Please wait a minute...
欢迎访问作物学报,今天是
图/表 详细信息
苗期喷施外源物质对迟播油菜越冬期抗寒性及产量的调控效应
杨书婷, 何盛浩, 赵碧云, 贺嘉, 刘晶, 杨梦瑶, 陈爱武, 王晶, 赵杰, 蒯婕, 汪波, 徐正华, 周广生
作物学报    2025, 51 (10): 2788-2804.   DOI: 10.3724/SP.J.1006.2025.55002
摘要   (132 HTML11 PDF(pc) (1252KB)(63)  

稻-稻-油是长江流域主要种植模式之一, 但晚稻、再生稻与油菜茬口矛盾突出, 导致油菜播种期推迟。迟播条件下, 油菜常因冬前有效积温下降、叶片数少、干物质积累量不足、抗倒伏能力下降, 导致籽粒产量低而不稳。喷施外源物质是一种快速高效、省工节本的调控技术, 可以提高油菜的抗倒伏性及产量。本研究以华油杂137为试验材料, 于苗期分别喷施5种不同浓度的外源物质: 0.5、1.0、1.5 mg L-1的三十烷醇(A1、A2、A3), 10、20、40 mg L-1的赤霉素(B1、B2、B3), 10、20、30 mg L-1的复硝酚钠(C1、C2、C3), 10、20、30 mg L-1的6-苄基腺嘌呤(D1、D2、D3)及12.5、25、50 mg L-1的烯效唑(E1、E2、E3), 以清水处理(CK)作为对照, 研究苗期喷施外源物质对迟播油菜抗寒性及产量的影响。结果表明: (1) 综合2年的产量、农艺性状及抗寒相关指标等得出, 对迟播油菜抗寒性、抗倒伏能力及产量具有显著促进作用的外源物质及浓度为: 30 mg L-1的复硝酚钠、30 mg L-1的6-苄基腺嘌呤、40 mg L-1的赤霉素和1.0 mg L-1的三十烷醇。与对照相比, 30 mg L-1的复硝酚钠处理的2年产量均最高, 分别比CK增产14.4%、12.9%。30 mg L-1的复硝酚钠、30 mg L-1的6-苄基腺嘌呤和40 mg L-1的赤霉素处理均可显著提高迟播油菜苗期、蕾薹期、花期的单株叶面积, 增加各生育期的干物质积累量。(2) 1.0 mg L-1的三十烷醇和30 mg L-1的6-苄基腺嘌呤处理显著增加了茎秆抗折力, 降低了倒伏角度, 提高了迟播油菜的抗倒伏能力。(3) 1.0 mg L-1的三十烷醇、40 mg L-1的赤霉素、30 mg L-1的复硝酚钠处理可显著增加越冬期油菜叶片中可溶性糖含量, 提高抗氧化酶活性, 减少活性氧积累和丙二醛含量, 提高越冬期的抗寒性。本研究可为长江流域迟播油菜抗逆稳产提供技术支撑。



View image in article
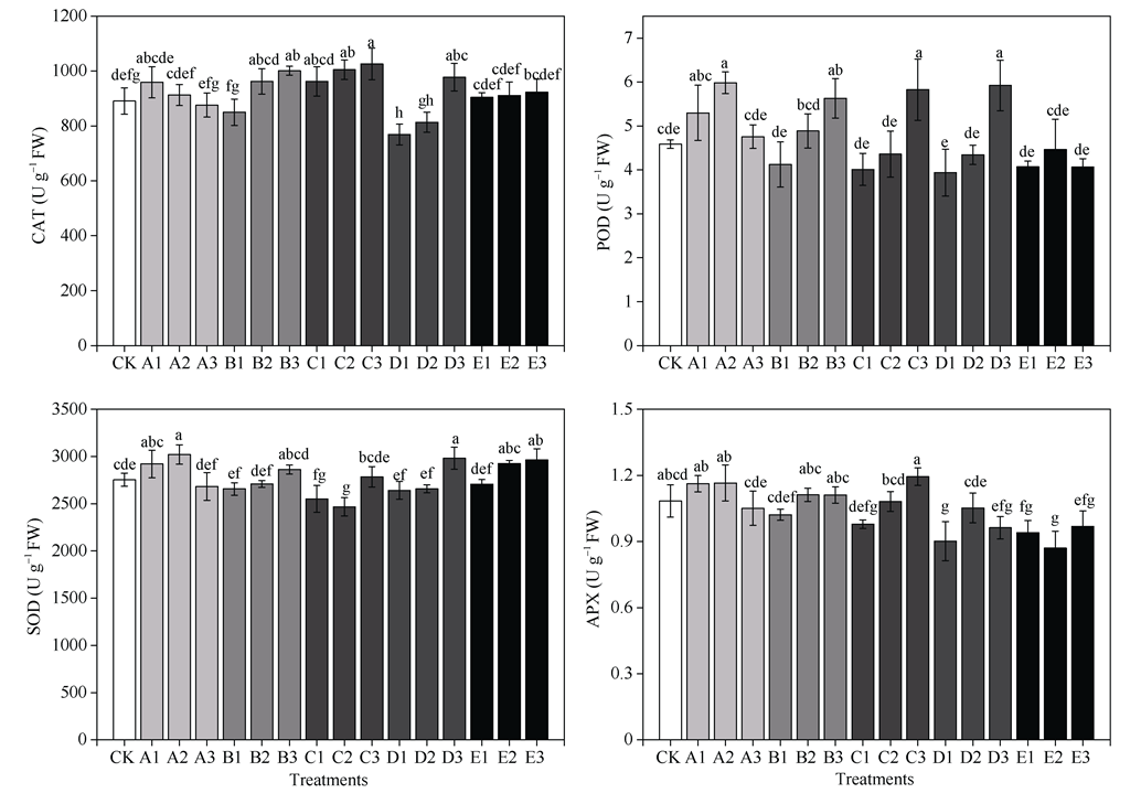
图6 苗期喷施外源物质对越冬期油菜叶片抗氧化酶活性的影响
处理同表1。不同小写字母表示处理在0.05水平下差异显著。
正文中引用本图/表的段落
不同外源物质处理对迟播油菜越冬期叶片中抗氧化酶活性的影响存在显著差异(图6)。与对照相比, A1、A2、B3、C3处理可增加油菜叶片中CAT、POD、SOD和APX四种抗氧化酶的活性。C3处理叶片中APX和CAT的活性均最高, 分别较CK提高10.1%和15.2%; A2处理POD和SOD的活性均最高, 分别较CK提高30.5%和9.7%, 其次为D3, 分别比CK提高29.1%和8.3%。
本文的其它图/表