欢迎访问作物学报,今天是

作物学报 ›› 2026, Vol. 52 ›› Issue (2): 603-619.doi: 10.3724/SP.J.1006.2026.51049

• 耕作栽培·生理生化 • 上一篇    下一篇

氮磷减施对不同强筋小麦品种产量和品质及其土壤生物学特性的影响

许倍铭(), 郝紫瑞(), 冯健超, 马耕, 王丽芳, 谢迎新, 王晨阳, 马冬云()   

  1. 河南农业大学农学院 / 国家小麦工程技术研究中心, 河南郑州 450046
  • 收稿日期:2025-05-20 接受日期:2025-09-10 出版日期:2026-02-12 网络出版日期:2025-09-24
  • 通讯作者: *马冬云 E-mail:xmzxmdy@126.com
  • 作者简介:许倍铭, E-mail: xbm970915@163.com;郝紫瑞, E-mail: haozirui789@163.com

    **同等贡献

  • 基金资助:
    国家重点研发计划项目(2021YFF1000203);河南省研究生教育改革与质量提升工程项目(YJS2024JD18)

Effects of nitrogen and phosphorus reduction on grain yield, quality, and soil biological properties in strong-gluten wheat varieties

Xu Bei-Ming(), Hao Zi-Rui(), Feng Jian-Chao, Ma Geng, Wang Li-Fang, Xie Ying-Xin, Wang Chen-Yang, Ma Dong-Yun()   

  1. College of Agronomy, Henan Agricultural University / National Engineering Research Center for Wheat, Zhengzhou 450046, Henan, China
  • Received:2025-05-20 Accepted:2025-09-10 Published:2026-02-12 Published online:2025-09-24
  • Contact: *Ma Dong-Yun E-mail:xmzxmdy@126.com
  • About author:

    **Contributed equally to this work

  • Supported by:
    National Key Research and Development Program of China(2021YFF1000203);Postgraduate Education Reform and Quality Improvement Project of Henan Province(YJS2024JD18)

摘要:

为明确氮、磷减施对强筋小麦品种产量、品质及其土壤生物学特性的影响, 本研究在大田条件下, 以科兴3302、豫州118和新麦26为试验材料, 于2021—2024年冬小麦生长季在河南开展氮、磷肥减施试验, 分别设置常规施肥(N/P2O5/K2O: 240/135/135 kg hm-2)、减施氮肥(2021—2022年度为不施N, P2O5/K2O按常规; 2022—2024年度为常规施N处理下减施30%, P2O5/K2O按常规)、减施磷肥(2021—2022年度为不施P2O5, N/K2O按常规; 2022—2024年度常规施P2O5处理下减施30%, N/K2O按常规)。结果表明, (1) 土壤特性方面: 第1年度减施氮、磷肥对土壤全氮、全磷和有机质含量没有显著影响, 而第2年度减氮处理下成熟期根际土壤全氮、全磷含量均显著低于常规施肥。减施氮、磷肥处理下土壤硝态氮和铵态氮含量、脲酶、蔗糖酶和磷酸酶活性均表现下降, 其中减氮处理较常规施肥显著下降。(2) 产量及其构成: 在减施磷肥处理下3个强筋小麦产量与常规施肥相比差异不显著, 但减氮处理第1年度产量与常规施肥之间无显著差异, 第2~3年度则较常规施肥显著下降。减施氮、磷肥主要通过穗数的降低影响产量, 其中减氮对产量的影响效应大于减磷, 且随着年际的增加, 影响效应加大。(3) 加工品质: 减施磷肥处理下, 多数小麦品种加工品质仍符合强筋或中强筋小麦标准, 而减施氮肥处理下各品种蛋白质含量、湿面筋含量和沉降值多呈显著下降趋势, 其中蛋白质含量平均下降0.85个百分点, 沉降值降低4.49 mL, 减施氮肥的影响效应大于减施磷肥。综上, 在本试验生态环境和土壤肥力条件下, 从保障产量、品质和提升肥料生产效率的层面而言, 第1年度不施氮肥、第2年度减氮30%可以在稳定产量、品质的基础上, 使氮肥偏生产力平均提高26.24%; 第1年度不施磷肥、第2~3年度减磷30%, 则相应使磷肥偏生产力平均提高34.45%。

