Welcome to Acta Agronomica Sinica,

Acta Agronomica Sinica ›› 2025, Vol. 51 ›› Issue (11): 3013-3025.doi: 10.3724/SP.J.1006.2025.53030

• TILLAGE & CULTIVATION·PHYSIOLOGY & BIOCHEMISTRY • Previous Articles     Next Articles

Effects of reduced tillage and combined application of organic fertilizer on soil physical and chemical properties and crop yield of silage maize and lablab mixed cropping system in Hexi oasis irrigation area

LI H ai-Long(), CHAI Qiang, FAN Zhi-Long, YIN Wen, FAN Hong, HE Wei, SUN Ya-Li, ZHANG Ming-Long, HU Fa-Long()   

  1. Gansu Provincial Key Laboratory of Arid Land Crop Science / College of Agronomy, Gansu Agricultural University, Lanzhou 730070, Gansu, China
  • Received:2025-05-27 Accepted:2025-08-13 Online:2025-11-12 Published:2025-08-18
  • Contact: *E-mail: hufl@gsau.edu.cn
  • Supported by:
    National Key Research and Development Program(2022YFD1900200);National Natural Science Foundation of China(U21A20218);Gansu Province’s ‘Double First-Class’ Scientific Research Key Project(GSSYLXM-02);Gansu Agricultural University Fuxi Youth Talent Cultivation Project(Gaufx-05Y09)

Abstract:

To address the challenges of excessive chemical fertilizer input, degradation of soil physicochemical properties, and low silage maize yield in the Hexi Oasis irrigation area, this study investigated the effects of different tillage methods and various ratios of organic to inorganic fertilizers on soil quality and yield in a silage maize-lablab bean mixture system. The aim was to provide a scientific basis and theoretical support for soil health management and the sustainable development of agriculture and animal husbandry in this region. The experiment was conducted at the Wuwei Oasis Agricultural Comprehensive Experimental Station from 2023 to 2024 using a split-plot design. Two tillage methods were applied in the main plots: conventional tillage (autumn deep plowing followed by spring harrow mulching, CT) and reduced tillage (autumn no-tillage combined with spring rotary tillage, RT). Four fertilization treatments were assigned to the subplots: 100% chemical fertilizer (F1), 75% chemical + 25% organic fertilizer (F2), 50% chemical + 50% organic fertilizer (F3), and 25% chemical + 75% organic fertilizer (F4). The results showed that, compared with CTF2, RTF2 reduced soil bulk density by 0.2% and pH by 0.5%, while increasing soil organic matter, total nitrogen, total phosphorus, total potassium, nitrate nitrogen, ammonium nitrogen, available phosphorus, and available potassium content by 4.1%, 4.6%, 4.6%, 5.3%, 7.8%, 7.0%, 4.2%, and 3.1%, respectively. Compared to RTF1, RTF2 reduced soil bulk density by 0.4% and pH by 0.6%, while enhancing the aforementioned soil nutrients content by 4.3%, 2.7%, 2.1%, 4.1%, 6.9%, 7.0%, 5.0%, and 8.3%, respectively. Additionally, forage yield and energy yield under RTF2 were 6.4% and 6.7% higher than those under CTF2, and 9.6% and 10.2% higher than those under RTF1, respectively. Mantel test analysis indicated that all soil physicochemical properties—except pH and bulk density—were significantly positively correlated with forage and energy yields. Furthermore, the random forest model identified soil pH, organic matter, total potassium, nitrate nitrogen, ammonium nitrogen, and available phosphorus as the main predictors of forage yield. Structural equation modeling (SEM) revealed that tillage and fertilization systems indirectly influenced available nutrient content by enhancing total soil nutrients, thereby increasing forage yield and, consequently, energy yield. In conclusion, reduced tillage combined with 75% chemical fertilizer and 25% organic fertilizer (RTF2) effectively improved soil quality and enhanced the productivity of the silage maize-lablab bean mixed cropping system. This integrated approach is recommended as a suitable tillage and fertilization strategy for sustainable intensification of silage maize production in oasis irrigation areas.

Key words: less tillage, organic fertilizer, silage corn, soil physical and chemical, yield

Fig. 1

Temporal variation of precipitation and mean air temperature in the study area from 2023 to 2024"

Fig. 2

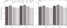
Soil bulk density under different tillage methods and fertilization systems Y: year; T: tillage method; F: fertilization system. CT: conventional tillage; RT: reduced tillage; F1: 100% chemical fertilizer; F2: 75% chemical + 25% organic fertilizer; F3: 50% chemical + 50% organic fertilizer; F4: 25% chemical + 75% organic fertilizer. Different lowercase letters indicate significant differences among treatments (P < 0.05). *: P < 0.05; **: P < 0.01; NS: no significant difference."

Fig. 3

Soil pH under different tillage methods and fertilization systems Abbreviations and treatments are the same as those given in Fig. 2. Different lowercase letters indicate significant differences among treatments (P < 0.05). **: P < 0.01; NS: no significant difference."

Fig. 4

Soil organic matter content under different tillage methods and fertilization systems Abbreviations and treatments are the same as those given in Fig. 2. Different lowercase letters indicate significant differences among treatments (P < 0.05). **: P < 0.01; NS: no significant difference."

