Please wait a minute...
欢迎访问作物学报,今天是
图/表 详细信息
苗期喷施外源物质对迟播油菜越冬期抗寒性及产量的调控效应
杨书婷, 何盛浩, 赵碧云, 贺嘉, 刘晶, 杨梦瑶, 陈爱武, 王晶, 赵杰, 蒯婕, 汪波, 徐正华, 周广生
作物学报    2025, 51 (10): 2788-2804.   DOI: 10.3724/SP.J.1006.2025.55002
摘要   (132 HTML11 PDF(pc) (1252KB)(63)  

稻-稻-油是长江流域主要种植模式之一, 但晚稻、再生稻与油菜茬口矛盾突出, 导致油菜播种期推迟。迟播条件下, 油菜常因冬前有效积温下降、叶片数少、干物质积累量不足、抗倒伏能力下降, 导致籽粒产量低而不稳。喷施外源物质是一种快速高效、省工节本的调控技术, 可以提高油菜的抗倒伏性及产量。本研究以华油杂137为试验材料, 于苗期分别喷施5种不同浓度的外源物质: 0.5、1.0、1.5 mg L-1的三十烷醇(A1、A2、A3), 10、20、40 mg L-1的赤霉素(B1、B2、B3), 10、20、30 mg L-1的复硝酚钠(C1、C2、C3), 10、20、30 mg L-1的6-苄基腺嘌呤(D1、D2、D3)及12.5、25、50 mg L-1的烯效唑(E1、E2、E3), 以清水处理(CK)作为对照, 研究苗期喷施外源物质对迟播油菜抗寒性及产量的影响。结果表明: (1) 综合2年的产量、农艺性状及抗寒相关指标等得出, 对迟播油菜抗寒性、抗倒伏能力及产量具有显著促进作用的外源物质及浓度为: 30 mg L-1的复硝酚钠、30 mg L-1的6-苄基腺嘌呤、40 mg L-1的赤霉素和1.0 mg L-1的三十烷醇。与对照相比, 30 mg L-1的复硝酚钠处理的2年产量均最高, 分别比CK增产14.4%、12.9%。30 mg L-1的复硝酚钠、30 mg L-1的6-苄基腺嘌呤和40 mg L-1的赤霉素处理均可显著提高迟播油菜苗期、蕾薹期、花期的单株叶面积, 增加各生育期的干物质积累量。(2) 1.0 mg L-1的三十烷醇和30 mg L-1的6-苄基腺嘌呤处理显著增加了茎秆抗折力, 降低了倒伏角度, 提高了迟播油菜的抗倒伏能力。(3) 1.0 mg L-1的三十烷醇、40 mg L-1的赤霉素、30 mg L-1的复硝酚钠处理可显著增加越冬期油菜叶片中可溶性糖含量, 提高抗氧化酶活性, 减少活性氧积累和丙二醛含量, 提高越冬期的抗寒性。本研究可为长江流域迟播油菜抗逆稳产提供技术支撑。



View image in article
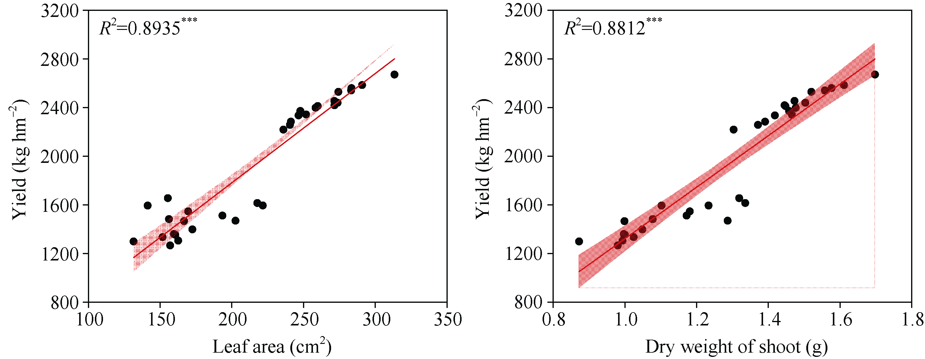
图4 产量与越冬期迟播油菜叶面积和地上部干重的相关性分析
***代表在0.001水平下相关性显著。
正文中引用本图/表的段落
对越冬期迟播油菜关键农艺性状与产量进行相关性分析(图4)发现, 产量与单株叶面积和地上部干重的相关性均达极显著水平(P < 0.001)。因此, 可以通过越冬期叶片的生理指标探究其抗寒性。
本文的其它图/表