Welcome to Acta Agronomica Sinica,

Acta Agronomica Sinica ›› 2025, Vol. 51 ›› Issue (11): 3026-3037.doi: 10.3724/SP.J.1006.2025.53025

• TILLAGE & CULTIVATION·PHYSIOLOGY & BIOCHEMISTRY • Previous Articles     Next Articles

Optimization of irrigation methods and planting density synergistically increases yield and water use efficiency in summer maize

CUI Dong1(), WANG Tong-Chao1, YANG Song-Lin1, REN Bai-Zhao1, GAO Ying-Bo2, YU Ning-Ning1,*(), ZHANG Ji-Wang1,*()   

  1. 1 Agronomy College of Shandong Agricultural University, Tai’an 271018, Shandong, China
    2 Shandong Academy of Agricultural Sciences, Jinan 250100, Shandong, China
  • Received:2025-04-23 Accepted:2025-08-13 Online:2025-11-12 Published:2025-08-15
  • Contact: *E-mail: jwzhang@sdau.edu.cn; E-mail: yuning@sdau.edu.cn
  • Supported by:
    Key Research and Development Program of Shandong Province(2024CXGC010901-3);National Natural Science Foundation of China(32172115);China Agriculture Research System of MOF and MARA(CARS-02-21)

Abstract:

To address the conflict between water scarcity and the demand for high yields in summer maize production in the Huang-huai-hai region, this study investigated the regulatory effects of irrigation methods and planting density on yield and water use efficiency (WUE). A field experiment was conducted during 2023-2024 in Tai’an city, Shandong province, using two irrigation methods—conventional border irrigation (BI) and drip irrigation (DI)—and eight planting densities (D1: 15,000; D2: 30,000; D3: 45,000; D4: 60,000; D5: 75,000; D6: 90,000; D7: 105,000; D8: 120,000 plants hm-2). A split-plot design was employed to systematically examine the effects of planting density on yield formation and WUE under drip irrigation. The main findings were as follows: (1) DI significantly outperformed BI, increasing grain yield and WUE by 7.5% and 15.3%, respectively, due to optimized spatiotemporal water and nutrient supply; (2) Evapotranspiration (ETc), soil evaporation (E), and crop transpiration (Tr) were all nonlinear functions of planting density, with increasing density significantly reducing the proportion of E in ETc (E/ETc); (3) Both yield and WUE exhibited parabolic responses to planting density. DI reduced ineffective water loss through localized wetting and mitigated water competition under high-density conditions. In contrast, the optimal planting density under BI (82,700 plants hm-2) was significantly lower than that under DI (93,300 plants hm-2), as full-field wetting in BI increased soil evaporation and led to greater water loss. Overall, a planting density of 90,000 plants hm-2 under drip irrigation was found to simultaneously enhance summer maize yield and WUE. Therefore, this study recommends adopting drip irrigation combined with a planting density of 90,000 plants hm-2 for summer maize cultivation in the Huang-huai-hai region.

Key words: drip irrigation, planting density, evapotranspiration partitioning, yield, water use efficiency

Fig. 1

Weather conditions during the summer maize growth stage from 2023 to 2024"

Table 1

Effects of irrigation methods and planting density on summer maize yield and yield components"

