秸秆还田后少耕对小麦/玉米间作系统中种间竞争和互补的影响
殷文*, 赵财*, 于爱忠, 柴强*, 胡发龙, 冯福学
甘肃省干旱生境作物学重点实验室 / 甘肃农业大学农学院, 甘肃兰州 730070
*通讯作者(Corresponding author): 柴强, E-mail: chaiq@gsau.edu.cn
摘要

保护性耕作具有提高作物水分利用效率、减少能耗等优点, 但能否将该技术集成应用于间作套种, 尚需理论研究和具体实验依据。本研究通过2011至2012年度的田间定位试验, 探讨不同耕作和秸秆还田方式对小麦间作玉米作物群体竞争、互补作用及产量的影响。试验设3种秸秆还田处理, 分别是小麦带25 cm高茬收割立茬免耕(NTSS)、小麦带25 cm高茬等量秸秆覆盖免耕(NTS)及小麦带高茬等量秸秆还田翻压(TIS), 以传统耕作(CT)为对照。秸秆还田后少耕间作的土地当量比高于传统耕作间作, 且大于1, 说明少耕小麦秸秆还田有利于提高间作优势; 少耕秸秆还田降低了共生期小麦相对于玉米的竞争力, 以NTS处理对小麦竞争力的影响最大, NTSS、NTS和TIS的小麦全生育期相对竞争力分别降低37%~54%、109%~141%和22%~24%。与单作玉米相比, NTSS、NTS、TIS和CT处理间作玉米的相对生长率分别高54%~59%、66%~71%、61%~63%和71%~78%, 其中小麦秸秆还田间作处理中NTS更有利于发挥玉米的恢复效应。间作条件下, 3种秸秆还田处理的产量较对照高6%~10% (2011年度)和4%~12% (2012年度), 其中NTS增产显著。总体来看, 间作群体籽粒产量与小麦相对于玉米全生育期的平均竞争力呈二次相关关系, 当该竞争力在0.24~0.27时利于获得间作高产。本研究表明, 秸秆还田配合少耕是调控种间竞争力的可行途径, 其中小麦等量秸秆(小麦留茬25 cm)还田覆盖是优化小麦玉米竞争力的理想耕作措施。

关键词: 间作; 秸秆还田; 竞争力; 相对拥挤指数; 产量
Effect of Straw Returning and Reduced Tillage on Interspecific Competition and Complementation in Wheat/Maize Intercropping System
YIN Wen**, ZHAO Cai**, YU Ai-Zhong, CHAI Qiang*, HU Fa-Long, FENG Fu-Xue
Gansu Provincial Key Laboratory of Arid Land Crop Science / Faculty of Agronomy, Gansu Agricultural University, Lanzhou 730070, China
Abstract

Conservation tillage has the advantages of enhancing water use efficiency and reducing water/energy consumption simultaneously in common cropping systems. However, this technique has not been well studied and practiced in intercropping system. A field experiment was conducted in 2011 to 2012 growing seasons, in order to investigating the effects of different straw returning ways on crop yields, and interspecific competitiveness and complementation in wheat/maize intercropping systems. Three wheat straw returning treatments were designed, which were no-tillage with 25 cm straw standing (NTSS), no-tillage with 25 cm straw covering (NTS), and tillage with 25 cm straw incorporation (TIS). Conventional tillage (CT) was used as the control. In the intercropping system, the land use efficiency (LER) of reduced tillage treatments under straw returning condition increased compared with that of CT, showing the intercropping superiority (LER>1). Simultaneously, the competitiveness of wheat with maize in the whole wheat growing duration decreased in treatments NTSS, NTS and TIS by 37-54%, 108-141%, and 22-24%, respectively. Compared with monocropping maize, intercropping maize had higher rates of relative growth with the increased percentages of 54-59% in NTSS, 66-71% in NTS, 61-63% in TIS and 71-78% in CT. Clearly, NTS showed the most effect on maize growth after wheat harvest. In the intercropping system, the total yields of both crops were 6-10% (2011) and 4-12% (2012) higher in the straw returning treatments than in CT. NTS exhibited the most significant effect on enhancing yield. A quadratic relationship was observed between the total yield of intercropping system and the competitiveness of wheat versus maize, and high yields of both crops were obtained when the competitiveness ranged from 0.24 to 0.27. Our results showed that straw returning in combination with reduced tillage is feasible to regulate the interspecific competitiveness in wheat/maize intercropping system, and NTS treatment is recommended.