Fig. 5

Soil available nutrient content under different tillage methods and fertilization systems during the entire growth period (g kg-1) Abbreviations and treatments are the same as those given in Fig. 2. TN: total nitrogen; TP: total phosphorus; TK: total potassium. Different lowercase letters indicate significant differences among treatments (P < 0.05)."

Table 1

Soil available nutrient content during the entire growth period under different planting patterns and fertilization systems"

年份
Year
耕作方式
Tillage method
施肥制度
Fertilization system
硝态氮
NO3--N
(mg kg-1)
铵态氮
NH4+-N
(mg kg-1)
速效磷
Available P
(mg kg-1)
速效钾
Available K
(mg kg-1)
2023 CT F1 15.43±0.78 de 9.09±0.31 bc 32.22±1.36 bc 147.17±5.30 bc
F2 16.79±0.67 bc 9.90±0.61 a 33.30±1.07 ab 161.00±3.00 ab
F3 15.19±0.65 de 7.86±0.24 de 29.99±1.20 cd 149.34±10.50 bc
F4 14.08±0.50 f 7.16±0.29 e 28.19±1.04 d 135.50±7.50 c
RT F1 16.97±0.61 b 9.79±0.45 ab 33.67±1.89 ab 153.67±6.51 ab
F2 18.20±0.66 a 10.31±0.54 a 34.89±1.86 a 166.00±6.00 a
F3 15.87±0.30 cd 8.46±0.44 cd 31.97±1.20 bc 154.50±9.01 ab
F4 14.58±0.37 ef 7.82±0.17 e 29.69±1.19 cd 148.83±11.64 bc
2024 CT F1 15.94±0.44 c 9.42±0.35 c 33.92±1.12 bc 149.31±3.42 cd
F2 17.12±0.54 b 10.21±0.45 b 35.55±1.21 ab 163.38±4.02 ab
F3 15.58±0.46 e 8.12±0.25 de 31.66±0.91 de 153.60±7.92 bcd
F4 14.70±0.22 f 7.55±0.45 e 30.17±1.07 e 145.99±5.33 d
RT F1 17.33±0.52 b 10.35±0.28 b 34.58±1.00 bc 155.09±4.15 bcd
F2 18.48±0.44 a 11.22±0.33 a 36.78±1.12 a 168.30±4.26 a
F3 16.26±0.52 c 8.71±0.53 d 33.00±0.92 cd 158.09±7.40 bc
F4 14.89±0.36 d 8.09±0.31 e 31.45±1.05 de 150.87±6.38 cd
年份Year (Y) * ** ** NS
耕作方式Tillage method (T) ** ** ** **
施肥制度Fertilization system (F) ** ** ** **
T×F NS NS NS NS
Y×T NS NS NS NS
Y×F NS NS NS NS
Y×T×F NS NS NS NS

Table 2

Forage yield and energy yield under different planting patterns and fertilization systems"

年份
Year
耕作方式
Tillage method
施肥制度
Fertilization system
饲草产量
Forage production (t hm-2)
能量产量
Energy yield (MJ hm-2)
2023 CT F1 28.41±0.40 cd 422.48±22.93 c
F2 30.30±1.04 b 475.48±20.88 b
F3 24.74±0.20 e 390.76±8.34 d
F4 20.11±0.33 g 352.14±13.94 e
RT F1 28.72±0.61 c 459.57±3.66 b
F2 31.67±0.55 a 514.15±16.96 a
F3 27.61±0.75 d 427.98±6.82 c
F4 21.46±0.42 f 387.18±10.04 d
2024 CT F1 28.92±0.25 c 470.13±17.22 c
F2 30.78±0.47 b 520.09±17.97 b
F3 24.81±0.22 d 445.85±8.28 d
F4 20.77±0.40 f 403.69±10.42 e
RT F1 29.56±0.42 c 504.19±11.21 b
F2 32.19±0.34 a 546.88±12.10 a
F3 29.21±0.45 c 469.65±12.64 c
F4 21.92±0.19 e 431.73±7.21 d
年份Year (Y) ** **
耕作方式Tillage method (T) ** **
施肥制度Fertilization system (F) ** **
T×F ** NS
Y×T NS NS
Y×F NS NS
Y×T×F NS NS

Fig. 6

Relationship between soil physical and chemical characteristics and forage yield Fig. A: Mantel test; Fig. B: random forest model prediction. pH: pH power of hydrogen; TN: total nitrogen; TK: total potassium; NH4+-N: ammonium nitrogen; TP: total phosphorus; BD: bulk density; AP: available phosphorus; AK: available potassium; NO3--N: nitrate nitrogen; SOM: soil organic matter; EY: energy yield; Yield: grass yield. *, **, *** mean significant correlation at the 0.05, 0.01, and 0.001 probability levels, respectively; ns: no significant correlation."

Fig. 7

Structural equation model (SEM) and standardization effect Fs: fertilization system; Available: available nutrient; Total: total nutrient; Yield: forage yield; EY: energy yield; χ2/DF: the chi-square degree of freedom ratio; GFI: the fitness index; CFI: the comparison fitting index; SRMR: the standardized residual. *, ** mean significant correlation at the 0.05 and 0.01 probability levels, respectively."