年份
Year
灌溉方式
Irrigation method
密度
Density
穗数
Number of ears
(No. hm-2)
穗粒数
Grains per ear
千粒重
1000-grain weight
(g)
籽粒产量
Grain yield
(t hm-2)
2023 BI D1 32,986 h 588.9 d 403.1 a 7.8 g
D2 36,458 g 661.9 a 406.4 a 9.8 f
D3 46,528 f 635.4 b 387.6 b 11.5 e
D4 57,292 e 605.8 c 381.1 c 13.2 c
D5 69,444 d 563.5 e 366.2 d 14.3 a
D6 81,944 c 491.4 f 346.4 e 13.9 b
D7 89,583 b 427.5 g 338.5 f 13.0 c
D8 94,097 a 397.1 h 323.4 g 12.1 d
DI D1 33,333 h 601.3 d 398.6 a 8.0 f
D2 37,153 g 664.7 a 401.0 a 9.9 e
D3 46,181 f 636.3 b 394.1 b 11.6 d
D4 58,333 e 606.0 c 381.3 c 13.5 c
D5 69,792 d 563.8 e 369.3 d 14.5 b
D6 82,639 c 531.5 f 345.6 e 15.2 a
2023 DI D7 93,403 b 466.2 g 332.3 f 14.5 b
D8 99,653 a 432.0 h 322.0 g 13.9 c
2024 BI D1 30,833 f 560.5 d 394.3 a 6.8 g
D2 31,667 f 651.4 a 395.5 a 8.2 f
D3 45,278 e 599.3 b 381.7 b 10.4 e
D4 59,444 d 582.8 c 366.0 c 12.7 b
D5 71,944 c 545.1 e 342.9 d 13.4 a
D6 84,167 b 467.9 f 327.1 e 12.9 b
D7 91,667 a 400.5 g 324.5 e 11.9 c
D8 92,222 a 368.4 h 319.8 f 10.9 d
DI D1 30,833 h 564.1 d 396.0 a 6.9 f
D2 31,944 g 653.1 a 397.0 a 8.3 e
D3 45,278 f 616.7 b 391.0 a 10.9 d
D4 59,444 e 585.2 c 376.5 b 13.1 c
D5 72,500 d 559.4 e 345.5 c 14.0 b
D6 84,167 c 530.2 f 335.1 d 15.0 a
D7 96,111 b 445.7 g 326.0 de 14.0 b
D8 99,444 a 410.7 h 321.8 e 13.1 c
变异来源
Source of variation
灌溉方式 Irrigation method (I) * ** * **
密度 Density (D) ** ** ** **
年份 Year (Y) ns ** ** **
I×D ** ** ** **
Y×I ns ** ** **
Y×D ** ** ** **
Y×I×D ns ** ns ns

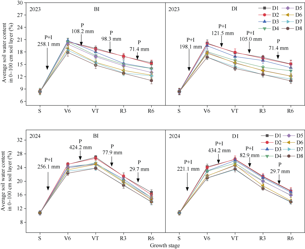
Fig. 2

Dynamics of the average soil water content in the 0-100 cm soil layer Treatments are the same as those given in Table 1. Soil water content by weight (g g-1); S: before sowing; V6: sixth fully expanded leaf stage; VT: tasseling stage; R3: grain filling stage; R6: physiological maturity stage; P: precipitation; I: irrigation."

Fig. 3

Nonlinear relationships between crop evapotranspiration (ETc), soil evaporation (E), crop transpiration (Tr), and planting density (x) Treatments are the same as those given in Table 1. * indicates significant differences at P < 0.05, ** indicates significant differences at P < 0.01."

Fig. 4

Ratios of Tr/ETc and E/ETc in summer maize throughout the reproductive period Treatments and abbreviations are the same as those given in Table 1."

Table 2

Effects of irrigation methods and planting density on water use efficiency in summer maize"