Keyword: Intercropping; Straw returning; Competitiveness; Relative crowding coefficient; Yield

间作为资源需求特性不同的作物提供了从时间和空间利用生态位分异的基础[1], 促成了种间互补对相关资源的高效利用[2], 或者一种作物对另外一种作物直接提供资源形成了种间互补[3], 并且在短生育期作物收获后, 可形成时间和空间上的补偿效应, 使作物在间作共生期内由竞争造成的早期生长抑制得以恢复[4, 5]。传统观念认为, 竞争不利于间作群体产量的形成, 而互补是间作优势的重要基础, 间作组分作物可以互补利用相关资源, 生态位分离对间作资源利用的促进作用大于种间竞争[6]。在两种或两种以上作物组成的复合间作体系中, 作物间竞争与互补是影响产量的重要原因, 也是多熟种植体系的重要研究内容。然而, 目前生产实践中仍缺乏通过配对作物种间竞争力的调控而提高间作群体生产力的理论依据。

保护性耕作是一项有助于保护农田水土、增加农田有机质含量的农业栽培技术, 它具有减少能源消耗、减少土壤污染、抑制土壤盐渍化、恢复受损农田生态系统等作用[7]。目前, 水资源不足对种植业生产制约作用日趋加剧, 间作节水已成为多熟种植领域亟待解决的难题之一。研究表明, 秸秆还田可以有效抑制蒸发、减少径流、保持水土、改善土壤结构、调节地温、增加产量和提高水分利用效率[8, 9], 同时可以增加土壤碳固存, 减少农田碳排放, 增加作物氮素利用, 降低土壤硝态氮损失, 保证作物产量[10, 11]。Monneveux等[9]认为, 在秸秆还田基础上实施少耕可以改变土壤生态条件, 必然会引起不同作物生长发育的差异。另外, 由两种作物组成的复合群体, 其适应特性随所在环境的变化而变化, 必然会产生种间竞争与互补效应[12, 13]。虽然理论上将秸秆还田技术应用于间作体系可以降低土壤无效耗水, 提高产量和水分利用效率, 对限量供水条件下的高产、节水多熟种植模式充分利用光、热等自然资源, 缓解水资源供需矛盾具有重要意义, 但是, 对这种生产技术的整合模式还未开展深入的试验研究, 缺乏理论依据和数据支撑。本研究在典型干旱绿洲灌区, 以小麦间作玉米为研究体系, 将秸秆还田和少耕集成到间作模式中, 并且量化两种措施对间作作物竞争力的影响, 揭示竞争力与复合群体生产力间的相关关系, 旨在为通过间作作物竞争力的调控而提高复合群体增产效应提供理论依据。

1 材料与方法
1.1 试验区概况

甘肃农业大学绿洲农业科研教学基地(37° 30′ N, 103° 5′ E)试验区位于河西走廊东端, 属寒温带干旱气候区, 海拔1506 m, 无霜期约155 d, 多年平均降雨量约156 mm、年蒸发量约2400 mm, 年平均气温7.2℃, ≥ 0℃和≥ 10℃的积温分别为3513.4℃和2985.4℃; 日照时数2945 h。试验地土壤为沙壤土, 0~30 cm耕层土壤容重1.57 g cm-3, 含有机质14.31 g kg-1、全氮为0.68 g kg-1、全磷1.41 g kg-1、铵态氮1.78 mg kg-1、硝态氮12.51 mg kg-1。2011年度小麦和玉米全生育期的降水量分别为65.8 mm和179.1 mm, 2012年度的全生育期降水量分别为40.5 mm和128.5 mm。该区域传统耕作方式为深耕翻埋, 无效耗水高。

1.2 试验设计

供试小麦(Triticum aestivum L.)品种为永良4号, 玉米(Zea maysL.)品种为武科2号。2009年布置预备试验, 设3种小麦秸秆还田处理; 自2010年开始为正式试验, 设小麦单作、玉米单作、小麦间作玉米3种种植方式, 本文采用2011年与2012年度的数据。每种种植方式中均设3种小麦秸秆还田处理和传统耕作处理, 即25 cm高茬收割立茬免耕、25 cm高茬等量秸秆覆盖免耕、25 cm高茬等量秸秆翻压、小麦低茬收割翻耕, 秸秆还田量为单作4200 kg hm-2, 间作2100 kg hm-2, 以传统耕作的玉米-小麦轮作(单作)为对照。各处理3次重复, 小区随机排列。3种小麦秸秆还田方式均在小麦收获时进行设计, 单作小麦进行以上处理后轮作玉米, 单作玉米轮作小麦; 小麦/玉米间作为带间轮作, 在玉米出苗后, 二至三叶期间苗, 四至五叶期定苗。其他管理措施同高产田。