关键词: 小麦, 氮肥减施, 磷肥减施, 土壤生物学特性, 产量

Abstract:

To evaluate the effects of nitrogen (N) and phosphorus (P) reduction on grain yield, quality, and soil biological properties in strong-gluten wheat varieties, a three-year field experiment (winter wheat seasons from 2021 to 2024) was conducted in Henan province using three cultivars: Kexing 3302, Yuzhou 118, and Xinmai 26. The experimental design included four treatments: (1) conventional fertilization (CF: N/P2O5/K2O = 240/135/135 kg hm-2), (2) nitrogen reduction (RN: no N application in 2021-2022, and 30% N reduction relative to CF in 2022-2024, with P and K maintained at CF levels), and (3) phosphorus reduction (RP: no P application in 2021-2022, and 30% P reduction in 2022-2024, with N and K maintained at CF levels). Results indicated that N and P reductions had no significant effects on soil total N (TN), total P (TP), or organic matter content in the first year. However, under RN treatment, TN and TP at maturity were significantly lower than those under CF during the 2022-2023 growing season. Both N and P reductions decreased soil nitrate-N and ammonium-N concentrations. Soil enzyme activities (urease, invertase, and phosphatase) showed declining trends under nutrient reduction, with RN causing significantly greater reductions than CF. P reduction had no significant effect on yield across all three varieties, while N reduction had no impact in the first year but led to significant yield losses in the second and third years. These losses were primarily due to reduced spike numbers, with RN having a more pronounced negative effect than RP, which intensified over time. Grain processing quality under RP generally met the standards for strong- or medium-strong gluten wheat, whereas RN significantly reduced protein content (by 0.85%) and sedimentation value (by 4.49 mL) compared to CF. The negative impact of RN on quality parameters was greater than that of RP. Under current agroecological and soil fertility conditions, omitting N fertilizer in the first year and applying a 30% N reduction in the second year maintained grain yield and quality while increasing N partial factor productivity by an average of 26.24%. Similarly, omitting P in the first year and applying a 30% P reduction in the second and third years stabilized yield and quality while improving P partial factor productivity by an average of 34.45%. These findings offer empirical support for optimizing fertilizer strategies in strong-gluten wheat production systems.

Key words: wheat, reduction of nitrogen fertilizer, reduction of phosphate fertilizer, soil biological properties, yield

图1

小麦生长季温度和降水量"

表1

本试验施肥量和施肥方式"

年份
Year
处理
Treatment
氮肥Nitrogen (N) 磷肥 Phosphorus (P2O5) 钾肥 Potassium (K2O)
总量
Amount
施入方式
Method
总量
Amount
施入方式
Method
总量
Amount
施入方式
Method
2021-
2022
常规施肥CF 240 kg hm-2 50%基施+50%拔节追施
50% basal+50% topdressing
135 kg hm-2 基施Basal 135 kg hm-2 基施Basal
减氮处理RN 0 kg hm-2 135 kg hm-2 基施Basal 135 kg hm-2 基施Basal
减磷处理RP 240 kg hm-2 50%基施+50%拔节追施
50% basal+50% topdressing
0 kg hm-2 135 kg hm-2 基施Basal
2022-
2023
常规施肥CF 240 kg hm-2 50%基施+50%拔节追施
50% basal+50% topdressing
135 kg hm-2 基施Basal 135 kg hm-2 基施Basal
减氮处理RN 168 kg hm-2 50%基施+50%拔节追施
50% basal+50% topdressing
135 kg hm-2 基施Basal 135 kg hm-2 基施Basal
减磷处理RP 240 kg hm-2 50%基施+50%拔节追施
50% basal+50% topdressing
94.5 kg hm-2 基施Basal 135 kg hm-2 基施Basal
2023-
2024
常规施肥CF 240 kg hm-2 50%基施+50%拔节追施
50% basal+50% topdressing
135 kg hm-2 基施Basal 135 kg hm-2 基施Basal
减氮处理RN 168 kg hm-2 50%基施+50%拔节追施
50% basal+50% topdressing
135 kg hm-2 基施Basal 135 kg hm-2 基施Basal
减磷处理RP 240 kg hm-2 50%基施+50%拔节追施
50% basal+50% topdressing
94.5 kg hm-2 基施Basal 135 kg hm-2 基施Basal