[1] 刘泽宇, 刘欢, 张玉霞, 张庆昕, 王振国, 崔凤娟, 王显国. 夏播5个饲用甜高粱品种在西辽河平原灌区的生产性能评价. 饲料研究, 2025, 48(2): 175-180.
Liu Z Y, Liu H, Zhang Y X, Zhang Q X, Wang Z G, Cui F J, Wang X G. Evaluation of production performance of five sorghum saccharatum Moench varieties sown in summer in irrigation area of West Liaohe Plain. Feed Res, 2025, 48(2): 175-180 (in Chinese with English abstract).
[2] 樊有鹤, 岳思妤, 南志标, 范玉兵. 我国玉米种业与产业政策演进及其对草地农业发展的启示. 草业学报, 2025, 34(3): 189-203.
doi: 10.11686/cyxb2024176
Fan Y H, Yue S Y, Nan Z B, Fan Y B. The evolution of China’s maize seed industry, relevant industrial policies and implications for grassland agriculture development. Acta Pratac Sin, 2025, 34(3): 189-203 (in Chinese with English abstract).
[3] Shi X Y, Xiao H J, Luo S D, Hodgson J A, Bianchi F J J A, He H M, van der Werf W, Zou Y. Can landscape level semi-natural habitat compensate for pollinator biodiversity loss due to farmland consolidation? Agric Ecosyst Environ, 2021, 319: 107519.
[4] 张丽平, 谢同, 高永平. 生物可降解塑料行业发展现状、存在问题与建议. 中国塑料, 2025, 39(4): 75-83.
Zhang L P, Xie T, Gao Y P. Development situation, problems and suggestions of biodegradable plastic industry. China Plast, 2025, 39(4): 75-83 (in Chinese with English abstract).
[5] 王斌, 董秀, 李满有, 杨雨琦, 兰剑. 不同播量拉巴豆与青贮玉米混播对草地生产性能及牧草品质的影响. 草地学报, 2021, 29: 828-834.
doi: 10.11733/j.issn.1007-0435.2021.04.025
Wang B, Dong X, Li M Y, Yang Y Q, Lan J. Effects of mixed planting of Dolichos Lablab with different sowing rates and silage corn on grassland productivity and forage quality. Acta Agrest Sin, 2021, 29: 828-834 (in Chinese with English abstract).
[6] 王斌, 史佳梅, 王腾飞, 张译尹, 马江萍, 李佳旺, 王小兵, 邓建强, 兰剑. 施氮对饲用高粱/拉巴豆混播草地生产性能和氮肥贡献率的影响. 草业学报, 2025, 34(4): 53-63.
doi: 10.11686/cyxb2024210
Wang B, Shi J M, Wang T F, Zhang Y Y, Ma J P, Li J W, Wang X B, Deng J Q, Lan J. Effect of nitrogen application on production performance and nitrogen fertilizer contribution of forage sorghum/lablab mixed cropping. Acta Pratac Sin, 2025, 34(4): 53-63 (in Chinese with English abstract).
[7] 丁婉, 邢宝龙, 冯钰. 农牧交错带施氮条件下大豆和玉米间作产量及其混合青贮品质. 草业科学, 2024, 41: 2133-2142.
Ding W, Xing B L, Feng Y. Yield of soybean and corn intercropping and quality of mixed silage in farming-pastoral ecotones with nitrogen fertilization. Pratac Sci, 2024, 41: 2133-2142 (in Chinese with English abstract).
[8] 吴林坤, 林向民, 林文雄. 根系分泌物介导下植物-土壤-微生物互作关系研究进展与展望. 植物生态学报, 2014, 38: 298-310.
doi: 10.3724/SP.J.1258.2014.00027
Wu L K, Lin X M, Lin W X. Advances and perspective in research on plant-soil-microbe interactions mediated by root exudates. Chin J Plant Ecol, 2014, 38: 298-310 (in Chinese with English abstract).
doi: 10.3724/SP.J.1258.2014.00027
[9] 项文化, 田大伦. 不同年龄阶段马尾松人工林养分循环的研究. 植物生态学报, 2002, 26: 89-95.
Xiang W H, Tian D L. Nutrient cycling in Pinus massoniana stands of different age classes. Acta Phytoecol Sin, 2002, 26: 89-95 (in Chinese with English abstract).
[10] 唐文睿, 关嫣冉, 赵心语, 王旭琴, 王登芝, 戴伟, 栾亚宁. 根系分泌物诱导土壤有机质激发效应的非生物机制. 世界林业研究, 2024, 37(6): 26-32.
Tang W R, Guan Y R, Zhao X Y, Wang X Q, Wang D Z, Dai W, Luan Y N. Abiotic mechanism of root exudates inducing soil organic matter priming effect. World For Res, 2024, 37(6): 26-32 (in Chinese with English abstract).
[11] 付先恒, 李世清, 岳善超, 沈玉芳. 玉米根际和非根际土壤细菌微多样性与土壤有机碳矿化的关系. 水土保持通报, 2023, 43(1): 323-331.
Fu X H, Li S Q, Yue S C, Shen Y F. Relationship of bacterial microdiversity of rhizosphere and bulk soil with soil organic carbon mineralization in maize fields. Bull Soil Water Conserv, 2023, 43(1): 323-331 (in Chinese with English abstract).