小麦季播种日期分别为2011年3月28日与2012年3月19日, 收获日期分别为2011年7月22日与2012年7月18日; 玉米季播种日期分别为2011年4月17日与2012年4月20日, 收获日期分别为2011年9月28日与2012年10月2日。单作播种密度, 小麦为675.00万株 hm-2, 玉米为8.25万株 hm-2, 玉米覆膜, 小区面积48 m2。间作的作物带宽均为80 cm, 小麦种6行, 行距12 cm, 播种密度为375.00万株 hm-2; 玉米种2行, 行距40 cm, 株距24 cm, 覆膜, 播种密度5.25万株 hm-2, 每个小区种3个自然带, 小区面积48 m2

按当地农民习惯施肥。单作小麦, 施纯氮225 kg hm-2和P2O5 150 kg hm-2, 全作基肥; 单作玉米, 纯氮360 kg hm-2, 按播前︰大喇叭口期︰灌浆期3︰6︰1比例分施, P2O5225 kg hm-2全作基肥; 小麦间作玉米, 小麦带纯氮225 kg hm-2, P2O5150 kg hm-2, 全作基肥; 玉米带纯氮450 kg hm-2, 基追分配比例同单作玉米, P2O5270 kg hm-2, 全作基肥。不同种植模式灌溉制度如表1。其他管理措施同高产田。

表1 不同种植模式的灌溉时期和灌溉量 Table 1 Irrigation stages and amounts of different cropping patterns (mm)
1.3 测定指标和计算方法

1.3.1 地上干物重 自玉米出苗后, 每20 d测定一次小麦、玉米地上部干物质重。小麦单作处理, 随机选相邻的3行, 取10 cm长, 混合作为一个样品; 玉米单作处理, 随机取10株, 混合作为一个样品。于105℃下杀青, 80℃恒温烘干, 称重。

1.3.2 产量及其构成因素 成熟后按小区收获、计产(除去取样植株所占面积), 并随机选取小麦20株、玉米10株考种, 并测定小麦、玉米单位面积穗数、穗粒数、千粒重。

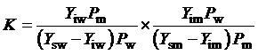
1.3.3 间作优劣势 以土地当量比(LER)表示间作的优劣势, LER> 1表示间作优势, LER< 1表示间作劣势[14]。2种作物对资源的竞争优势以竞争力表示, 如小麦相对于玉米的竞争力(Awm)为正值, 表示小麦竞争力强于玉米, 为负值则弱于玉米[14]。相对拥挤指数(relative crowding coefficient, K)是基于产量的间作竞争关系, K > 1表示间作优势, K = 1表示无产量优势, K < 1表示间作劣势[13]

式中, YiYs分别为间作和单作的作物产量; w和m分别代表小麦和玉米; PwPm分别为间作系统中小麦和玉米所占比例, 本文中Pw=Pm=0.5。

1.3.4 恢复效应 恢复效应指早熟作物收获后晚熟作物的生长发育恢复程度, 用相对生长率(RGR kg kg-1d-1)表示。RGR = (ln w2 - ln w1) / (t2 - t1)。式中, w2w1分别表示小麦收获后, 玉米在不同测定时期积累的生物量(kg hm-2), t2t1分别表示2个测定时期(d)。

1.4 数据统计

采用Microsoft Excel整理、汇总数据, 用SPSS17.0进行方差分析、显著性检验(LSD法)及相关性分析。

2 结果与分析
2.1 少耕秸秆还田对间作系统作物种间互补效应的影响

2.1.1 不同间作处理的土地当量比 两年少耕秸秆还田和传统耕作间作处理的LER均大于1, 表明间作模式均具有提高土地利用率的作用, 3种少耕秸秆还田间作处理的LER值均高于传统耕作间作处理, 分别达到5.0%~5.8% (2011年度)与2.2%~3.0% (2012年度) (表2)。

表2 小麦/玉米间作体系不同耕作处理的土地当量比 Table 2 Land equivalent ratio of different tillage patterns in the wheat/maize intercropping system