表2

氮磷减施对不同小麦品种产量及其构成因素的影响"

年份
Year
品种
Variety
处理
Treatment
穗数
Spike number
(×104 hm-2)
穗粒数
Kernel per spike
千粒重
1000-kernel weight (g)
产量
Grain yield
(kg hm-2)
2021-2022 科兴3302
KX3302
常规施肥CF 640.00±57.79 a 40.50±3.70 a 38.50±0.08 b 8486.00±433.86 a
减磷处理RP 537.50±45.57 a 47.23±5.06 a 39.22±1.21 ab 8462.85±1377.50 a
减氮处理RN 507.50±110.59 a 43.10±6.36 a 43.28±3.47 a 8046.10±1037.87 a
豫州118
YZ118
常规施肥CF 585.00±109.66 a 38.70±1.75 a 46.50±0.60 c 8945.10±1572.05 a
减磷处理RP 568.75±119.87 a 38.37±3.95 a 48.61±0.87 b 9015.51±891.47 a
减氮处理RN 447.50±50.18 a 38.13±5.62 a 53.79±0.61 a 7802.00±1016.20 a
新麦26
XM26
常规施肥CF 596.25±112.54 ab 43.40±1.97 a 39.00±2.46 a 8578.30±894.12 a
减磷处理RP 660.00±104.76 a 47.37±2.45 a 39.19±2.09 a 10,414.73±1000.81 a
减氮处理RN 482.50±54.84 b 44.67±3.34 a 43.80±3.14 a 8023.10±573.71 a
ANOVA F-value
V 0.62 6.31** 63.75*** 1.26
T 7.80** 1.32 20.61*** 4.76*
V×T 1.20 0.58 0.44 1.12
2022-2023 科兴3302
KX3302
常规施肥CF 573.75±40.65 a 43.11±2.67 a 38.40±0.49 a 8073.50±24.92 a
减磷处理RP 552.50±88.38 a 44.44±2.48 a 38.92±2.02 a 8121.42±279.60 a
减氮处理RN 611.67±100.17 a 39.73±1.20 a 37.47±1.32 a 7739.87±742.32 a
豫州118
YZ118
常规施肥CF 601.67±101.56 a 39.70±0.57 a 45.00±0.13 ab 9136.46±1332.96 a
减磷处理RP 535.00±104.08 a 41.33±0.38 a 46.15±0.87 a 8674.51±1150.29 a
减氮处理RN 516.25±15.91 a 40.17±0.70 a 44.27±1.16 b 7802.28±551.34 b
2022-2023 新麦26
XM26
常规施肥CF 602.50±81.31 a 42.07±5.11 a 39.20±1.30 a 8445.01±899.98 a
减磷处理RP 563.75±62.07 a 39.97±3.71 a 38.58±1.64 a 7387.70±534.11 ab
减氮处理RN 592.50±61.17 a 39.03±0.61 a 36.02±0.51 b 7080.21±453.66 b
ANOVA F-value
V 0.51 1.85 136.56*** 4.24*
T 1.32 1.86 1.90 3.83*
V×T 0.72 0.95 5.80** 0.92
2023-2024 科兴3302
KX3302
常规施肥CF 712.18±58.87 a 37.86±0.87 a 37.59±0.90 a 8599.84±458.83 a
减磷处理RP 654.24±17.15 a 37.76±3.10 a 39.61±1.32 a 8338.03±1022.00 a
减氮处理RN 621.43±75.34 a 37.57±4.18 a 36.87±2.27 a 7247.46±417.40 b
新麦26
XM26
常规施肥CF 649.29±98.50 a 42.57±1.05 a 36.60±1.62 a 8559.26±771.34 a
减磷处理RP 647.14±94.58 a 39.02±2.67 b 36.40±0.90 a 7754.70±516.79 a
减氮处理RN 505.29±69.80 b 40.59±0.90 ab 36.76±0.75 a 6405.83±890.60 b
ANOVA F-value
V 3.15 6.57* 4.77* 1.88
T 4.06* 0.83 1.20 8.47**
V×T 0.81 0.73 1.97 0.44