[12] 甄云楠, 薛荟, 刘倩, 虞道耿. 间作崖州硬皮豆对荔枝园土壤及其土壤微生物的影响. 草地学报, 2024, 32: 3706-3714.
doi: 10.11733/j.issn.1007-0435.2024.12.006
Zhen Y N, Xue H, Liu Q, Yu D G. Effect of intercropping Macrotyloma uniflorum ‘Yazhou’ of litchi orchard on the soil microbial community structure and diversity. Acta Agrest Sin, 2024, 32: 3706-3714 (in Chinese with English abstract).
[13] 潘雅文, 樊军, 郝明德, 陈旭. 黄土塬区长期不同耕作、覆盖措施对表层土壤理化性状和玉米产量的影响. 植物营养与肥料学报, 2016, 22: 1558-1567.
Pan Y W, Fan J, Hao M D, Chen X. Effects of long-term tillage and mulching methods on properties of surface soil and maize yield in tableland region of the Loess Plateau. J Plant Nutr Fert, 2016, 22: 1558-1567 (in Chinese with English abstract).
[14] 郭金瑞, 宋振伟, 彭宪现, 朱平, 高洪军, 彭畅, 张卫建. 东北黑土区长期不同种植模式下土壤碳氮特征评价. 农业工程学报, 2015, 31(6): 178-185.
Guo J R, Song Z W, Peng X X, Zhu P, Gao H J, Peng C, Zhang W J. Evaluation in soil carbon and nitrogen characteristics under long-term cropping regimes in black soil region of Northeast China. Trans CSAE, 2015, 31(6): 178-185 (in Chinese with English abstract).
[15] 耿赛男, 李岚涛, 苗玉红, 谭金芳, 王宜伦. 大豆和玉米影响后茬作物氮素供应的研究进展. 植物营养与肥料学报, 2022, 28: 919-932.
Geng S N, Li L T, Miao Y H, Tan J F, Wang Y L. Research advances on the mechanisms of soybean and maize influence nitrogen supply in subsequent crops. J Plant Nutr Fert, 2022, 28: 919-932 (in Chinese with English abstract).
[16] 毕香君, 李升东, 冯波, 王宗帅, 李华伟, 王法宏, 石军萍. 苗带少耕对黄淮海夏玉米产量形成与根冠特征的影响. 山东农业科学, 2020, 52(10): 62-66.
Bi X J, Li S D, Feng B, Wang Z S, Li H W, Wang F H, Shi J P. Effects of minimal belt tillage on yield formation and root cap characteristics of summer maize in the Huanghe-Huaihe-Haihe River area. Shandong Agric Sci, 2020, 52(10): 62-66 (in Chinese with English abstract).
[17] 刘殿民, 沈海鸥, 武佳龙, 栾凤娇, 牟廷森, 王岩生. 黑土坡面垄侧少耕措施的土壤侵蚀特征分析. 水土保持学报, 2022, 36(4): 1-6.
Liu D M, Shen H O, Wu J L, Luan F J, Mou T S, Wang Y S. Analysis of soil erosion characteristics of half-ridge less tillage measure on the black soil hillslope. J Soil Water Conserv, 2022, 36(4): 1-6 (in Chinese with English abstract).
[18] 党海燕, 王朝辉. 我国麦田有机肥施用: 研究历史、瓶颈与解决策略. 植物营养与肥料学报, 2025, 31: 12-31.
Dang H Y, Wang Z H. Organic fertilizer application in wheat production of China: History, bottleneck, and strategy. J Plant Nutr Fert, 2025, 31: 12-31 (in Chinese with English abstract).
[19] 温延臣, 张曰东, 袁亮, 李伟, 李燕青, 林治安, 赵秉强. 商品有机肥替代化肥对作物产量和土壤肥力的影响. 中国农业科学, 2018, 51: 2136-2142.
doi: 10.3864/j.issn.0578-1752.2018.11.011
Wen Y C, Zhang Y D, Yuan L, Li W, Li Y Q, Lin Z A, Zhao B Q. Crop yield and soil fertility response to commercial organic fertilizer substituting chemical fertilizer. Sci Agric Sin, 2018, 51: 2136-2142 (in Chinese with English abstract).
doi: 10.3864/j.issn.0578-1752.2018.11.011
[20] 王宪玲, 赵志远, 马艳婷, 郑朝霞, 郑伟, 翟丙年, 赵政阳. 基于CT扫描技术研究有机无机肥长期配施对土壤物理特征的影响. 植物营养与肥料学报, 2020, 26: 1647-1655.
Wang X L, Zhao Z Y, Ma Y T, Zheng Z X, Zheng W, Zhai B N, Zhao Z Y. Study on the effects of long-term application of chemical fertilizer combined with manure on soil physical properties of apple orchard based on CT scanning technology. J Plant Nutr Fert, 2020, 26: 1647-1655 (in Chinese with English abstract).
[21] 田霞, 王媛, 张雨, 郭蓉, 马琨. 旱作区农田土壤AM真菌对长期有机无机施肥的响应. 中国生态农业学报(中英文), 2024, 32: 297-308.
Tian X, Wang Y, Zhang Y, Guo R, Ma K. Response of arbuscular mycorrhiza fungi to long-term organic and inorganic fertilization in agricultural soils in dry farming regions. Chin J Eco-Agric, 2024, 32: 297-308 (in Chinese with English abstract).
[22] 张海星, 常生华, 贾倩民, 周大梁, 张程, 刘永杰, 李红, 侯扶江. 禾豆间作与施氮对河西地区青贮玉米产量及水氮利用的影响. 中国土壤与肥料, 2021, (3): 51-62.
