) and nitrogen harvest index (NHI) for maize hybrids released at three nitrogen levels in 2011 and 2012

玉米品种氮肥农学利用率(NUE)是吸收效率(NUpE)和生理利用效率(NUtE)二者的乘积。相关分析显示(图5), 在低氮N120和高氮N240水平下NUE与NUpE显著相关( r = 0.77; r = 0.74), 与NUtE相关性不显著( r = 0.46, 0.38)。因而玉米氮肥农学利用率增加归因于氮肥吸收效率的改善。在低氮N120和高氮N240水平下花后氮素积累量与NUE显著相关( r = 0.73; r = 0.71), 花后氮素积累量与NUE相关性不显著( r = 0.48; r = 0.31)说明氮吸收效率(NUpE)的改善是玉米花后氮素积累量增加的结果。

图5 不同年代玉米品种2个氮肥水平下2011-2012年氮吸收效率(NUpE)、氮生理效率(NUtE)、花前氮积累量和花后氮积累量与氮肥农学利用率(NUE)间的相关性Fig. 5 Relationship between nitrogen uptake efficient (NUpE), nitrogen physiological efficiency (NUtE), pre-anthesis nitrogen accumulation, post-anthesis nitrogen accumulation, and nitrogen use efficiency (NUE) for maize hybrids at two nitrogen levels in 2011 and 2012

3 讨论

对玉米产量的遗传增益分析, 有利于了解产量潜力以及进一步实现产量改良[ 2, 3]。慈晓科等[ 26]采用Duvick的直接种植法评估我国(1970—2000年)玉米产量, 每年增益为94.7 kg hm-2。本研究采用同样的方法, 表明在1981—2010年, 随着年代的推进和中国陕西玉米高产品种的推广, 籽粒产量逐年增加, 其中施氮240 kg hm-2水平下玉米产量增益每年83 kg hm-2, 低于阿根廷(1979—1998年)的107 kg hm-2和巴西(1963—1993年)玉米的123 kg hm-2 [ 22, 23], 但与加拿大82 kg hm-2 [ 2]和美国57~89 kg hm-2 [ 13]相近。同时发现所有氮水平下现代玉米品种比老品种具明显的产量优势。说明低氮下选育出的玉米高产品种同样在高氮下具有较高的产量, 但其间生理机制仍不清楚[ 25], 可能氮肥差异的多地点、多环境测试体系能够筛选出2种氮肥水平下的高产品种[ 18]

分析产量改良的相关性状是理解玉米育种过程中选育效率的最佳方法[ 28]。从产量构成性状看, 穗粒数和粒重是影响产量重要因素[ 9, 29]。不同学者持有不同的研究观点, Tollernaar等[ 15]研究玉米产量改良中, 籽粒产量与穗粒数显著正相关, 而粒重相关不显著。Eyherabide等[ 23]研究阿根廷1965—1993年间玉米产量增益也显示了一致的结果。Duvick[ 4]指出增加玉米产量贡献来源于增加粒重比增加穗粒数多; 而董树亭[ 28]报道玉米产量增加是粒重和穗粒数增加的结果。本研究中不同年代品种随着产量水平的提高穗粒数和千粒重均显著增加, 与N0相比, 高氮N240 kg hm-2水平下平均穗粒数每10年增加(6.5%)幅度比千粒重增加(3.2%)大, 说明穗粒数和粒重都贡献于产量的增加。从同化物分配性状看, 玉米籽粒产量由生物学量和收获指数决定[ 7, 16]。玉米产量增加中生物量和收获指数的相对重要性也存在分歧[ 6, 14, 28]。本研究中, 随着玉米品种演进中3个氮肥水平下, 每10年平均生物量增加0.8 t hm-2, 收获指数每10年增加2%。而秸秆产量没有明显的变化(图3)。说明陕西省现代玉米品种具有较高的光合产物向籽粒转运, 导致粒数和粒重增加。因此, 改善源( LAI k)、库(粒数和粒重)性状是陕西旱区玉米高产高效育种的重要目标。

从氮肥利用性状看, 氮肥农学利用率是单位面积氮素供应量(土壤和施氮)生产籽粒的量, 由土壤中获取氮肥的能力(氮肥吸收效率)和植物氮转运到籽粒的效率(氮肥生理效率)两部分组成[ 26]。提高氮肥农学利用率直接或间接影响玉米产量[ 11]。而氮肥农学利用率及其组分存在较大的遗传变异[ 18, 21]。在大麦上的研究指出, 是氮肥农学利用率而不是氮肥生理效率显著与氮肥吸收效率相关[ 20]。本研究表明, 陕西省玉米品种演替过程中(1981—2010年), 玉米籽粒产量提高的同时, 氮肥农学利用率得到了显著提高, 且在N120和N240 kg hm-2水平下2000—2010年间的品种氮肥利用效率比1980—1989品种分别高出20.5%和35.8%。同时, 发现玉米氮肥农学利用率与氮肥吸收效率(NUpE)显著相关( r = 0.75), 而与氮肥生理效率(NUtE)相关性不显著( r = 0.39)。而玉米花后氮素积累量与氮肥农学利用率显著相关(图5)。说明氮吸收效率(NUpE)的改善是玉米花后氮素积累量增加的结果。而如何在花后氮素积累量基础上优化氮素的再运转, 利用新育种技术协同提高氮肥生理效率(NUtE)和氮肥吸收效率(NUpE), 改善陕西旱区玉米氮肥农学利用率, 仍需要进一步深入研究。

