Welcome to Acta Agronomica Sinica,

Acta Agronomica Sinica ›› 2025, Vol. 51 ›› Issue (11): 2996-3004.doi: 10.3724/SP.J.1006.2025.55027

• CROP GENETICS & BREEDING·GERMPLASM RESOURCES·MOLECULAR GENETICS • Previous Articles     Next Articles

Screening and evaluation of peanut germplasms for resistance to aflatoxin production

CUI Meng-Jie1(), WANG Du2, QI Fei-Yan1, SUN Zi-Qi1, GUO Jing-Kun1, LIU Hua1, HUANG Bing-Yan1, DONG Wen-Zhao1, DAI Xiao-Dong1, HAN Suo-Yi1,*(), ZHANG Xin-You1,*()   

  1. 1 Institute of Crop Molecular Breeding, Henan Academy of Agricultural Sciences / The Shennong Laboratory / Key Laboratory of Oil Crops in Huanghuaihai Plains, Ministry of Agriculture and Rural Affairs / Henan Provincial Key Laboratory for Oil Crops Improvement, Zhengzhou 450002, Henan, China
    2 Key Laboratory of Detection for Mycotoxins, Ministry of Agriculture and Rural Affairs / Oil Crops Research Institute, Chinese Academy of Agricultural Sciences, Wuhan 430062, Hubei, China
  • Received:2025-04-11 Accepted:2025-07-09 Online:2025-11-12 Published:2025-07-17
  • Contact: *E-mail: haasxinyou@163.com; E-mail: suoyi_han@126.com
  • Supported by:
    Excellent Youth Fund Project of Henan Academy of Agricultural Sciences(2024YQ03);Youth Fund Project of National Natural Science Foundation of China(32301851);Henan Province Science and Technology R&D Joint Fund(242301420023);Science and Technology Research Project of Henan Province(242102110308)

Abstract:

Aflatoxin contamination is a major constraint to the healthy development of the peanut industry. Breeding peanut varieties with resistance to aflatoxin production is an effective strategy for the fundamental prevention and control of aflatoxin contamination. In this study, the resistance to aflatoxin production was evaluated in both domestic and exotic peanut germplasms previously identified as resistant to Aspergillus flavus infection. The concentrations of aflatoxin B1 (AFB1) and B2 (AFB2) in peanut kernels were determined using high-performance liquid chromatography-tandem mass spectrometry (HPLC-MS/MS) to screen for aflatoxin-resistant germplasms. The study also assessed the correlations between aflatoxin content and infection index, as well as kernel nutritional quality. In addition, differences in aflatoxin content among germplasms of different botanical and plant types were analyzed. Results showed that 13 peanut germplasms, selected from 320 accessions with stable resistance to A. flavus infection, exhibited significantly lower AFB1 levels than the aflatoxin-resistant control. Among these, C203 and C206 had AFB1 concentrations below 10.00 mg kg-1, indicating consistently high resistance to both infection and aflatoxin production. Correlation analysis revealed a highly significant positive relationship between AFB1 and AFB2 contents (P < 0.001), as well as between infection index and aflatoxin content (P < 0.001). No significant correlation was observed between aflatoxin content and kernel nutritional quality traits of kernels. Analysis of different botanical types and plant types indicated that aflatoxin-resistant materials were more prevalent from peanut germplasms with var. hypogaea/prostrate. In conclusion, 13 peanut germplasms with stable resistance to both A. flavus infection and aflatoxin production were identified, providing valuable genetic resources for the discovery of aflatoxin resistance genes and the development of resistant peanut varieties.