表3

氮磷减施对不同小麦品种根际土壤全氮、全磷和有机质含量的影响"

年份Year 品种
Variety
处理Treatment 全氮 Total N (g kg-1) 全磷Total P (g kg-1) 有机质Organic matter (g kg-1)
JS AS MS JS AS MS JS AS MS
2021-
2022
科兴3302
KX3302
常规施肥CF 1.35±
0.03 a
1.21±
0.08 a
1.09±
0.09 a
1.02±
0.04 a
1.00±
0.00 a
1.00±
0.10 a
14.34±
0.85 a
14.25±
1.31 a
14.66±
0.67 a
减磷处理RP 1.20±
0.02 b
1.17±
0.07 a
1.19±
0.12 a
0.99±
0.03 a
0.98±
0.00 a
0.90±
0.03 a
13.67±
0.36 a
13.89±
0.05 a
13.73±
0.15 ab
减氮处理RN 1.13±
0.03 c
1.24±
0.08 a
1.07±
0.01 a
1.01±
0.01 a
0.98±
0.04 a
0.92±
0.01 a
15.19±
1.81a
13.95±
0.50 a
13.02±
0.96 b
豫州118
YZ118
常规施肥CF 1.25±
0.05 a
1.24±
0.09 a
1.07±
0.04 a
1.03±
0.02 a
1.10±
0.07 a
0.95±
0.03 a
13.90±
0.23 b
15.04±
0.92 a
14.42±
0.33 a
减磷处理RP 1.25±
0.03 a
1.18±
0.03 a
1.16±
0.01 a
1.00±
0.01 a
1.06±
0.02 a
0.88±
0.02 b
14.95±
0.16 a
13.65±
0.20 a
13.22±
0.22 b
减氮处理RN 1.05±
0.02 b
1.13±
0.04 a
1.20±
0.17 a
1.05±
0.04 a
1.07±
0.00 a
0.82±
0.00 c
14.21±
0.08 b
13.37±
1.37 a
13.25±
0.08 b
新麦26
XM26
常规施肥CF 1.18±
0.01 a
1.15±
0.04 a
1.16±
0.04 a
1.00±
0.05 a
1.02±
0.09 a
0.91±
0.05 a
14.42±
0.45 a
13.72±
0.72 a
15.00±
0.18 a
减磷处理RP 1.13±
0.03 b
1.25±
0.07 a
1.21±
0.09 a
1.03±
0.05 a
0.97±
0.04 a
0.87±
0.05 a
13.75±
0.15 b
13.76±
1.28 a
13.82±
1.39 a
减氮处理RN 1.12±
0.02 b
1.21±
0.01 a
1.17±
0.08 a
0.83±
0.10 a
1.00±
0.02 a
0.90±
0.04 a
14.30±
0.14 ab
14.99±
0.14 a
14.14±
0.83 a
ANOVA F-value
V 1.70 0.29 0.43 2.72 9.81** 3.09 0.30 0.07 2.48
T 6.92** 0.41 1.28 4.22* 1.42 6.47** 0.98 0.95 8.75**
V×T 3.02* 1.49 0.29 6.82** 0.05 1.31 2.51 2.16 0.49
2022-
2023
科兴3302
KX3302
常规施肥CF 0.83±
0.04 b
1.21±
0.13 a
1.20±
0.02 a
0.86±
0.02 a
0.86±
0.01 a
0.91±
0.01 a
17.57±
0.35 a
21.56±
3.27 a
18.09±
1.34 a
减磷处理RP 0.86±
0.08 b
1.07±
0.05 a
1.16±
0.01 a
0.79±
0.00 b
0.78±
0.02 b
0.72±
0.05 b
15.67±
0.62 b
15.67±
0.29 b
17.22±
0.37 a
减氮处理RN 0.98±
0.02 a
1.06±
0.09 a
1.03±
0.04 b
0.80±
0.03 b
0.79±
0.02 b
0.76±
0.00 b
15.51±
0.29 b
16.19±
0.61 b
14.59±
0.16 b
新麦26
XM26
常规施肥CF 0.94±
0.07 a
1.08±
0.06 ab
1.18±
0.01 a
0.84±
0.05 a
0.83±
0.06 a
0.92±
0.04 a
15.77±
1.05 a
17.54±
0.73 a
16.68±
0.65 a
减磷处理RP 0.86±
0.01 a
1.15±
0.02 a
1.13±
0.04 b
0.85±
0.03 a
0.80±
0.02 a
0.78±
0.00 b
15.89±
1.58 a
16.37±
1.11 a
16.07±
1.01 a
减氮处理RN 0.90±
0.02 a
1.05±
0.00 b
1.02±
0.00 c
0.81±
0.04 a
0.82±
0.01 a
0.79±
0.01 b
17.60±
0.97 a
16.21±
0.28 b
15.30±
0.71 a
ANOVA F-value
V 0.15 0.32 2.30 1.01 0.58 8.19* 0.15 2.50 2.62
T 4.64* 2.02 56.71** 2.09 5.24* 64.64** 1.61 10.88** 14.37**
V×T 5.53* 2.81 0.40 1.78 1.54 1.42 6.61* 4.49* 3.06