年份
Year
灌溉方式
Irrigation method
密度
Density
降水量
Precipitation (mm)
灌溉量
Irrigation (mm)
作物蒸散量
ETc (mm)
水分利用效率WUE (kg m-3)
2023 BI D1 436.0 100.0 410.3 e 1.9 f
D2 436.0 100.0 413.9 de 2.4 e
D3 436.0 100.0 420.5 cde 2.7 d
D4 436.0 100.0 427.7 bcd 3.1 b
D5 436.0 100.0 435.7 abc 3.3 a
D6 436.0 100.0 441.0 ab 3.2 b
D7 436.0 100.0 446.3 a 2.9 c
D8 436.0 100.0 451.5 a 2.7 d
DI D1 436.0 60.0 372.8 d 2.1 g
D2 436.0 60.0 375.1 d 2.6 f
D3 436.0 60.0 386.5 cd 3.0 e
D4 436.0 60.0 392.4 bc 3.4 cd
D5 436.0 60.0 399.5 abc 3.6 ab
D6 436.0 60.0 402.9 ab 3.8 a
D7 436.0 60.0 408.6 a 3.5 bc
D8 436.0 60.0 412.4 a 3.4 d
2024 BI D1 737.8 50.0 458.7 e 1.5 f
D2 737.8 50.0 461.8 de 1.8 e
D3 737.8 50.0 468.7 cde 2.2 d
D4 737.8 50.0 474.0 bcd 2.7 b
D5 737.8 50.0 477.5 abc 2.8 a
D6 737.8 50.0 479.7 abc 2.7 b
D7 737.8 50.0 485.0 ab 2.5 c
D8 737.8 50.0 488.6 a 2.2 d
DI D1 737.8 30.0 432.8 e 1.6 g
D2 737.8 30.0 436.0 de 1.9 f
D3 737.8 30.0 439.6 cde 2.5 e
D4 737.8 30.0 446.7 bcd 2.9 cd
D5 737.8 30.0 452.6 abc 3.1 b
D6 737.8 30.0 459.3 ab 3.3 a
D7 737.8 30.0 462.5 a 3.0 bc
D8 737.8 30.0 465.3 a 2.8 d
变异来源
Source of variation
灌溉方式 Irrigation method (I) ** **
密度 Density (D) ** **
年份 Year (Y) ** **
I×D ns **
Y×I ns *
Y×D ns *
Y×I×D ns ns

Fig. 5

The quadratic relationship between yield (GY), water use efficiency (WUE), and planting density (x) Treatments are the same as those given in Table 1. * indicates significant differences at P < 0.05, and ** indicates significant differences at P < 0.01."