Key words: peanut, aflatoxin, genetic resources, aflatoxin-resistant, novel resistance resource

Table 1

Reported peanut varieties with A. flavus resistance"

抗性类型
Resistance type
品种
Varieties
抗侵染 Resistance to A. flavus infection J11, 粤油9号, 粤油20号, PI337394F, 闽花6号
J11, Yueyou 9, Yueyou 20, PI337394F, Minhua 6
抗产毒 Resistance to aflatoxin production 中花6号Zhonghua 6
兼抗侵染和产毒
Resistance both to A. flavus infection and aflatoxin production
花育23, 花育616, 花育9121, QT1068, QT1107, QT0790, QT0918
Huayu 23, Huayu 616, Huayu 9121, QT1068, QT1107, QT0790, QT0918

Fig. 1

Frequency distribution of AFB1 and AFB2 contents in peanut kernels"

Table 2

Analysis of variance of aflatoxin content"

毒素种类
Aflatoxin type
极小值
Min.
(mg kg-1)
极大值
Max.
(mg kg-1)
均值
Mean
(mg kg-1)
标准差
SD
变异系数
CV (%)
偏度
Skewness
峰度
Kurtosis
AFB1 2.11 133.50 47.25 24.01 50.82 0.78 0.59
AFB2 0.27 27.68 6.80 4.43 65.20 1.51 3.51

Table 3

Botanical type, plant type, sugar, AFB1 and AFB2 content of thirteen peanut germplasms with stable resistance to A. flavus infection"

编号
Number
侵染指数
Infection index
AFB1含量
AFB1 content (mg kg-1)
AFB2含量
AFB2 content (mg kg-1)
植物学类型
Botanical type
株型
Plant type
C115 22.00 15.36 2.13 Var. hypogaea 直立 Erect type
C130 18.56 28.95 4.07 Var. hypogaea 半蔓生 Semi-prostrate type
C172 14.67 10.85 1.68 Var. hypogaea 直立 Erect type
C174 24.28 12.32 0.91 Var. vulgaris 直立 Erect type
C203 6.44 2.11 0.36 Var. hypogaea 蔓生 Prostrate type
C206 10.11 6.49 0.97 Var. hypogaea 直立 Erect type
C220 24.59 26.58 5.30 Var. hypogaea 直立 Erect type
C270 22.56 25.78 2.08 Var. hypogaea 直立 Erect type
C273 14.22 6.08 0.83 Var. hypogaea 半蔓生 Semi-prostrate type
C331 22.28 10.31 2.19 Var. hypogaea 半蔓生 Semi-prostrate type
C344 20.78 21.08 3.57 Var. hypogaea 蔓生 Prostrate type
C354 19.67 19.27 2.40 Var. hypogaea 蔓生 Prostrate type
C368 18.78 18.00 3.23 Var. hypogaea 半蔓生 Semi-prostrate type
编号
Number
籽仁百粒重
Hundred-kernel weight (g)
籽仁面积
Kernel area (mm2)
蔗糖含量
Sugar content (%)
油脂含量
Oil content (%)
蛋白含量
Protein content (%)
C115 111.60 181.60 5.50 55.18 19.54
C130 67.80 100.34 4.31 54.87 22.09
C172 100.00 158.60 4.97 54.26 22.42
C174 64.60 85.38 3.45 55.27 22.86
C203 62.20 91.93 5.33 54.89 19.85
C206 116.80 141.67 5.79 53.36 22.09
C220 95.60 136.06 3.62 58.01 19.46
C270 83.20 143.70 5.11 52.39 23.43
C273 62.80 88.88 5.21 54.12 22.09
C331 65.60 133.13 5.51 54.42 20.34
C344 52.80 100.34 4.91 53.93 21.91
C354 61.60 95.17 4.39 55.02 21.86
C368 87.20 131.22 4.97 53.13 23.02

Fig. 2

Frequency distribution and correlation analysis of infection index, AFB1, and AFB2 content II: infection index; AFB1: aflatoxin B1; AFB2: aflatoxin B2; ***: significant correlation at P ≤ 0.001 (t-test)."