表4

氮磷减施对小麦根际土壤微生物生物量碳氮的影响"

年份
Year
处理
Treatment
微生物生物量碳含量
Microbial biomass carbon content
(mg kg-1)
微生物生物量氮含量
Microbial biomass nitrogen content
(mg kg-1)
微生物生物量碳/氮
Microbial biomass C/N
RS JS AS RS JS AS RS JS AS
2021-
2022
常规施肥CF 108.76±
1.62 a
122.56±
5.68 a
133.11±
3.25 a
9.81±
0.15 b
12.70±
0.24 b
14.83±
0.44 a
11.90±
0.01 a
9.65±
0.63 a
8.98±
0.05 a
减磷处理RP 105.51±
3.25 a
117.69±
0.81 a
108.76±
3.25 c
9.91±
0.39 b
14.20±
0.40 a
13.84±
0.16 b
10.65±
0.09 b
8.29±
0.17 b
7.86±
0.15 b
减氮处理RN 99.02±
1.62 b
119.72±
1.22 a
122.56±
0.81 b
13.66±
0.08 a
14.54±
0.54 a
12.51±
0.15 c
7.25±
0.16 c
8.24±
0.28 b
9.80±
0.05 a
2022-
2023
常规施肥CF 131.08±
4.46 a
134.73±
12.99 a
130.43±
0.82 a
14.38±
0.23 a
14.47±
0.31 b
14.37±
0.07 a
9.11±
0.16 c
9.33±
1.10 a
9.07±
0.01 a
减磷处理RP 123.37±
1.62 ab
116.88±
1.62 b
128.79±
2.46 a
9.91±
0.39 c
14.20±
0.40 b
13.84±
0.16 b
12.46±
0.33 a
8.23±
0.12 ab
9.31±
0.28 a
减氮处理RN 120.12±
4.87 b
122.96±
4.46 ab
129.61±
0.01 a
12.04±
0.01 b
17.51±
0.01 a
13.95±
0.30 b
9.97±
0.40 b
7.02±
0.26 b
9.30±
0.20 a