2.1.2 小麦收获后间作玉米的恢复效应 不同耕作模式下, 小麦收获后的间作玉米群体RGR均高于单作玉米(表3)。传统耕作条件下, 2011和2012年度间作玉米的RGR分别比单作玉米高78%和71%; 而3种少耕+秸秆还田模式的间作玉米RGR分别比单作玉米高59%~66% (2011年度)和54%~71% (2012年度), 说明小麦收获后间作玉米干物质积累量明显增加, 表现出较强的恢复生长能力。

表3 小麦收获后玉米的恢复效应 Table 3 Recovering effect of maize after wheat harvest in the wheat/maize intercropping under different tillage patterns
2.2 小麦间作玉米共生期内的互作

2.2.1 小麦相对于玉米的竞争力动态 小麦、玉米共生初期竞争力极小, 随生育进程的推进小麦相对玉米的竞争力明显增大, 至小麦孕穗-开花期, 竞争优势达最大值, 此后急剧下降, 呈单峰型变化趋势(图1)。间作条件下, 秸秆还田3个处理中小麦相对于玉米全生育期平均竞争力, 2011年度较传统耕作分别降低37% (NTSS)、141% (NTS)和24% (TIS), 2012年度分别降低54%、108%和22%。小麦、玉米共生期内, 不同秸秆还田方式对间作作物的竞争力存在显著影响, 与传统耕作相比, 25 cm高茬等量秸秆覆盖免耕模式(NTS)下, 在小麦拔节、孕穗、开花、灌浆和成熟期, 小麦相对于玉米的竞争力分别降低了60%~ 77%、36%~43%、31%~37%、57%~76%及141%~150%。

图1 不同耕作方式下小麦相对于玉米竞争力的动态 NTSS: 高茬收割立茬免耕; NTS: 高茬等量秸秆覆盖免耕; TIS: 高茬等量秸秆还田翻压; CT: 传统耕作。Fig. 1 Dynamics of competitiveness of wheat to maize in the intercropping system under different tillage patterns NTSS: no-till with straw standing; NTS: no-till with straw covering; TIS: tillage with straw incorporation, CT: conventional tillage.

2.2.2 小麦间作玉米相对拥挤指数动态 小麦、玉米共生期内, 间作群体的相对拥挤指数(K)随着生育进程而不断提高(图2)。间作条件下, 秸秆还田3个处理中间作群体全生育期平均相对拥挤指数, 2011年度较传统耕作分别提高117% (NTSS)、42% (NTS)和37% (TIS), 2012年度分别提高153%、104%和40%。小麦、玉米共生期内, 不同秸秆还田方式对间作群体的相对拥挤指数存在显著影响, 与CT相比, 小麦拔节期NTSS与TIS显著降低了K值, 分别为28%、38%; 开花期NTS显著提高了K值, 达到47%; 灌浆期NTSS显著提高了K值, 达到177%; 成熟期少耕秸秆还田显著提高了K值, 达到71%~ 207%。2012年度, 与CT相比, 少耕秸秆还田处理的K值在小麦拔节期降低10%~37%, 孕穗期NTSS的K值升高达31%; 开花期、灌浆期与成熟期, 3种少耕秸秆还田处理分别提高K值29%~76%、59%~ 208%和66%~268%。间作群体的K值均大于1, 且随着生育时期的推进, 少耕秸秆还田处理的K值均大于传统耕作间作, 说明在该配对作物和耕作方式下的间作模式均具有产量优势。

图2 不同耕作方式下小麦间作玉米群体相对拥挤指数的动态 处理缩写同图1Fig. 2 Dynamics of relative crowding coefficient in wheat/maize intercropping system under different tillage patterns
Treatments are abbreviated as in Figure 1.