Fig. 3

Correlation analysis between AFB1 and AFB2 content and nutritional quality traits Suc: sucrose; Pr: protein; Oa: oleic acid; La: linoleic acid; Pa: palmitic acid; Sa: stearic acid; Aa: arachidic acid; Beh: behenic acid; Ara: arachidonic acid; Thr: threonine; Val: valine; Met: methionine; Ile: isoleucine; Leu: leucine; Phe: phenylalanine; Lys: lysine; His: histidine; Arg: arginine. *, **, *** mean significant correlation at the 0.05, 0.01, and 0.001 probability levels, respectively (t-test)."

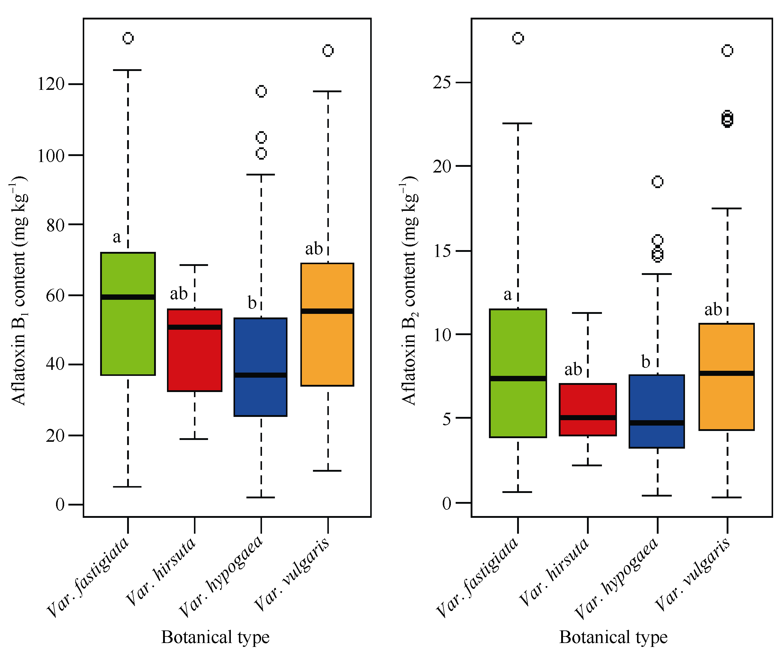
Fig. 4

Box plots of AFB1 and AFB2 contents among different botanical types of peanut Different lowercase letters indicate significant differences at P ≤ 0.05 (one-way ANOVA)."