图2

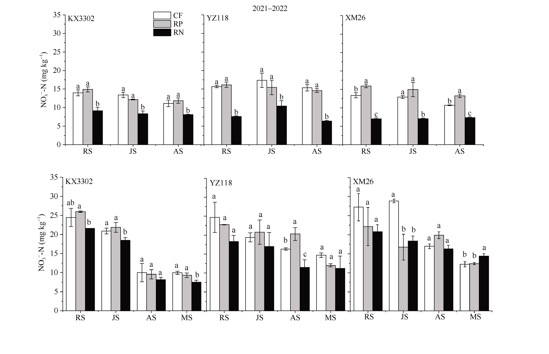
氮磷减施对不同小麦品种根际土壤硝态氮含量的影响 处理同表1。KX3302: 科兴3302; YZ118: 豫州118; XM26: 新麦26。RS: 返青期; JS: 拔节期; AS: 开花期; MS: 成熟期。同一生育时期不同柱上小写字母表示差异显著(P < 0.05)。"

图3

氮磷减施对不同小麦品种根际土壤铵态氮的影响 处理同表1。缩写同图2。同一生育时期不同柱上小写字母表示差异显著(P < 0.05)。"

图4

氮磷减施对不同小麦品种土壤脲酶活性的影响 处理同表1。缩写同图2。同一生育时期不同柱上小写字母表示差异显著(P < 0.05)。"

图5

氮磷减施对不同小麦品种根际土壤蔗糖酶活性的影响 处理同表1。缩写同图2。同一生育时期不同柱上小写字母表示差异显著(P < 0.05)。"

图6

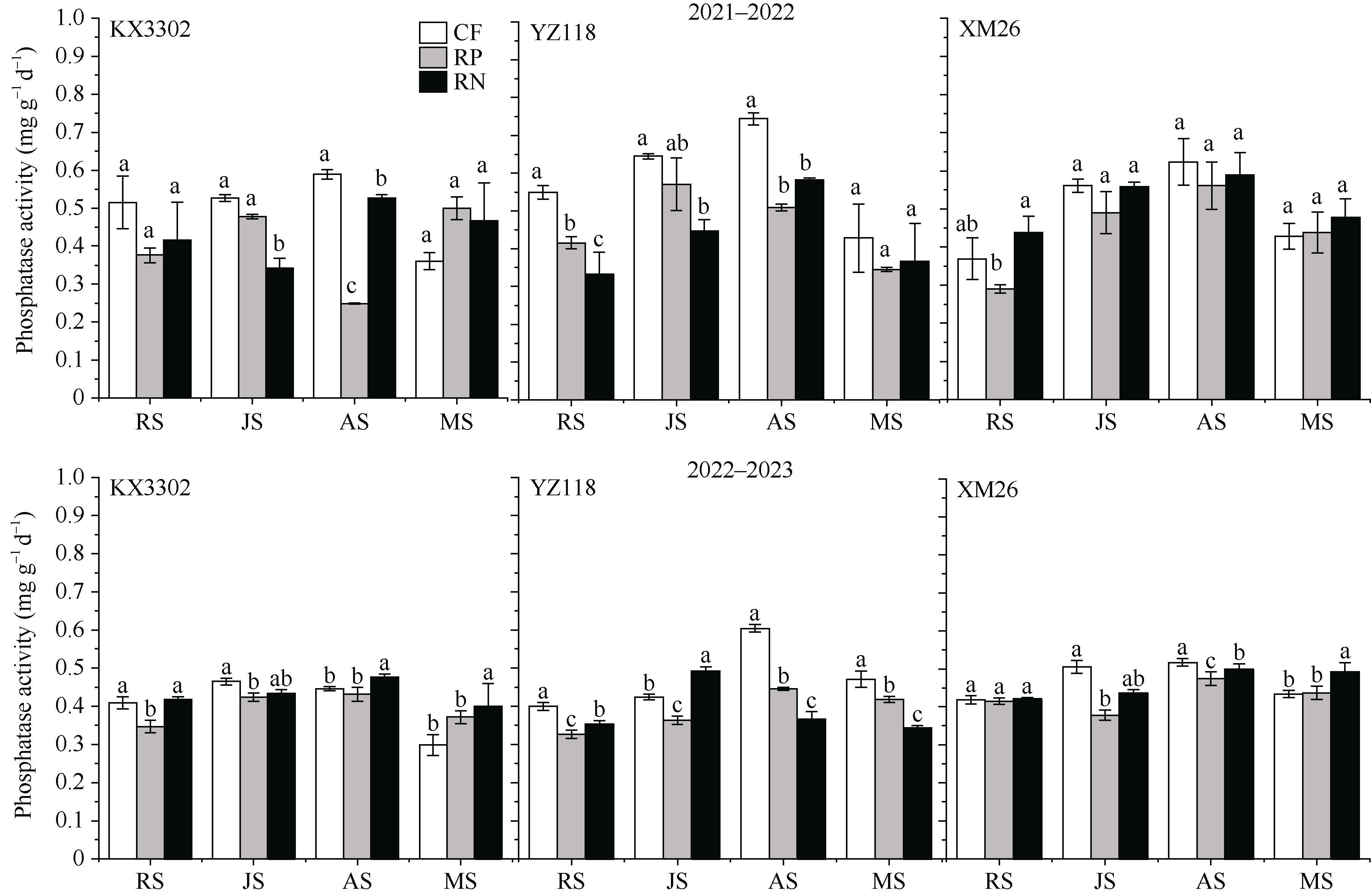
氮磷减施对不同小麦品种根际土壤磷酸酶活性的影响 处理同表1。缩写同图2。同一生育时期不同柱上小写字母表示差异显著(P < 0.05)。"