2.3 小麦间作玉米的产量表现及其与种间竞争力的关系

2.3.1 不同处理的籽粒产量 间作条件下, 秸秆还田处理的产量均高于传统耕作处理, 增产率为6%~10% (2011年度)和4%~12% (2012年度)。单作时, 秸秆还田处理的产量也高于传统耕作, 增产率为2%~7% (2011年度)和4%~14% (2012年度), 无论间作还是单作, 均以NTS处理的产量最高(表4)。

与传统耕作相比, NTS处理的间作小麦产量提高11%~12%, 玉米产量提高11%~15%。与单作相比, 间作小麦产量达到单作的76%~81% (2011年度)和73%~81% (2012年度), 间作玉米产量达到单作的77%~86% (2011年度)和81%~86% (2012年度)。因间作小麦、玉米占地均为50%, 当间作产量超过单作产量一半时即表示有增产效应。可见, 间作利于提高小麦、玉米产量, 且间作玉米的增产效应更明显。

2.3.2 不同处理作物的产量构成因素 秸秆还田对小麦穗数、穗粒数的影响较大, 但对千粒重影响不显著(表4)。与传统耕作相比, 单作条件下秸秆还田使小麦每平方米穗数提高2.4%~9.6%, 而间作条件下提高率为2.9%~14.5% (2011年度)和2.8%~ 10.2% (2012年度)。秸秆还田对小麦穗粒数的影响年度间有差异, 2011年度呈现显著增加, 其中单作条件下增加率为5.0%~13.0%, 间作条件下增加率达8.4%~18.2%; 而2012年度增幅较小, 未达显著水平。可见秸秆还田对小麦具有增产作用, 主要来自增加单位面积穗数和穗粒重, 增产效果在间作条件下更明显; 在3种秸秆还田处理中, 单作条件下以NTS产量和产量构成因素最高, 而间作条件下以NTSS处理最优, 但与NTS差异不显著(表4)。

表4 不同处理小麦、玉米产量及产量构成 Table 4 The component factors on grain yield of wheat and maize under different treatments

秸秆还田显著影响玉米穗数、穗粒数和千粒重(表4)。单作条件下, 秸秆还田处理较传统耕作分别提高玉米穗数4.2%~18.2%、穗粒数9.0%~ 25.4%和千粒重3.5%~8.7%; 间作条件下, 玉米穗数增加3.2%~ 9.3% (2011年度)和1.7%~10.2% (2012年度), 穗粒数增加11.5%~19.9% (2011年度)与11.9%~18.6% (2012年度), 千粒重增加1.6%~6.4% (2011年度)和2.0%~ 8.9% (2012年度)。总体来看, NTS处理的穗数、穗粒数和千粒重均最高, 显著高于其他处理, 是玉米获得高产的基础。虽然间作玉米的产量三要素低于单作玉米, 但间作密度高于单作, 密植效应最终导致增产。

2.3.3 竞争力与复合群体籽粒产量间的相关性

2011与2012年度, 小麦对玉米全生育期内的平均竞争力与间作混合籽粒产量均呈二次相关关系, 具有显著相关性(图3)。当平均竞争力在0~0.24、0~0.27范围内时, 随小麦对玉米竞争力的增大, 间作混合籽粒产量呈持续增大趋势; 当平均竞争力超过0.24、0.27时, 间作混合籽粒产量随之下降, 说明间作群体中保持适宜大小的竞争力有利于混合产量的提高。因此, 在小麦/玉米间作群体的管理中保持适宜大小的竞争力是获取较高产量的可行途径之一。

图3 小麦对玉米全生育期的平均竞争力与籽粒产量间的相关性Fig. 3 Relationship between competitiveness of wheat to maize during whole growth period and grain yield in intercropping systems

5个测定时期小麦对玉米的竞争力与间作混合籽粒产量的相关性表明, 小麦间作玉米在小麦孕穗期、开花期、灌浆期的种间竞争力与成熟期的种间竞争力呈显著正相关性, 但小麦的竞争力与间作群体混合籽粒产量呈负相关关系, 尤其是小麦开花期的竞争力与间作产量存在显著负相关性(表5)。说明适度控制两种作物共生期小麦的竞争力可提高间作产量, 且小麦开花期可作为通过间作作物种间竞争力调控而获取高产的关键管理时期。

表5 小麦玉米共生期不同生育时期竞争力与籽粒产量的相关系数 Table 5 Correlation coefficients between seasonal competitiveness and grain yield in wheat/maize intercropping system
3 讨论
3.1 少耕秸秆还田下种间作用与间作优势的关系