Zhang H X, Chang S H, Jia Q M, Zhou D L, Zhang C, Liu Y J, Li H, Hou F J. Effects of maize-legume intercropping and nitrogen application on yield, water and nitrogen utilization of silage maize in Hexi area. Soil Fert Sci China, 2021, (3): 51-62 (in Chinese with English abstract).
[23] 邱新彩, 彭道黎, 李伟丽, 姜昊辰. 北京延庆区不同林龄油松人工林土壤理化性质. 应用与环境生物学报, 2018, 24: 221-229.
Qiu X C, Peng D L, Li W L, Jiang H C. Soil physicochemical properties of Pinus tabuliformis plantations of different ages in Yanqing, Beijing. Chin J Appl Environ Biol, 2018, 24: 221-229 (in Chinese with English abstract).
[24] 张怡, 王志慧, 卢小平, 肖培青, 赵广举. 黄土高原生态系统碳汇时空变化及其影响因素. 水土保持研究, 2025, 32(1): 266-274.
Zhang Y, Wang Z H, Lu X P, Xiao P Q, Zhao G J. Evolution of ecosystem carbon sink and its driving factors in the Loess Plateau. Res Soil Water Conserv, 2025, 32(1): 266-274 (in Chinese with English abstract).
[25] 王小燕, 蔡崇法, 李鸿, 谢德体. 三峡库区碎石含量对紫色土容重和孔隙特征的影响. 土壤学报, 2017, 54: 379-386.
Wang X Y, Cai C F, Li H, Xie D T. Influence of rock fragments on bulk density and pore characteristics of purple soil in three-gorge reservoir area. Acta Pedol Sin, 2017, 54: 379-386 (in Chinese with English abstract).
[26] 冯浩亮, 韩晓增, 陆欣春, 陈旭, 严君, 邹文秀. 有机培肥影响土壤团聚体形成与稳定的研究进展. 土壤与作物, 2023, 12: 393-400.
Feng H L, Han X Z, Lu X C, Chen X, Yan J, Zou W X. Research progress on the formation and stability of soil aggregates by organic fertilization. Soils Crops, 2023, 12: 393-400 (in Chinese with English abstract).
[27] 白懿杭, 侯赛赛, 赵玉璞, 张瑞芳, 张爱军, 李旭光, 王鑫鑫. 农田土壤有机碳积累和团聚体稳定过程及其相互作用关系. 中国土壤与肥料, 2024, (7): 208-220.
Bai Y H, Hou S S, Zhao Y P, Zhang R F, Zhang A J, Li X G, Wang X X. Soil organic carbon accumulation and aggregate stabilization processes and their interactions. Soil Fert Sci China, 2024, (7): 208-220 (in Chinese with English abstract).
[28] 张恩, 王彬, 白小龙, 武晋民, 马东海, 张智, 田丰, 赵卉. 不同改良物料对内蒙河套平原盐碱土壤改良效果研究. 中国农学通报, 2024, 40(32): 44-49.
doi: 10.11924/j.issn.1000-6850.casb2024-0189
Zhang E, Wang B, Bai X L, Wu J M, Ma D H, Zhang Z, Tian F, Zhao H. Effect of different modified materials on improvement of saline-alkali soil in Hetao Plain, Inner Mongolia. Chin Agric Sci Bull, 2024, 40(32): 44-49 (in Chinese with English abstract).
doi: 10.11924/j.issn.1000-6850.casb2024-0189
[29] 吴茜虞, 雷宝坤, 徐卓颖, 续勇波, 李孙宁. 洱海流域有机肥全量替代化肥满足水稻氮素营养并减少土壤气态活性氮排放. 植物营养与肥料学报, 2024, 30: 252-267.
Wu X Y, Lei B K, Xu Z Y, Xu Y B, Li S N. Total organic fertilizer substitution of nitrogen fertilizer in Erhai watershed can satisfy rice nitrogen nutrition and reduce gaseous reactive nitrogen emission in paddy fields. J Plant Nutr Fert, 2024, 30: 252-267 (in Chinese with English abstract).
[30] Adetunji A T, Ncube B, Mulidzi R, Lewu F B. Management impact and benefit of cover crops on soil quality: a review. Soil Tillage Res, 2020, 204: 104717.
[31] 苑升旺, 赵博洋. 内蒙古自治区乡土植被生态系统服务评估及优化策略. 西南大学学报(自然科学版), 2025, 47(2): 83-92.
Yuan S W, Zhao B Y. Assessment and optimization strategies of vegetation ecosystem services in Inner Mongolia Region. J Southwest Univ (Nat Sci Edn), 2025, 47(2): 83-92 (in Chinese with English abstract).
[32] 石正阳, 程唱, 邹星晨, 左亚凡, 李睿, 刘仟仟, 刘婧雯, 彭小静, 贺康宁. 祁连山东部不同密度白桦天然次生林持水性能及土壤传递函数的构建. 生态学报, 2025, 45: 4059-4071.
Shi Z Y, Cheng C, Zou X C, Zuo Y F, Li R, Liu Q Q, Liu J W, Peng X J, He K N. Water-holding capacity and construction of pedo-transfer functions for natural secondary Betula platyphylla forests of different densities in the eastern Qilian Mountains. Acta Ecol Sin, 2025, 45: 4059-4071 (in Chinese with English abstract).
[33] 姜晓敏, 杨彩红, 程生煜, 石昊. 不同耕作方式和生物炭对土壤养分、酶活性和玉米产量的影响. 中国土壤与肥料, 2024, (10): 69-79.