[1] 联合国粮食及农业组织. 生产量统计: 作物和牲畜产品. [2025-06-11], https://www.fao.org/faostat/zh/#data/QCL.
Food and Agriculture Organization of the United Nations. Production statistics: crop and livestock products. [2025-06-11], https://www.fao.org/faostat/zh/#data/QCL (in chinese).
[2] Tilman D, Balzer C, Hill J, Befort B L. Global food demand and the sustainable intensification of agriculture. Proc Natl Acad Sci USA, 2011, 108: 20260-20264.
doi: 10.1073/pnas.1116437108 pmid: 22106295
[3] Hou X H, Fan J L, Zhang F C, Hu W H, Xiang Y Z. Optimization of water and nitrogen management to improve seed cotton yield, water productivity and economic benefit of mulched drip-irrigated cotton in Southern Xinjiang, China. Field Crops Res, 2024, 308: 109301.
[4] Darouich H, Gonçalves J M, Muga A, Pereira L S. Water saving vs. farm economics in cotton surface irrigation: an application of multicriteria analysis. Agric Water Manag, 2012, 115: 223-231.
[5] Ayars J E, Fulton A, Taylor B. Subsurface drip irrigation in California: here to stay? Agric Water Manag, 2015, 157: 39-47.
[6] Guo J J, Fan J L, Xiang Y Z, Zhang F C, Yan S C, Zhang X Y, Zheng J, Li Y P, Tang Z J, Li Z J. Coupling effects of irrigation amount and nitrogen fertilizer type on grain yield, water productivity and nitrogen use efficiency of drip-irrigated maize. Agric Water Manag, 2022, 261: 107389.
[7] Wang F, Meng H F, Xie R Z, Wang K R, Ming B, Hou P, Xue J, Li S K. Optimizing deficit irrigation and regulated deficit irrigation methods increases water productivity in maize. Agric Water Manag, 2023, 280: 108205.
[8] Li H R, Mei X R, Wang J D, Huang F, Hao W P, Li B G. Drip fertigation significantly increased crop yield, water productivity and nitrogen use efficiency with respect to traditional irrigation and fertilization practices: a meta-analysis in China. Agric Water Manag, 2021, 244: 106534.
[9] Guo H, Li S E, Kang S Z, Du T S, Liu W F, Tong L, Hao X M, Ding R S. The controlling factors of ecosystem water use efficiency in maize fields under drip and border irrigation systems in Northwest China. Agric Water Manag, 2022, 272: 107839.
[10] Hou P, Liu Y E, Liu W M, Liu G Z, Xie R Z, Wang K R, Ming B, Wang Y H, Zhao R L, Zhang W J, et al. How to increase maize production without extra nitrogen input. Resour Conserv Recycl, 2020, 160: 104913.
[11] Shao H, Wu X B, Chi H H, Zhu F B, Liu J H, Duan J H, Shi W J, Xu Y, Mi G H. How does increasing planting density affect nitrogen use efficiency of maize: a global meta-analysis. Field Crops Res, 2024, 311: 109369.
[12] Saenz E, Ruiz A, Sciarresi C, King K, Baum M, Ferela A, Danalatos G J N, Gambin B, Kalogeropoulos G, Thies A, et al. Historical increases in plant density increased vegetative maize biomass while breeding increased reproductive biomass and allocation to ear over stem. Field Crops Res, 2025, 322: 109704.
[13] Luo N, Meng Q F, Feng P Y, Qu Z R, Yu Y H, Liu D L, Müller C, Wang P. China can be self-sufficient in maize production by 2030 with optimal crop management. Nat Commun, 2023, 14: 2637.
doi: 10.1038/s41467-023-38355-2 pmid: 37149677
[14] Zhang G X, Cui C G, Lyu Y F, Wang X Y, Wang X F, Zhao D H, Hu F S, Wen X X, Han J, Liao Y C. Is it necessary to increase the maize planting density in China? Eur J Agron, 2024, 159: 127235.
[15] Fang X M, Li Y S, Nie J, Wang C, Huang K H, Zhang Y K, Zhang Y L, She H Z, Liu X B, Ruan R W, et al. Effects of nitrogen fertilizer and planting density on the leaf photosynthetic characteristics, agronomic traits and grain yield in common buckwheat (Fagopyrum esculentum M.). Field Crops Res, 2018, 219: 160-168.