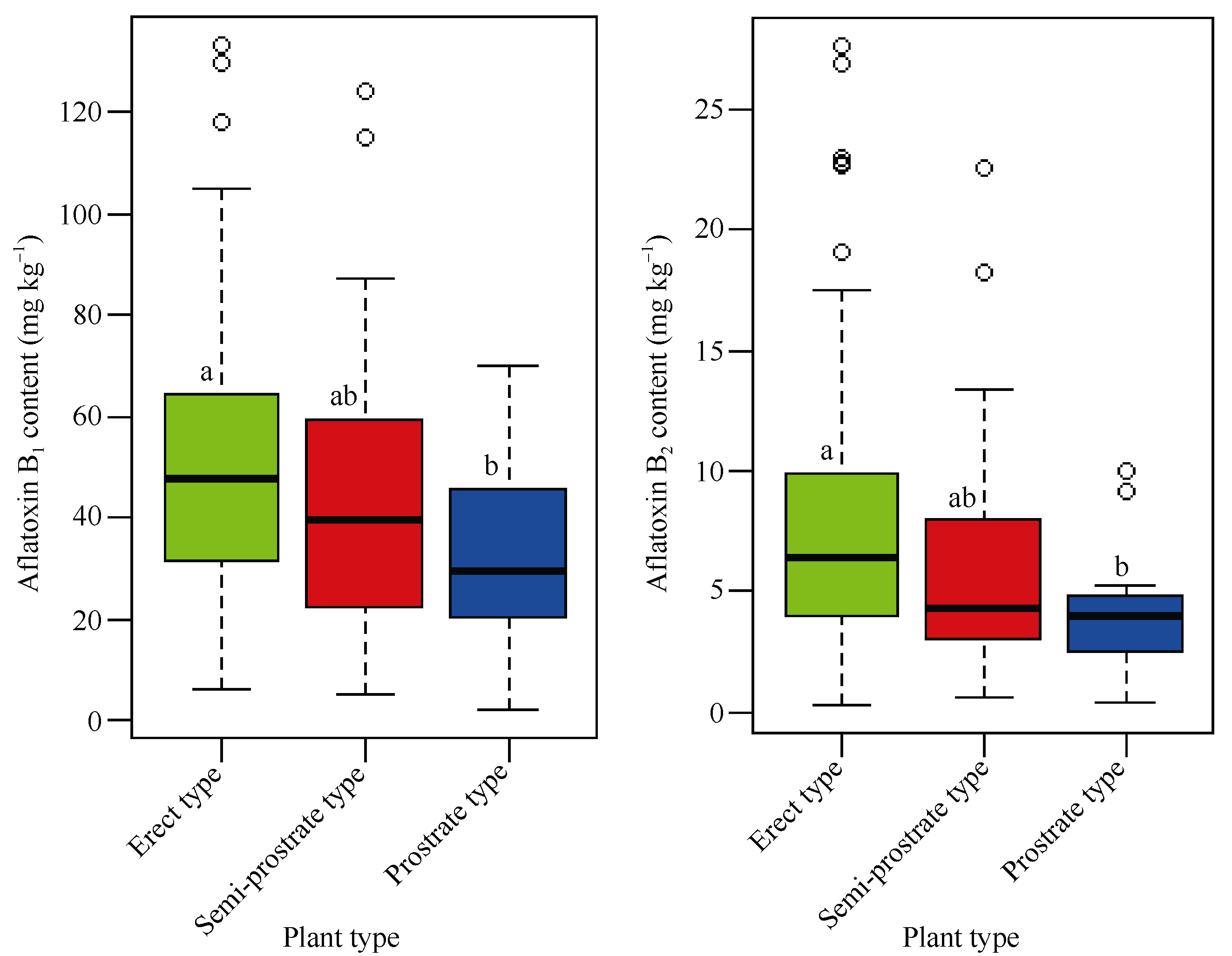
Fig. 5

Boxplot of infection index in different plant types of peanuts Different lowercase letters indicate significant differences at P ≤ 0.05 (one-way ANOVA)."