4 结论

1981—2010年, 陕西省玉米品种籽粒产量和氮肥农学利用率均明显提高, 玉米籽粒产量改良主要得益于穗粒数、千粒重和生物量显著增加。玉米氮肥农学利用率增加归因于氮肥吸收效率和花后氮素积累量的改善。因此, 陕西玉米育种应注重穗粒数、千粒重、氮吸收效率性状和株型结构改良, 低氮环境压力选择将有助于旱区玉米高产氮高效新品种培育。

The authors have declared that no competing interests exist.

作者已声明无竞争性利益关系。The authors have declared that no competing interests exist.

参考文献
[1] 李少昆, 王崇桃. 玉米生产技术创新与扩散. 北京: 科学出版社, 2010. pp1-32
Li S K, Wang C T. Innovation and Diffusion of Corn Production Technology. Beijing: Science Press, 2010. pp1-32(in Chinese) [本文引用:1]
[2] Tollenaar M, Lee E A. Dissection of physiplogical processes underlying grain yield in maize by examining genetic improvement and heterosis. Maydica, 2006, 51: 399-408 [本文引用:3] [JCR: 0.368]
[3] Wang T Y, Ma X L, Yu L, Bai D P, Liu C, Liu Z Z, Tan X J, Shi Y S, Song Y C, Mario C, David B, Hans B, Elizabeth J, Kevin W, Stephen S. Changes in yield and yield components of single-cross maize hybrids released in China between 1964 and 2001. Crop Sci, 2011, 51: 512-525 [本文引用:2] [JCR: 1.513]
[4] Duvick D N. Genetic progress in yield of United States maize (Zea mays L. ). Maydica, 2005, 50: 193-202 [本文引用:3] [JCR: 0.368]
[5] 谢振江, 李明顺, 徐家舜, 张世煌. 遗传改良对中国华北不同年代玉米单交种产量的贡献. 中国农业科学, 2009, 47: 781-789
Xie Z J, Li M S, Xu J S, Zhang S H. Contributions of genetic improvement to yields of maize hybrids during different eras in North China. Sci Agric Sin, 2009, 47: 781-789 (in Chinese with English abstract) [本文引用:1] [CJCR: 1.889]
[6] Qiao C G, Wang Y J, Guo H A, ChenX J, Liu J Y, Li S Q. A review of advances in maize production in Jilin province during 1974-1993. Field Crops Res, 1996, 47: 65-75 [本文引用:2] [JCR: 2.474]
[7] Luque S F, Cirilo A G, Otegui M E. Genetic gains in grain yield and related physiological attributes in Argentine maize hybrids. Field Crops Res, 2006, 95: 383-397 [本文引用:2] [JCR: 2.474]
[8] Duvick D N. Genteic rates of gain in hybrid maize yields during the past 40 years. Maydica, 1977, 22: 187-196 [本文引用:1] [JCR: 0.368]
[9] Ci X K, Li M S, Xu J S, Lu Z Y, Bai P F, Ru G L, Liang X L, Zhang D G, Li X H, Bai L, Xie C X, Hao Z F, Zhang S H, Dong S T. Trends of grain yield and plant traits in Chinese maize cultivars from the 1950s to the 2000-2010. Euphytica, 2011, 185: 395-406 [本文引用:2] [JCR: 1.643]
[10] Ding L, Wang K J, Jiang G M, Liu M Z, Niu S L, Gao L M. Post-anthesis changes in photosynthetic traits of maize hybrids released in different years. Field Crops Res, 2005, 93: 108-115 [本文引用:1] [JCR: 2.474]
[11] 张福锁, 王激清, 张卫峰, 崔振岭, 马文奇, 陈新平, 江荣风. 中国主要禾谷类作物氮肥利用效率及改进途径. 土壤学报, 2008, 6: 915-924
Zhang F S, Wang J Q, Zhang W F, Cui Z L, Ma W Q, Chen X P, Jiang R F. Nutrient use efficiencies of major ceral crops in China and measures for improvement. Acta Pedol Sin, 2008, 6: 915-924 (in Chinese with English abstract) [本文引用:2] [CJCR: 1.979]
[12] Cunha Fernand es J S, Franzon J F. Thirty years of genetic progress in maize (Zea mays L. ) in a tropical environment. Maydica, 1997, 42: 21-27 [本文引用:1] [JCR: 0.368]
[13] Duvick D N, Cassman K G. Post-green revolution trends in yield potential of temperate maize in the North-central United States. Crop Sci, 1999, 39: 1622-1630 [本文引用:2] [JCR: 1.513]
[14] Carlone M R, Russell W A. Response to plant densities and nitrogen levels for four maize cultivars from different eras of breeding. Crop Sci, 1987, 3: 465-470 [本文引用:2] [JCR: 1.513]
[15] Tollenaar M. Genetic improvement in grain yield of commercial maize hybrids grown in Ontario from 1959 to 1988. Crop Sci, 1989, 29: 1365-1371 [本文引用:2] [JCR: 1.513]