[16] Tolimir M, Gajić B, Kresović B, Životić L, Gajić K, Brankov M, Todorovic M. Impact of deficit irrigation and planting density on grain yield and water productivity of maize grown under temperate continental climatic conditions. Agric Water Manag, 2024, 302: 109009.
[17] Zhai M H, Wei X W, Pan Z L, Xu Q Q, Qin D L, Li J H, Zhang J, Wang L Z, Wang K F, Duan X Y, et al. Optimizing plant density and canopy structure to improve light use efficiency and cotton productivity: two years of field evidence from two locations. Ind Crops Prod, 2024, 222: 119946.
[18] 吴希, 王家瑞, 郝淼艺, 张宏军, 张仁和. 种植密度对不同生育期玉米品种光温资源利用率和产量的影响. 作物学报, 2023, 49: 1065-1078.
doi: 10.3724/SP.J.1006.2023.23032
Wu X, Wang J R, Hao M Y, Zhang H J, Zhang R H. Effects of planting density on light and temperature resource utilization and yield of maize varieties at different fertility stages. Acta Agron Sin, 2023, 49: 1065-1078 (in Chinese with English abstract).
[19] Grassini P, Thorburn J, Burr C, Cassman K G. Corn Belt: I. High-yield irrigated maize in the Western U.S. On-farm yield, yield potential, and impact of agronomic practices. Field Crops Res, 2011, 120: 142-150.
[20] Liu Y E, Hou P, Huang G R, Zhong X L, Li H R, Zhao J R, Li S K, Mei X R. Maize grain yield and water use efficiency in relation to climatic factors and plant population in Northern China. J Integr Agric, 2021, 20: 3156-3169.
[21] Fan J C, Lu X J, Gu S H, Guo X Y. Improving nutrient and water use efficiencies using water-drip irrigation and fertilization technology in Northeast China. Agric Water Manag, 2020, 241: 106352.
[22] Zhang G, Shen D, Ming B, Xie R, Hou P, Xue J, Wang K, Li S. Optimizing planting density to increase maize yield and water use efficiency and economic return in the arid region of Northwest China. Agriculture, 2022, 12: 1322.
[23] García-Mollá M, Medina R P, Vega-Carrero V, Sanchis-Ibor C. Economic efficiency of drip and flood irrigation: comparative analysis at farm scale using DEA. Agric Water Manag, 2025, 309: 109314.
[24] Meng X P, Lian Y H, Liu Q, Zhang P, Jia Z K, Han Q F. Optimizing the planting density under the ridge and furrow rainwater harvesting system to improve crop water productivity for foxtail millet in semiarid areas. Agric Water Manag, 2020, 238: 106220.
[25] Guo Q, Huang G M, Guo Y L, Zhang M C, Zhou Y Y, Duan L S. Optimizing irrigation and planting density of spring maize under mulch drip irrigation system in the arid region of Northwest China. Field Crops Res, 2021, 266: 108141.
[26] Ertek A, Şensoy S, Gedik İ, Küçükyumuk C. Irrigation scheduling based on pan evaporation values for cucumber (Cucumis sativus L.) grown under field conditions. Agric Water Manag, 2006, 81: 159-172.
[27] Wei Z, Paredes P, Liu Y, Chi W W, Pereira L S. Modelling transpiration, soil evaporation and yield prediction of soybean in North China Plain. Agric Water Manag, 2015, 147: 43-53.
[28] 王亮, 林涛, 严昌荣, 王静, 郭瑞霞, 岳璐珂, 汤秋香. 地膜残留量对新疆棉田蒸散及棵间蒸发的影响. 农业工程学报, 2016, 32(14): 120-128.
Wang L, Lin T, Yan C R, Wang J, Guo R X, Yue L K, Tang Q X. Effects of plastic film residue on evapotranspiration and soil evaporation in cotton field of Xinjiang. Trans CSAE, 2016, 32(14): 120-128 (in Chinese with English abstract).
[29] Xu W J, Liu C W, Wang K R, Xie R Z, Ming B, Wang Y H, Zhang G Q, Liu G Z, Zhao R L, Fan P P, et al. Adjusting maize plant density to different climatic conditions across a large longitudinal distance in China. Field Crops Res, 2017, 212: 126-134.
[30] Lan T Q, Du L J, Wang X L, Zhan X X, Liu Q L, Wei G, Lyu C C, Liu F, Gao J X, Feng D J, et al. Synergistic effects of planting density and nitrogen fertilization on chlorophyll degradation and leaf senescence after silking in maize. Crop J, 2024, 12: 605-613.