[1] 万书波, 王才斌, 郭峰, 单世华. 山东花生产业现状、问题及“十二五”发展对策. 山东农业科学, 2011, 43(1): 114-118.
Wan S B, Wang C B, Guo F, Shan S H. Status, problems of Shandong peanut industry and their countermeasures in the twelfth Five-year Plan. Shandong Agric Sci, 2011, 43(1): 114-118 (in Chinese).
[2] Liao B S, Zhuang W J, Tang R H, Zhang X Y, Shan S H, Jiang H F, Huang J Q. Peanut aflatoxin and genomics research in China: progress and perspectives. Peanut Sci, 2009, 36: 21-28.
[3] Soni P, Gangurde S S, Ortega-Beltran A, Kumar R, Parmar S, Sudini H K, Lei Y, Ni X Z, Huai D X, Fountain J C, et al. Functional biology and molecular mechanisms of host-pathogen interactions for aflatoxin contamination in groundnut (Arachis hypogaea L.) and maize (Zea mays L.). Front Microbiol, 2020, 11: 227.
[4] Bhatnagar-Mathur P, Sunkara S, Bhatnagar-Panwar M, Waliyar F, Sharma K K. Biotechnological advances for combating Aspergillus flavus and aflatoxin contamination in crops. Plant Sci, 2015, 234: 119-132.
doi: 10.1016/j.plantsci.2015.02.009 pmid: 25804815
[5] 杨永. 花生油压榨中黄曲霉毒素的预防策略研究. 食品安全导刊, 2021, (34): 187-189.
Yang Y. Study on prevention strategy of aflatoxin in peanut oil pressing. China Food Saf Mag, 2021, (34): 187-189 (in Chinese with English abstract).
[6] Gangurde S S, Korani W, Bajaj P, Wang H, Fountain J C, Agarwal G, Pandey M K, Abbas H K, Chang P K, Holbrook C C, et al. Aspergillus flavus pangenome (AflaPan) uncovers novel aflatoxin and secondary metabolite associated gene clusters. BMC Plant Biol, 2024, 24: 354.
doi: 10.1186/s12870-024-04950-8 pmid: 38693487
[7] Shabeer S, Asad S, Jamal A, Ali A. Aflatoxin contamination, its impact and management strategies: an updated review. Toxins, 2022, 14: 307.
[8] Yu B, Huai D, Huang L, Kang Y, Ren X P, Chen Y N, Zhou X J, Luo H Y, Liu N, Chen W G, et al. Identification of genomic regions and diagnostic markers for resistance to aflatoxin contamination in peanut (Arachis hypogaea L.). BMC Genet, 2019, 20: 32.
[9] Nigam S, Waliyar F, Aruna R S N, Reddy S V, Kumar P L, Craufurd P Q, Diallo A T, Ntare B R, Upadhyaya H D. Breeding peanut for resistance to aflatoxin contamination at ICRISAT. Peanut Sci, 2009, 36: 42-49.
[10] Mehan V K, McDonald D, Rajagopalan K. Resistance of peanut genotypes to seed infection by Aspergillus flavus in field trials in India. Peanut Sci, 1987, 14: 17-21.
[11] 洪彦彬, 李少雄, 刘海燕, 周桂元, 陈小平, 温世杰, 梁炫强. SSR标记与花生抗黄曲霉性状的关联分析. 分子植物育种, 2009, 7: 360-364.
Hong Y B, Li S X, Liu H Y, Zhou G Y, Chen X P, Wen S J, Liang X Q. Correlation analysis of SSR markers and host resistance to Aspergillus flavus infection in peanut (Arachis hypogaea L.). Mol Plant Breed, 2009, 7: 360-364 (in Chinese with English abstract).
[12] 庄伟建, 方树民, 李毓, 陈永水, 程忠, 陈玉森. 花生品种(系)抗黄曲霉筛选鉴定. 福建农业学报, 2007, 22: 261-265.
Zhuang W J, Fang S M, Li Y, Chen Y S, Cheng Z, Chen Y S. Screening and identification of resistant peanut varieties and strains to Aspergillus flavus. Fujian J Agric Sci, 2007, 22: 261-265 (in Chinese with English abstract).