间作作物因共同利用空间和各种资源而发生竞争, 但也由于间作作物对群体微环境的改善, 使资源的可利用性增加而产生互利。竞争和互利关系同时存在, 两者的相对大小及其重要性随作物的生长发育进程改变。在作物的整个生育期内, 当总的竞争关系大于互利关系时, 群体对资源的利用能力下降, 反之, 群体对资源的利用增加, 具有间作优势。小麦间作玉米复合群体在小麦、玉米共生期内, 玉米对资源的竞争处于劣势, 生长速率较低, 小麦收获后, 间作玉米的相对生长率高于单作玉米, 有利于发挥玉米的恢复效应, 这是因为种间竞争结束后玉米由于在地上部扩大了光、热、气资源的吸收空间, 而地下部扩大了水和养分的吸收范围, 得到了明显的恢复生长, 后期生长表现出显著的增产作用[15, 16, 17]。说明间作玉米获得高产, 起主要作用的时段在小麦收获之后。因此, 在小麦间作玉米群体管理中, 如果在生长前期能适度控制玉米生长, 在两作物竞争的关键时期能对矮位作物小麦给予一定水分、养分的补充, 并在小麦收获后最大限度发挥玉米的后补偿作用, 复合群体的资源利用率将会显著提高。本研究表明, 2011与2012年度, 少耕秸秆还田处理较传统耕作显著降低小麦对玉米的竞争力, 分别达到37%~54% (NTSS)、109%~141% (NTS)、22%~24% (TIS); 而且随着生育时期的推进, 少耕秸秆还田处理间作群体的相对拥挤指数大于传统耕作间作, 说明在该配对作物在少耕秸秆还田方式较传统耕作可有效降低群体竞争, 更有利于间作优势的发挥。

3.2 间作产量对少耕秸秆还田方式的响应

间作研究中, 间作小麦、玉米占地比均为50%, 当其产量超过单作一半时说明具有增产效应。本试验两年研究表明, 4种间作处理的小麦产量达到单作的73%以上, 间作玉米产量达到单作的77%以上, 说明间作有利于提高小麦、玉米产量, 且间作玉米的增产作用大。种植模式内相比, 两年中少耕秸秆还田间作处理产量均高于传统耕作处理, 而在少耕秸秆还田处理中以25 cm高茬等量秸秆覆盖免耕处理的产量最高。樊志龙等[18]研究表明, 相同供水条件下, 少耕高留茬处理混合产量较未留茬处理高6%~12%, 增产作用显著; 这一结论也为许多学者在单作研究中予以证实[19, 20, 21]。本研究结果亦与此相符合, 同时, 我们发现少耕秸秆还田间作的LER大于传统耕作间作处理, 且大于1, 表明少耕秸秆还田在本试验配置的品种、田间结构和灌溉制度下, 具有提高土地利用率的作用。

对于禾谷类作物而言, 产量构成因素之间的协调发展是实现高产的基础。小麦间作玉米中, 起主要增产作用的是玉米, 玉米采用地膜覆盖增产的主要原因是玉米穗粒数的增加, 地膜覆盖的增产效应主要表现在拔节至抽雄及雌穗分化发育阶段[22]。此外, 地膜覆盖后由于明显增加了玉米的光合面积和光合势, 从而使同化能力明显加速[23]。本研究发现, 秸秆还田及地膜覆盖处理玉米的穗数、穗粒数、粒重均高于传统的地膜覆盖处理, 在相同模式下, 穗数、穗粒数、粒重的提高是增产的主要原因, 所以玉米带的秸秆地膜双覆盖是提高玉米产量的主要耕作措施。

3.3 种间竞争力与复合群体籽粒产量间的相关关系

两年研究表明, 小麦间作玉米复合群体的籽粒产量与小麦相对于玉米的平均竞争力呈二次曲线相关, 且在一定竞争力范围内(2011年度为0~0.24, 2012年度为0~0.27)随小麦竞争优势的加大, 间作群体的籽粒产量呈提高趋势。在资源供给限制型生长条件下, 对资源需求具有一定相似性且播种时间差异不大的小麦、玉米在间作群体中的竞争力差异一般较小, 而小麦收获后玉米在空间和水肥资源方面获得补偿的机会相对较大, 也为通过增大小麦的相对竞争力而提高复合群体的生产力提供了保障, 因此在小麦玉米间作群体的管理中通过适当增大小麦的相对竞争力是获取较高产量的可行途径之一, 小麦开花期可作为通过间作配对作物竞争力调控而提高复合群体产量的关键生育时期, 这与前人的研究结果[24]相一致。