Jiang X M, Yang C H, Cheng S Y, Shi H. Effects of tillage methods and biochar on soil nutrients, enzyme activity and maize yield. Soil Fert Sci China, 2024, (10): 69-79 (in Chinese with English abstract).
[34] 晁赢, 付钢锋, 阎祥慧, 杭中桥, 杨全刚, 王会, 潘红, 娄燕宏, 诸葛玉平. 有机肥对作物品质、土壤肥力及环境影响的研究进展. 中国农学通报, 2022, 38(29): 103-107.
doi: 10.11924/j.issn.1000-6850.casb2021-0631
Chao Y, Fu G F, Yan X H, Hang Z Q, Yang Q G, Wang H, Pan H, Lou Y H, Zhuge Y P. Effects of organic fertilizer on crop quality, soil fertility and environment: research progress. Chin Agric Sci Bull, 2022, 38(29): 103-107 (in Chinese with English abstract).
doi: 10.11924/j.issn.1000-6850.casb2021-0631
[35] Cheng Y, Luo M, Zhang T G, Yan S H, Wang C, Dong Q G, Feng H, Zhang T B, Kisekka I. Organic substitution improves soil structure and water and nitrogen status to promote sunflower (Helianthus annuus L.) growth in an arid saline area. Agric Water Manag, 2023, 283: 108320.
[36] Cai A D, Xu M G, Wang B R, Zhang W J, Liang G P, Hou E Q, Luo Y Q. Manure acts as a better fertilizer for increasing crop yields than synthetic fertilizer does by improving soil fertility. Soil Tillage Res, 2019, 189: 168-175.
[37] 史帆, 李文广, 易树生, 杨娜, 陈玉萌, 郑伟, 张雪辰, 李紫燕, 翟丙年. 有机无机肥配施下旱地麦田土壤有机碳组分含量的变化特征. 中国农业科学, 2025, 58: 719-732.
doi: 10.3864/j.issn.0578-1752.2025.04.008
Shi F, Li W G, Yi S S, Yang N, Chen Y M, Zheng W, Zhang X C, Li Z Y, Zhai B N. The variation characteristics of soil organic carbon fractions under the combined application of organic and inorganic fertilizers. Sci Agric Sin, 2025, 58: 719-732 (in Chinese with English abstract).
doi: 10.3864/j.issn.0578-1752.2025.04.008
[38] 邓子正, 黄明镜, 张吴平, 王国芳. 旱作条件下保护性耕作对土壤结构和容重影响试验研究. 土壤通报, 2023, 54: 46-55.
Deng Z Z, Huang M J, Zhang W P, Wang G F. Effects of conservation tillage on soil structure and bulk density under dryland. Chin J Soil Sci, 2023, 54: 46-55 (in Chinese with English abstract).
[39] 邱吟霜, 王西娜, 李培富, 侯贤清, 王艳丽, 吴鹏年, 霍文斌. 不同种类有机肥及用量对当季旱地土壤肥力和玉米产量的影响. 中国土壤与肥料, 2019, (6): 182-189.
Qiu Y S, Wang X N, Li P F, Hou X Q, Wang Y L, Wu P N, Huo W B. Different kinds of organic fertilizers and amounts on dryland soil fertility and corn yield in the current season. Soil Fert Sci China, 2019, (6): 182-189 (in Chinese with English abstract).
[40] 鲁晨妮, 徐再萌, 费冰雁, 赵川, 陈贵, 李建强. 生物质炭配施有机肥对设施土壤理化性质、酶活性和细菌群落结构的影响. 土壤, 2025, 57: 333-341.
Lu C N, Xu Z M, Fei B Y, Zhao C, Chen G, Li J Q. Effects of combined application of biochar and organic fertilizer on soil properties, enzyme activity and bacterial community structure. Soils, 2025, 57: 333-341 (in Chinese with English abstract).
[41] 杜明慧, 李伯欣, 余英德, 陶琳, 范世献, 余敏男, 于晓雯, 邹淑君, 黄德银. 保护性耕作对南方双季稻田土壤性质及产量的影响. 生态环境学报, 2025, 34: 521-533.
doi: 10.16258/j.cnki.1674-5906.2025.04.003
Du M H, Li B X, Yu Y D, Tao L, Fan S X, Yu M N, Yu X W, Zou S J, Huang D Y. Effects of soil properties and yield of double-cropping rice in Southern China under conservation tillage mode. Ecol Environ Sci, 2025, 34: 521-533 (in Chinese with English abstract).
[42] 宋世霞, 刘瑞, 徐福才, 刘巍, 刘丹, 刘鹏, 艾辛. 有机堆肥对辣椒连作土壤化学性状及酶活性的影响. 中国土壤与肥料, 2024, (10): 9-15.
Song S X, Liu R, Xu F C, Liu W, Liu D, Liu P, Ai X. Effects of organic composting on the chemical properties and enzyme activities of chili pepper continuous cropping soil. Soil Fert Sci China, 2024, (10): 9-15 (in Chinese with English abstract).
[43] 季佳鹏, 赵欣宇, 吴景贵, 孟庆龙, 关华建, 牛岸秋. 有机肥替代20%化肥提高黑钙土养分有效性及玉米产量. 植物营养与肥料学报, 2021, 27: 491-499.