[13] Mixon A C, Rogers K M. Peanut accessions resistant to seed infection by Aspergillus flavus. Agron J, 1973, 65: 560-562.
[14] 沈文凤, 王明清, 于丽娜, 宋昱, 高远, 迟晓元, 杨珍, 江晨, 毕洁, 王希平. 抗黄曲霉侵染与产毒的花生品种筛选. 花生学报, 2024, 53(2): 77-82.
Shen W F, Wang M Q, Yu L N, Song Y, Gao Y, Chi X Y, Yang Z, Jiang C, Bi J, Wang X P. Screening of peanut varieties resistant to Aspergillus flavus infection and toxicity. J Peanut Sci, 2024, 53(2): 77-82 (in Chinese with English abstract).
[15] 蒋艺飞, 喻博伦, 丁膺宾, 陈伟刚, 郭建斌, 陈海文, 罗怀勇, 刘念, 黄莉, 周小静, 等. 花生抗黄曲霉大果种质的创制与鉴定. 中国油料作物学报, 2022, 44: 72-77.
doi: 10.19802/j.issn.1007-9084.2020304
Jiang Y F, Yu B L, Ding Y B, Chen W G, Guo J B, Chen H W, Luo H Y, Liu N, Huang L, Zhou X J, et al. Development and characterization of novel large-podded peanut genotypes with resistance to aflatoxin contamination. Chin J Oil Crop Sci, 2022, 44: 72-77 (in Chinese with English abstract).
[16] 晋高锐, 吴小丽, 邓丽, 陈玉宁, 喻博伦, 郭建斌, 丁膺宾, 刘念, 罗怀勇, 陈伟刚, 等. 兼抗黄曲霉侵染和产毒高油酸花生新种质的创制与评价. 作物学报, 2025, 51: 687-695.
doi: 10.3724/SP.J.1006.2025.44087
Jin G R, Wu X L, Deng L, Chen Y N, Yu B L, Guo J B, Ding Y B, Liu N, Luo H Y, Chen W G, et al. Development and characterization of novel peanut genetic stocks with high oleic acid and enhanced resistance both to Aspergillus flavus infection and aflatoxin production. Acta Agron Sin, 2025, 51: 687-695 (in Chinese with English abstract).
[17] 王后苗. 花生抗黄曲霉菌产毒机制的研究. 中国农业科学院博士学位论文, 北京, 2016.
Wang H M. Study on the Mechanism of Peanut Resistance to Aspergillus flavus. PhD Dissertation of Chinese Academy of Agricultural Sciences, Beijing, China, 2016 (in Chinese with English abstract).
[18] Fu J Y, Gu M, Yan H L, Zhang M H, Xie H L, Yue X F, Zhang Q, Li P W. Protein biomarker for early diagnosis of microbial toxin contamination: using Aspergillus flavus as an example. Food Front, 2023, 4: 2013-2023.
[19] 崔梦杰, 孙子淇, 齐飞艳, 刘华, 徐静, 杜培, 黄冰艳, 董文召, 韩锁义, 张新友. 国内外322份花生种质资源黄曲霉侵染抗性评价. 中国农业科学, 2025, 58: 2303-2315.
doi: 10.3864/j.issn.0578-1752.2025.12.003
Cui M J, Sun Z Q, Qi F Y, Liu H, Xu J, Du P, Huang B Y, Dong W Z, Han S Y, Zhang X Y. Evaluation of 322 peanut germplasms for resistance to Aspergillus flavus infection. Sci Agric Sin, 2025, 58: 2303-2315 (in Chinese with English abstract).
[20] 崔梦杰. 花生种子黄曲霉抗性相关基因的鉴定与分析. 南京农业大学博士学位论文, 江苏南京, 2022.
Cui M J. Identification and Analysis of Genes Associated with Resistance to Aspergillus flavus in Cultivated Peanut (Arachis hypogaea L.) Seeds. PhD Dissertation of Nanjing Agricultural University, Nanjing, Jiangsu, China, 2022 (in Chinese with English abstract).
[21] Zheng Z, Sun Z Q, Qi F Y, Fang Y J, Lin K, Pavan S, Huang B Y, Dong W Z, Du P, Tian M D, et al. Chloroplast and whole-genome sequencing shed light on the evolutionary history and phenotypic diversification of peanuts. Nat Genet, 2024, 56: 1975-1984.
doi: 10.1038/s41588-024-01876-7 pmid: 39138385
[22] 秦利, 刘华, 杜培, 董文召, 黄冰艳, 韩锁义, 张忠信, 齐飞艳, 张新友. 基于近红外光谱法的花生籽仁中蔗糖含量的测定. 中国油料作物学报, 2016, 38: 666-671.
doi: 10.7505/j.issn.1007-9084.2016.05.018