doi: 10.1016/j.cj.2024.02.006
[31] Jia Q M, Sun L F, Wang J J, Li J, Ali S, Liu T N, Zhang P, Lian Y H, Ding R X, Ren X L, et al. Limited irrigation and planting densities for enhanced water productivity and economic returns under the ridge-furrow system in semi-arid regions of China. Field Crops Res, 2018, 221: 207-218.
[32] Fang L, Zhang G Q, Ming B, Shen D P, Wang Z, Zhou L L, Zhang T T, Liang Z Y, Xue J, Xie R Z, et al. Dense planting and nitrogen fertilizer management improve drip-irrigated spring maize yield and nitrogen use efficiency in Northeast China. J Integr Agric, 2024.
[33] Hao B Z, Ma J L, Si S H, Wang X J, Wang S L, Li F M, Jiang L N. Response of grain yield and water productivity to plant density in drought-tolerant maize cultivar under irrigated and rainfed conditions. Agric Water Manag, 2024, 298: 108880.
[34] Wu X R, Li Z M, Li W J, Xue X K, Yang L C, Xu J, Yang B P, Ding R X, Jia Z K, Zhang X D, et al. Reducing fertilization with high planting density increases maize yield stability and nitrogen use efficiency in semi-arid areas. Eur J Agron, 2024, 159: 127223.
[35] Liu J L, Bu L D, Zhu L, Luo S S, Chen X P, Li S Q. Optimizing plant density and plastic film mulch to increase maize productivity and water-use efficiency in semiarid areas. Agron J, 2014, 106: 1138-1146.
[36] Wang F, Xiao J F, Ming B, Xie R Z, Wang K R, Hou P, Liu G Z, Zhang G Q, Chen J L, Liu W M, et al. Grain yields and evapotranspiration dynamics of drip-irrigated maize under high plant density across arid to semi-humid climates. Agric Water Manag, 2021, 247: 106726.
[37] Yang D N, Li S E, Kang S Z, Du T S, Guo P, Mao X M, Tong L, Hao X M, Ding R S, Niu J. Effect of drip irrigation on wheat evapotranspiration, soil evaporation and transpiration in Northwest China. Agric Water Manag, 2020, 232: 106001.
[38] Wen S L, Cui N B, Wang Y S, Gong D Z, Xing L W, Wu Z J, Zhang Y X, Zhao L, Fan J L, Wang Z H. Optimizing deficit drip irrigation to improve yield, quality, and water productivity of apple in Loess Plateau of China. Agric Water Manag, 2024, 296: 108798.
[39] Zhang Y H, Wang R, Wang S L, Ning F, Wang H, Wen P F, Li A, Dong Z Y, Xu Z G, Zhang Y J, et al. Effect of planting density on deep soil water and maize yield on the Loess Plateau of China. Agric Water Manag, 2019, 223: 105655.
[40] Zou H Y, Fan J L, Zhang F C, Xiang Y Z, Wu L F, Yan S C. Optimization of drip irrigation and fertilization regimes for high grain yield, crop water productivity and economic benefits of spring maize in Northwest China. Agric Water Manag, 2020, 230: 105986.
[41] Zhang G Q, Liu C W, Xiao C H, Xie R Z, Ming B, Hou P, Liu G Z, Xu W J, Shen D P, Wang K R, et al. Optimizing water use efficiency and economic return of super high yield spring maize under drip irrigation and plastic mulching in arid areas of China. Field Crops Res, 2017, 211: 137-146.
[1] YANG Shu, BAI Wei, CAI Qian, DU Gui-Juan. Characteristics of light distribution in maize‖alfalfa intercropping systems and their effects on plant traits and yield [J]. Acta Agronomica Sinica, 2025, 51(9): 2514-2526.
[2] GUO Bao-Wei, WANG Wang, WANG Kai, WANG Yan, ZENG Xin, JING Xiu, WANG Jing, NI Xin-Hua, XU Ke, ZHANG Hong-Cheng. Population dynamic characteristics and formation mechanisms of super high-yielding of two types of glutinous rice in the middle and lower reaches of the Yangtze Rive [J]. Acta Agronomica Sinica, 2025, 51(9): 2433-2453.
[3] FU Jiang-Peng, LIU Fa-Cai, YAN Bao-Qin, WANG Yong-Dong, LI Li-Li, WEI Wei, ZHOU Ying-Xia. Effect of replacing common urea with controlled-release fertilizer on dry matter accumulation, partitioning, yield, and quality of sorghum in dryland farming [J]. Acta Agronomica Sinica, 2025, 51(9): 2501-2513.