Ji J P, Zhao X Y, Wu J G, Meng Q L, Guan H J, Niu A Q. Replacing 20% of chemical nitrogen with manures to increase soil nutrient availability and maize yield in a chernozem soil. J Plant Nutr Fert, 2021, 27: 491-499 (in Chinese with English abstract).
[44] 孔亚丽, 秦华, 朱春权, 田文昊, 朱晓芳, 虞轶俊, 张均华. 土壤微生物影响土壤健康的作用机制研究进展. 土壤学报, 2024, 61: 331-347.
Kong Y L, Qin H, Zhu C Q, Tian W H, Zhu X F, Yu Y J, Zhang J H. Research progress on the mechanism by which soil microorganisms affect soil health. Acta Pedol Sin, 2024, 61: 331-347 (in Chinese with English abstract).
[45] 邢素丽, 韩宝文, 刘孟朝, 徐明岗. 有机无机配施对土壤养分环境及小麦增产稳定性的影响. 农业环境科学学报, 2010, 29(增刊1): 135-140.
Xing S L, Han B W, Liu M C, Xu M G. The effect of NPK fertilizer combined with soil organic manure on soil nutrition and wheat yield increasing. J Agro-Environ Sci, 2010, 29(S1): 135-140 (in Chinese with English abstract).
[46] 张萌, 芶久兰, 魏全全, 陈龙, 何佳芳. 不同生物有机肥对贵州高海拔春马铃薯生长及土壤肥力的影响. 作物杂志, 2019, (3): 132-136.
Zhang M, Gou J L, Wei Q Q, Chen L, He J F. Effects of different biological organic fertilizers on the growth of spring potato and soil fertility at high altitude region in Guizhou province. Crops, 2019, (3): 132-136 (in Chinese with English abstract).
[47] 刘国梁, 吴伟, 李素艳, 孙向阳, 岳宗伟, 魏宇光. 园林绿化废弃物堆肥配施化肥对土壤腐殖质碳组分的影响. 中国土壤与肥料, 2024, (12): 27-35.
Liu G L, Wu W, Li S Y, Sun X Y, Yue Z W, Wei Y G. Effect of green plant waste compost combined with chemical fertilizer on carbon composition of soil humus. Soil Fert Sci China, 2024, (12): 27-35 (in Chinese with English abstract).
[48] 牛婷婷, 马明生, 张军高. 秸秆还田和覆膜对旱作雨养农田土壤理化性质及春玉米产量的影响. 新疆农业科学, 2024, 61: 1896-1906.
doi: 10.6048/j.issn.1001-4330.2024.08.009
Niu T T, Ma M S, Zhang J G. Effects of straw returning and plastic film mulching on soil physical and chemical properties and sprin gmaize yield in rain-fed upland farmland. Xinjiang Agric Sci, 2024, 61: 1896-1906 (in Chinese with English abstract).
[49] 张刁亮, 柴强, 殷文, 胡发龙, 樊志龙. 干旱灌区减量灌水下玉米农艺性状、产量及水肥利用效率对间作绿肥的响应. 干旱地区农业研究, 2024, 42(5): 85-96.
Zhang D L, Chai Q, Yin W, Hu F L, Fan Z L. Response of maize agronomic traits, yield, water and fertilizer use efficiency to intercropping green manure under reduced irrigation levels in arid irrigation areas. Agric Res Arid Areas, 2024, 42(5): 85-96 (in Chinese with English abstract).
[50] 王倩, 李军, 宁芳, 孙磊, 温鹏飞. 渭北旱作麦田长期保护性耕作土壤肥力特征综合评价. 应用生态学报, 2018, 29: 2925-2934.
doi: 10.13287/j.1001-9332.201809.030
Wang Q, Li J, Ning F, Sun L, Wen P F. Comprehensive assessment of soil fertility characteristics under different long-term conservation tillages of wheat field in Weibei Highland, China. Chin J Appl Ecol, 2018, 29: 2925-2934 (in Chinese with English abstract).
doi: 10.13287/j.1001-9332.201809.030
[1] YANG Shu, BAI Wei, CAI Qian, DU Gui-Juan. Characteristics of light distribution in maize‖alfalfa intercropping systems and their effects on plant traits and yield [J]. Acta Agronomica Sinica, 2025, 51(9): 2514-2526.
[2] GUO Bao-Wei, WANG Wang, WANG Kai, WANG Yan, ZENG Xin, JING Xiu, WANG Jing, NI Xin-Hua, XU Ke, ZHANG Hong-Cheng. Population dynamic characteristics and formation mechanisms of super high-yielding of two types of glutinous rice in the middle and lower reaches of the Yangtze Rive [J]. Acta Agronomica Sinica, 2025, 51(9): 2433-2453.
[3] FU Jiang-Peng, LIU Fa-Cai, YAN Bao-Qin, WANG Yong-Dong, LI Li-Li, WEI Wei, ZHOU Ying-Xia. Effect of replacing common urea with controlled-release fertilizer on dry matter accumulation, partitioning, yield, and quality of sorghum in dryland farming [J]. Acta Agronomica Sinica, 2025, 51(9): 2501-2513.