Qin L, Liu H, Du P, Dong W Z, Huang B Y, Han S Y, Zhang Z X, Qi F Y, Zhang X Y. Determination of sucrose content in peanut seed kernel based on near infrared spectroscopy. Chin J Oil Crop Sci, 2016, 38: 666-671 (in Chinese with English abstract).
doi: 10.7505/j.issn.1007-9084.2016.05.018
[23] 禹山林. 中国花生品种及其系谱. 上海: 上海科学技术出版社, 2008.
Yu S L. Peanut Varieties and Their Pedigrees in China. Shanghai: Shanghai Scientific & Technical Publishers, 2008 (in Chinese).
[24] Kew M C. Aflatoxins as a cause of hepatocellular carcinoma. J Gastrointestin Liver Dis, 2013, 22: 305-310.
pmid: 24078988
[25] Caceres I, Khoury A A, Khoury R E, Lorber S, Oswald I P, Khoury A E, Atoui A, Puel O, Bailly J D. Aflatoxin biosynthesis and genetic regulation: a review. Toxins (Basel), 2020, 12: 150.
[26] Settaluri V S, Kandala C V K, Puppala N, Sundaram J. Peanuts and their nutritional aspects: a review. Food Nutr Sci, 2012, 3: 1644-1650.
[27] Huang L, He H Y, Chen W G, Ren X P, Chen Y N, Zhou X J, Xia Y L, Wang X L, Jiang X G, Liao B S, et al. Quantitative trait locus analysis of agronomic and quality-related traits in cultivated peanut (Arachis hypogaea L.). Theor Appl Genet, 2015, 128: 1103-1115.
doi: 10.1007/s00122-015-2493-1 pmid: 25805315
[28] Cuero R G, Osuji G O. Aspergillus flavus-induced chitosanase in germinating corn and peanut seeds: A. flavus mechanism for growth dominance over associated fungi and concomitant aflatoxin production. Food Addit Contam, 1995, 12: 479-483.
pmid: 7664946
[29] Chen Z Y, Brown R L, Rajasekaran K, Damann K E, Cleveland T E. Identification of a maize kernel pathogenesis-related protein and evidence for its involvement in resistance to Aspergillus flavus infection and aflatoxin production. Phytopathology, 2006, 96: 87-95.
doi: 10.1094/PHYTO-96-0087 pmid: 18944208
[1] WAN Shu-Bo, ZHANG Jia-Lei, GAO Hua-Xin, WANG Cai-Bin. Advances and prospects of high-yield peanut cultivation in China [J]. Acta Agronomica Sinica, 2025, 51(7): 1703-1711.
[2] GUO Teng-Da, CUI Meng-Jie, CHEN Lin-Jie, HAN Suo-Yi, GUO Jing-Kun, WU Chen-Di, FU Liu-Yang, HUANG Bing-Yan, DONG Wen-Zhao, ZHANG Xin-You. Cloning and expression analysis of the phosphatidylinositol transfer protein AhSFH gene in peanuts responsive to Aspergillus flavus infection [J]. Acta Agronomica Sinica, 2025, 51(6): 1489-1500.
[3] LI Wen-Jia, LIAO Yong-Jun, HUANG Lu, LU Qing, LI Shao-Xiong, CHEN Xiao-Ping, JIN Jing-Wei, WANG Run-Feng. Genome-wide associate analysis of flowering traits and identification of candidate genes in peanut [J]. Acta Agronomica Sinica, 2025, 51(5): 1400-1408.
[4] CHI Xiao-Yuan, BI Jing-Nan, ZHAO Jian-Xin, CHEN Na, PAN Li-Juan, JIANG Xiao, YIN Xiang-Zhen, ZHAO Xu-Hong, MA Jun-Qing, XU Jing. Evaluation of mechanical properties of peanut pods and screening of early maturing germplasm [J]. Acta Agronomica Sinica, 2025, 51(4): 943-957.
[5] LIN Wei-Jin, GUO Ze-Jia, LIU Hao, LI Hai-Fen, WANG Run-Feng, HUANG Lu, YU Qian-Xia, CHEN Xiao-Ping, HONG Yan-Bin, LI Shao-Xiong, LU Qing. QTL mapping and candidate gene analysis of peanut pod yield-related traits [J]. Acta Agronomica Sinica, 2025, 51(4): 969-981.