本研究中, 少耕秸秆还田与地膜覆盖及带间轮作是提高间作群体产量、适当降低小麦竞争优势的重要突破点。发展节水农业, 在间作模式中应用小麦高茬收割并压倒覆盖可提高间作群体的生产力, 因此进一步详细量化不同秸秆还田方式下组分作物在空间与时间生态位上的竞争与互补应作为间作复合群体研究的重要方向之一。

4 结论

将秸秆还田与少耕技术应用于小麦间作玉米模式中, 显著降低了小麦相对玉米的竞争力, 提高间作群体的相对拥挤指数。秸秆还田后少耕间作处理与传统耕作相比, 小麦全生育期的相对竞争力平均分别降低37%~54% (NTSS)、109%~141% (NTS)、22%~24% (TIS); 小麦收获后, 间作玉米的恢复生长明显, 且NTS处理更有利于发挥玉米的恢复效应。3种秸秆还田间作处理的产量较传统间作分别提高6%~10% (2011年度)与4%~12% (2012年度), 其中NTS增产显著。间作群体的籽粒产量与小麦相对于玉米全生育期内的平均竞争力呈二次曲线相关关系, 当该竞争力在0.24~0.27时利于获得间作高产, 小麦开花期是调控种间竞争力而提高间作产量的关键生育时期。因此, 秸秆还田与少耕集成到间作中是本试区农业可持续发展的可行模式, 其中25 cm高茬等量秸秆还田覆盖免耕可作为干旱绿洲灌区优化小麦玉米竞争力的理想耕作措施。

The authors have declared that no competing interests exist.