[16] Echarte L, Rotnstein S, Tollenaar M. Response of leaf photosythesis and dry matter accumulation to nitrogen supply in old and a new maize hybrids. Crop Sci, 2008, 48: 656-665 [本文引用:2] [JCR: 1.513]
[17] Castleberry R M, Crum C W, Krull C F. Genetic yield improvement of US maize cultivars under varying fertility and climatic environments. Crop Sci, 1984, 24: 33-36 [本文引用:1] [JCR: 1.513]
[18] Ma B L, Dwyer L M, Gregorich E G. Soil nitrogen amendment effects on nitrogen uptake and grain yield of maize. Agron J, 1999, 91: 650-656 [本文引用:3] [JCR: 1.518]
[19] Frei O M. Changes in yield physiology of corn as a result of breeding in northern Europe. Maydica, 2000, 45: 173-183 [本文引用:1] [JCR: 0.368]
[20] Bingham I J, Karley A J, White P J, Thomas W T B, Rusell J R. Analysis of improvements in nitrogen use efficiency associated with 75 years of spring barley breeding. Eur J Agron, 2012, 42: 49-58 [本文引用:2] [JCR: 2.8]
[21] Worku M, Banziger M, Erley G S A, Friesen D, Diallo A O, Horst W J. Nitrogen uptake and utilization in contrasting nitrogen efficiency tropical maize hybrids. Crop Sci, 2007, 47: 519-528 [本文引用:2] [JCR: 1.513]
[22] Sangoi L, Gracietti M A, Rampazzo C, Bianchetti P. Response of Brazilian maize hybrids from different eras to changes in plant density. Field Crops Res, 2002, 79: 39-51 [本文引用:2] [JCR: 2.474]
[23] Eyherabide G H, Damilano A L. Comparison of genetic gain for grain yield of maize between the 1980—1989 and 1990s in Argentina. Maydica, 2001, 46: 277-281 [本文引用:3] [JCR: 0.368]
[24] 钱春荣, 于洋, 宫秀杰, 姜宇博, 赵杨, 郝玉波, 李梁, 张卫建. 黑龙江省不同年代玉米杂交种氮肥利用效率对种植密度和施氮水平的响应. 作物学报, 2012, 38: 2069-2077
Qian C R, Yu Y, Gong X J, Jiang Y B, Zhao Y, Hao Y B, Li L, Zhang W J. Response of nitrogen use efficiency to plant density and nitrogen application rate for maize hybrids from different eras in Heilongjiang Province. Acta Agron Sin, 2012, 38: 2069-2077 (in Chinese with English abstract) [本文引用:1] [CJCR: 1.667]
[25] Maddonni G A, Otegui M E, Cirilo A G. Plant population density, row spacing and hybrid effects on maize canopy architecture and light attenuation. Field Crops Res, 2001, 71: 183-193 [本文引用:2] [JCR: 2.474]
[26] 慈晓科, 张世煌, 谢振江, 徐家舜, 卢振宇, 茹高林, 张德贵, 李新海, 谢传晓, 白丽, 李明顺, 董树亭. 1970-2000年代玉米单交种的遗传产量增益分析方法的比较. 作物学报, 2010, 36: 2185-2190
Ci X K, Zhang S H, Xie Z J, Xu J S, Lu Z Y, Ru G L, Zhang D G, Li X H, Xie C X, Bai L, Li M S, Dong S T. Comparison of analysis method of genetic yield gain for the single-cross hybrids released during 1970s-2000s. Acta Agron Sin, 2010, 36: 2185-2190 (in Chinese with English abstract) [本文引用:3] [CJCR: 1.667]
[27] Moll R H, Kamprath E J, Jackson W A. Analysis and interpretation of factors which contribute to efficiency of nitrogen utilization. Agron J, 1982, 74: 562-564 [本文引用:1] [JCR: 1.518]
[28] 董树亭. 玉米生态生理与产量品质形成. 北京: 高等教育出版社, 2006. pp168-222
Dong S T. Eco-physiology and Formation of Yield and Quality in Maize. Beijing: Higher Education Press, 2006. pp168-222(in Chinese) [本文引用:3]
[29] 李从峰, 赵明, 刘鹏, 张吉旺, 杨今胜, 刘京国, 王空军, 董树亭. 中国不同年代玉米单交种及其亲本主要性状演变对密度的响应玉米. 中国农业科学, 2013, 46: 2421-2429
Li C F, Zhao M, Liu P, Zhang J W, Yang J S, Liu J G, Wang K J, Dong S T. Responses of main traits of maize hybrids and their parents to density in different eras of China. Sci Agric Sin, 2013, 46: 2421-2429 (in Chinese with English abstract) [本文引用:1] [CJCR: 1.889]