[4] ZHANG Hai-Yan, XIE Bei-Tao, DONG Shun-Xu, ZHANG Li-Ming, DUAN Wen-Xue. Effects of different types and ratios of water-soluble fertilizers on the yield and quality of table-use sweet potato [Ipomoea batatas (L.) Lam.] under drip irrigation [J]. Acta Agronomica Sinica, 2025, 51(9): 2485-2500.
[5] YANG Ting-Ting, CHEN Juan, ABDUL Rehman, LI Jing, YAN Su-Hui, WANG Jian-Lai, LI Wen-Yang. Effects of weak light post-anthesis on dry matter accumulation and translocation, grain yield, and starch quality in soft wheat [J]. Acta Agronomica Sinica, 2025, 51(8): 2204-2219.
[6] FAN You-Zhong, WANG Xian-Ling, WANG Zong-Kai, WANG Chun-Yun, WANG Tian-Yao, XIE Jie, KUAI Jie, WANG Bo, WANG Jing, XU Zheng-Hua, ZHAO Jie, ZHOU Guang-Sheng. Effects of straw incorporation combined with nitrogen management on photosynthetic efficiency and yield of rapeseed following rice [J]. Acta Agronomica Sinica, 2025, 51(8): 2139-2151.
[7] YOU Gen-Ji, XIE Hao, LIANG Yu-Wen, LI Long, WANG Yu-Ru, JIANG Chen-Yang, GUO Jian, LI Guang-Hao, LU Da-Lei. Effects of nitrogen fertilizer reduction measures on yield and nitrogen use efficiency of spring maize in Jianghuai region [J]. Acta Agronomica Sinica, 2025, 51(8): 2152-2163.
[8] LI Yi-Qian, XU Shou-Zhen, LIU Ping, MA Qi, XIE Bin, CHEN Hong. Genome-wide association study of yield components using a 40K SNP array and identification of a stable locus for boll weight in upland cotton (Gossypium hirsutum L.) [J]. Acta Agronomica Sinica, 2025, 51(8): 2128-2138.
[9] LI Qiu-Yun, LI Shi-Gui, FAN Jun-Liang, LIU Hao-Tian, ZHAO Xiao-Bin, LYU Shuo, WANG Yan-Hao, YUE Yun, ZHANG Ning, SI Huai-Jun. Effects of ionic zinc and nano-zinc on physiological characteristics, yield, and quality of potato [J]. Acta Agronomica Sinica, 2025, 51(7): 1838-1849.
[10] CHEN Ru-Xue, SUN Li-Fang, ZHANG Xin-Yuan, MU Hai-Meng, ZHANG Yong-Xin, YUAN Li-Xue, PENG Shi-Le, WANG Zhuang-Zhuang, WANG Yong-Hua. Effects of combined straw returning and microbial inoculant application on carbon-nitrogen metabolism in flag leaves and yield formation in winter wheat [J]. Acta Agronomica Sinica, 2025, 51(7): 1901-1913.
[11] WAN Shu-Bo, ZHANG Jia-Lei, GAO Hua-Xin, WANG Cai-Bin. Advances and prospects of high-yield peanut cultivation in China [J]. Acta Agronomica Sinica, 2025, 51(7): 1703-1711.
[12] HUO Jian-Zhe, YU Ai-Zhong, WANG Yu-Long, WANG Peng-Fei, YIN Bo, LIU Ya-Long, ZHANG Dong-Ling, JIANG Ke-Qiang, PANG Xiao-Neng, WANG Feng. Effect of organic manure substitution for chemical fertilizer on yield, quality, and nitrogen utilization of sweet maize in oasis irrigation areas [J]. Acta Agronomica Sinica, 2025, 51(7): 1887-1900.
[13] DONG Wei-Jin, ZHANG Ya-Feng, LI Qi-Yun, LU Yang, ZHANG Zheng-Kun, SUI Li. Effects of Beauveria bassiana colonization on maize growth and yield under elevated CO2 concentration [J]. Acta Agronomica Sinica, 2025, 51(7): 1874-1886.
[14] WU Liu-Ge, CHEN Jian, ZHANG Xin, DENG Ai-Xing, SONG Zhen-Wei, ZHENG Cheng-Yan, ZHANG Wei-Jian. Changes in yield and quality traits of nationally approved winter wheat varieties in China over last twenty years [J]. Acta Agronomica Sinica, 2025, 51(7): 1814-1826.
[15] ZHAO Jia-Wen, LI Zi-Hong, OU Xing-Yu, WANG Yi-Lang, DING Xiao-Fei, LIANG Yue-Yao, DING Wen-Jin, ZHANG Hai-Peng, MA Shang-Yu, FAN Yong-Hui, HUANG Zheng-Lai, ZHANG Wen-Jing. Effects of nitrogen and potassium fertilizer management on grain yield and quality of weak-gluten wheat [J]. Acta Agronomica Sinica, 2025, 51(7): 1914-1933.
Viewed
Full text


Abstract

Cited

  Shared   
  Discussed   
No Suggested Reading articles found!