作者已声明无竞争性利益关系。

参考文献
[1] Firbank L G, Watkinson A R. On the effects of plant competition: from monocultures to mixtures. In: Grace J B, Tilman D. Perspectives on Plant Competition. San Diego, CA: Academic Press, 1990. pp 165-192 [本文引用:1]
[2] Takim F O. Advantages of maize-cowpea intercropping over sole cropping through competition indices. J Agric Biodiversity Res, 2012, 1: 53-59 [本文引用:1]
[3] Vand ermeer J H. The Ecology of Intercropping. New York: Cambridge University Press, 1989 [本文引用:1]
[4] Li L, Sun J H, Zhang F S, Li X L, Yang S C, Rengel Z. Wheat/maize or wheat/soybean strip intercropping: I. Yield advantage and interspecific interactions on nutrients. Field Crops Res, 2001, 71: 123-137 [本文引用:1] [JCR: 2.474]
[5] Tsay J S, Fukai S, Wilson G L. Effects of relative sowing time of soybean on growth and yield of cassava in cassava /soybean intercropping. Field Crops Res, 1988, 19: 227-239 [本文引用:1] [JCR: 2.474]
[6] Woldeamlaki A, Bastiaans L, Struik P C. Competition and niche differentiation in barley (Hordeum vulgare) and wheat (Triticum aestivum) mixtures under rainfed conditions in the Central Highland s of Eritrea. Netherland s J Agric Sci, 2001, 49: 95-112 [本文引用:1]
[7] 张海林, 高旺盛, 陈阜, 朱文珊. 保护性耕作研究现状、发展趋势及对策. 中国农业大学学报, 2005, 10(1): 16-20
Zhang H L, Gao W S, Chen F, Zhu W S. Prospects and present situation of conservation tillage. J China Agric Univ, 2005, 10(1): 16-20 (in Chinese with English abstract) [本文引用:1] [CJCR: 0.686]
[8] Sun H Y, Shao L W, Liu X W, Miao W F, Chen S Y, Zhang X Y. Determination of water consumption and the water-saving potential of three mulching methods in a jujube orchard. Eur J Agron, 2012, 43: 87-95 [本文引用:1] [JCR: 2.8]
[9] Monneveux P, Quillerou E, Sanchez1 C, Lopez-Cesati J. Effect of zero tillage and residues conservation on continuous maize cropping in a subtropical environment. Plant Soil, 2006, 279: 95-105 [本文引用:2] [JCR: 2.638]
[10] Al-Kaisi M M, Yin X. Tillage and crop residue effects on soil carbon and carbon dioxide emission in corn-soybean rotation. J Environ Qual, 2005, 34: 437-445 [本文引用:1] [JCR: 2.353]
[11] Mariela F, Claudia H, Jorge E, Fernand o D L, Armand o G, Luc D, Nele V, Bram G. Conservation agriculture, increased organic carbon in the top-soil macro-aggregates and reduced soil CO2 emissions. Plant Soil, 2012, 355: 183-193 [本文引用:1] [JCR: 2.638]
[12] Cahill J F. Fertilization effects on interaction between above- and below-ground competition in an old field. Ecology, 1999, 80: 466-480 [本文引用:1] [JCR: 5.175]
[13] Dhima K V, Lithourgidis A S, Vasilakoglou I B, Dordas C A. Competition indices of common vetch and cereal intercrops in two seeding ratio. Field Crops Res, 2007, 100: 249-256 [本文引用:2] [JCR: 2.474]
[14] Willey R W. Intercropping its importance and research needs: I. Competition and yield advantage. Field Crops Abstr, 1979, 32: 1-10 [本文引用:2]
[15] Li L, Sun J H, Zhang F S, Li X L, Rengel Z, Yang S C. Wheat/maize or wheat/soybean strip intercropping: II. Recovery or compensation of maize and soybean after wheat harvesting. Field Crops Res, 2001, 71: 173-181 [本文引用:1] [JCR: 2.474]
[16] Zhang F S, Li L. Using competitive and facilitative interactions in intercropping systems enhances crop productivity and nutrient-use efficiency. Plant Soil, 2003, 248: 305-312 [本文引用:1] [JCR: 2.638]
[17] Midmore M D, Roca J, Berrios I D. Potato (Solanum spp. ) in the hot tropics: IV. Intercropping with maize and the influence of shade on potato microenvironment and crop growth. Field Crops Res, 1988, 18: 145-157 [本文引用:1] [JCR: 2.474]
[18] 樊志龙, 陶志强, 柴强, 于爱忠, 黄鹏. 少耕秸秆覆盖对小麦间作玉米产量和水分利用的影响. 灌溉排水学报, 2012, 31(1): 109-112
Fan Z L, Tao Z Q, Chai Q, Yu A Z, Huang P. Yield and water use efficiency of wheat corn intercropping with reduced tillage and wheat straw mulching. J Irrig Drainage, 2012, 31(1): 109-112 (in Chinese with English abstract) [本文引用:1] [JCR: 1.126]
[19] Gao Z Q, Yin J. Effects of tillage and mulch methods on soil moisture in wheat fields of Loess Plateau, China. Pedosphere, 1999, 9: 161-168 [本文引用:1] [JCR: 1.232] [CJCR: 0.8103]
[20] Domzal H, Slowinska-Jurkiewica A. Effects of tillage and weather conditions on structure and physical properties of soil and yield of winter wheat. Soil Till Res, 1987, 10: 225-241 [本文引用:1] [JCR: 2.367]
[21] 冯福学, 黄高宝, 于爱忠, 柴强, 陶明, 李杰. 不同保护性耕作措施对武威绿洲灌区冬小麦水分利用的影响. 应用生态学报, 2009, 20: 1060-1065
Feng F X, Huang G B, Yu A Z, Chai Q, Tao M, Li J. Effects of different conservation tillage measures on winter wheat water use in Wuwei oasis irrigated area. Chin J Appl Ecol, 2009, 20: 1060-1065 (in Chinese with English abstract) [本文引用:1] [CJCR: 1.742]
[22] 卜玉山, 苗果园, 邵海林, 王建程. 对地膜和秸秆覆盖玉米生长发育与产量的分析. 作物学报, 2006, 32: 1090-1093
Bu Y S, Miao G Y, Shao H L, Wang J C. Analysis of growth and development and yield of corn mulched with plastic film and straw. Acta Agron Sin, 2006, 32: 1090-1093 (in Chinese with English abstract) [本文引用:1] [CJCR: 1.667]
[23] 王喜庆, 李生秀, 高亚军. 地膜覆盖对旱地春玉米生理生态和产量的影响. 作物学报, 1998, 24: 348-353
Wang X Q, Li S X, Gao Y J. Effect of plastic film mulching on ecophysiology and yield of the spring maize on the arid land . Acta Agron Sin, 1998, 24: 348-353 (in Chinese with English abstract) [本文引用:1] [CJCR: 1.667]
[24] 齐万海, 柴强. 不同隔根方式下间作小麦玉米的竞争力及产量响应. 中国生态农业学报, 2010, 18: 31-34
Qi W H, Chai Q. Yield response to wheat/maize competitiveness in wheat/maize intercropping system under different root partition patterns. Chin J Eco-Agric, 2010, 18: 31-34 (in Chinese with English abstract) [本文引用:1]