[6] JIN Xin-Xin, SONG Ya-Hui, SU Qiao, YANG Yong-Qing, LI Yu-Rong, WANG Jin. Identification and comprehensive evaluation of drought resistance in high oleic acid Jihua peanut varieties [J]. Acta Agronomica Sinica, 2025, 51(3): 797-811.
[7] JIN Gao-Rui, WU Xiao-Li, DENG Li, CHEN Yu-Ning, YU Bo-Lun, GUO Jian-Bin, DING Ying-Bin, LIU Nian, LUO Huai-Yong, CHEN Wei-Gang, HUANG Li, ZHOU Xiao-Jing, HUAI Dong-Xin, TAN Jia-Zhuang, JIANG Hui-Fang, REN Li, LEI Yong, LIAO Bo-Shou. Development and characterization of novel peanut genetic stocks with high oleic acid and enhanced resistance both to Aspergillus flavus infection and aflatoxin production [J]. Acta Agronomica Sinica, 2025, 51(3): 687-895.
[8] HU Peng-Ju, GUO Song, SONG Ya-Hui, JIN Xin-Xin, SU Qiao, YANG Yong-Qing, WANG Jin. Genetic and QTL mapping analysis of oil content in peanut across multiple environments [J]. Acta Agronomica Sinica, 2025, 51(2): 324-333.
[9] ZHAO Fei-Fei, LI Shao-Xiong, LIU Hao, LI Hai-Fen, WANG Run-Feng, HUANG Lu, YU Qian-Xia, HONG Yan-Bin, CHEN Xiao-Ping, LU Qing, CAO Yu-Man. Association mapping of internode and lateral branch internode length of peanut main stem and analysis of candidate genes [J]. Acta Agronomica Sinica, 2025, 51(2): 548-556.
[10] WANG Run-Feng, LI Wen-Jia, LIAO Yong-Jun, LU Qing, LIU Hao, LI Hai-Fen, LI Shao-Xiong, LIANG Xuan-Qiang, HONG Yan-Bin, CHEN Xiao-Ping. Evaluation of pod maturity and identification of early-maturing germplasm for core peanut germplasm resources [J]. Acta Agronomica Sinica, 2025, 51(2): 395-404.
[11] GUO Jian-Bin, YUAN Xiao-Yan, FU Ming-Lian, CHEN Wei-Gang, LUO Huai-Yong, LIU Nian, HUANG Li, ZHOU Xiao-Jing, JIANG Hui-Fang, LIAO Bo-Shou, LEI Yong. Differences in oil and sucrose content of peanuts in ecological regions at different altitudes and association study of sucrose content [J]. Acta Agronomica Sinica, 2025, 51(11): 3005-3012.
[12] LIU Yong-Hui, SHEN Yi, SHEN Yue, LIANG Man, SHA Qin, ZHANG Xu-Yao, CHEN Zhi-De. Cloning and functional analysis of drought-inducible promoter AhMYB44-11- Pro in peanut (Arachis hypogaea L.) [J]. Acta Agronomica Sinica, 2024, 50(9): 2157-2166.
[13] ZHU Rong-Yu, ZHAO Meng-Jie, YAO Yun-Feng, LI Yan-Hong, LI Xiang-Dong, LIU Zhao-Xin. Effects of straw returning methods and sowing depth on soil physical properties and emergence characteristics of summer peanut [J]. Acta Agronomica Sinica, 2024, 50(8): 2106-2121.
[14] YANG Qi-Rui, LI Lan-Tao, ZHANG Duo, WANG Ya-Xian, SHENG Kai, WANG Yi-Lun. Effect of phosphorus application on yield, quality, light temperature physiological characteristics, and root morphology in summer peanut [J]. Acta Agronomica Sinica, 2024, 50(7): 1841-1854.
[15] LU Qing, LIU Hao, LI Hai-Fen, WANG Run-Feng, HUANG Lu, LIANG Xuan-Qiang, CHEN Xiao-Ping, HONG Yan-Bin, LIU Hai-Yan, LI Shao-Xiong. Research on oil content screen with genomic selection and near infrared ray in peanut (Arachis hypogaea L.) [J]. Acta Agronomica Sinica, 2024, 50(4): 969-980.
Viewed
Full text


Abstract

Cited

  Shared   
  Discussed   
No Suggested Reading articles found!