[4] ZHANG Hai-Yan, XIE Bei-Tao, DONG Shun-Xu, ZHANG Li-Ming, DUAN Wen-Xue. Effects of different types and ratios of water-soluble fertilizers on the yield and quality of table-use sweet potato [Ipomoea batatas (L.) Lam.] under drip irrigation [J]. Acta Agronomica Sinica, 2025, 51(9): 2485-2500.
[5] YANG Ting-Ting, CHEN Juan, ABDUL Rehman, LI Jing, YAN Su-Hui, WANG Jian-Lai, LI Wen-Yang. Effects of weak light post-anthesis on dry matter accumulation and translocation, grain yield, and starch quality in soft wheat [J]. Acta Agronomica Sinica, 2025, 51(8): 2204-2219.
[6] FAN You-Zhong, WANG Xian-Ling, WANG Zong-Kai, WANG Chun-Yun, WANG Tian-Yao, XIE Jie, KUAI Jie, WANG Bo, WANG Jing, XU Zheng-Hua, ZHAO Jie, ZHOU Guang-Sheng. Effects of straw incorporation combined with nitrogen management on photosynthetic efficiency and yield of rapeseed following rice [J]. Acta Agronomica Sinica, 2025, 51(8): 2139-2151.
[7] YOU Gen-Ji, XIE Hao, LIANG Yu-Wen, LI Long, WANG Yu-Ru, JIANG Chen-Yang, GUO Jian, LI Guang-Hao, LU Da-Lei. Effects of nitrogen fertilizer reduction measures on yield and nitrogen use efficiency of spring maize in Jianghuai region [J]. Acta Agronomica Sinica, 2025, 51(8): 2152-2163.
[8] LI Yi-Qian, XU Shou-Zhen, LIU Ping, MA Qi, XIE Bin, CHEN Hong. Genome-wide association study of yield components using a 40K SNP array and identification of a stable locus for boll weight in upland cotton (Gossypium hirsutum L.) [J]. Acta Agronomica Sinica, 2025, 51(8): 2128-2138.
[9] LI Qiu-Yun, LI Shi-Gui, FAN Jun-Liang, LIU Hao-Tian, ZHAO Xiao-Bin, LYU Shuo, WANG Yan-Hao, YUE Yun, ZHANG Ning, SI Huai-Jun. Effects of ionic zinc and nano-zinc on physiological characteristics, yield, and quality of potato [J]. Acta Agronomica Sinica, 2025, 51(7): 1838-1849.
[10] CHEN Ru-Xue, SUN Li-Fang, ZHANG Xin-Yuan, MU Hai-Meng, ZHANG Yong-Xin, YUAN Li-Xue, PENG Shi-Le, WANG Zhuang-Zhuang, WANG Yong-Hua. Effects of combined straw returning and microbial inoculant application on carbon-nitrogen metabolism in flag leaves and yield formation in winter wheat [J]. Acta Agronomica Sinica, 2025, 51(7): 1901-1913.
[11] WAN Shu-Bo, ZHANG Jia-Lei, GAO Hua-Xin, WANG Cai-Bin. Advances and prospects of high-yield peanut cultivation in China [J]. Acta Agronomica Sinica, 2025, 51(7): 1703-1711.
[12] HUO Jian-Zhe, YU Ai-Zhong, WANG Yu-Long, WANG Peng-Fei, YIN Bo, LIU Ya-Long, ZHANG Dong-Ling, JIANG Ke-Qiang, PANG Xiao-Neng, WANG Feng. Effect of organic manure substitution for chemical fertilizer on yield, quality, and nitrogen utilization of sweet maize in oasis irrigation areas [J]. Acta Agronomica Sinica, 2025, 51(7): 1887-1900.
[13] DONG Wei-Jin, ZHANG Ya-Feng, LI Qi-Yun, LU Yang, ZHANG Zheng-Kun, SUI Li. Effects of Beauveria bassiana colonization on maize growth and yield under elevated CO2 concentration [J]. Acta Agronomica Sinica, 2025, 51(7): 1874-1886.
[14] WU Liu-Ge, CHEN Jian, ZHANG Xin, DENG Ai-Xing, SONG Zhen-Wei, ZHENG Cheng-Yan, ZHANG Wei-Jian. Changes in yield and quality traits of nationally approved winter wheat varieties in China over last twenty years [J]. Acta Agronomica Sinica, 2025, 51(7): 1814-1826.
[15] ZHAO Jia-Wen, LI Zi-Hong, OU Xing-Yu, WANG Yi-Lang, DING Xiao-Fei, LIANG Yue-Yao, DING Wen-Jin, ZHANG Hai-Peng, MA Shang-Yu, FAN Yong-Hui, HUANG Zheng-Lai, ZHANG Wen-Jing. Effects of nitrogen and potassium fertilizer management on grain yield and quality of weak-gluten wheat [J]. Acta Agronomica Sinica, 2025, 51(7): 1914-1933.
Viewed
Full text


Abstract

Cited

  Shared   
  Discussed   
No Suggested Reading articles found!