表5

氮磷减施对不同小麦品种籽粒品质指标的影响"

品种
Variety
处理
Treatment
2021-2022 2022-2023 2023-2024
蛋白质含量
Protein content
(%)
湿面筋
含量
Wet gluten content (%)
沉降值Sedimentation value
(mL)
蛋白质
含量
Protein
content (%)
沉降值Sedimentation value
(mL)
蛋白质
含量Protein
content (%)
湿面筋
含量
Wet gluten content (%)
沉降值Sedimentation value
(mL)
科兴3302
KX3302
常规施肥CF 14.39 a 30.70 a 45.56 a 14.13 a 48.62 a 16.24 a 33.55 a 55.25 a
减磷处理RP 14.42 a 30.94 a 45.22 a 14.05 a 45.05 a 15.96 b 32.38 b 52.38 a
减氮处理RN 12.91 b 27.11 b 41.14 b 14.04 a 40.63 a 15.54 c 32.93 b 51.87 a
豫州118
YZ118
常规施肥CF 13.46 a 31.27 b 35.02 a 14.83 a 35.70 a
减磷处理RP 13.60 a 34.83 a 29.84 b 13.35 a 30.60 a
减氮处理RN 12.73 b 31.46 b 29.24 b 14.05 a 31.80 a
新麦26
XM26
常规施肥CF 14.33 a 29.57 a 44.88 a 16.01 a 45.58 a 15.14 a 32.13 a 52.25 a
减磷处理RP 13.87 a 28.38 a 44.54 a 16.56 a 44.03 ab 15.77 a 33.30 a 50.25 a
减氮处理RN 12.65 b 25.53 b 41.48 b 15.12 a 41.14 b 14.70 a 30.80 b 49.62 a

图7

小麦土壤化学性质和酶活性与产量的相关性分析 N-JS、N-AS和N-MS代表拔节、开花和成熟期土壤全氮含量; P-JS、P-AS和P-MS代表拔节、开花和成熟期土壤全磷含量; C-JS、C-AS和C-MS代表拔节、开花和成熟期土壤有机质含量; NO3--RS、NO3--JS、NO3--AS和NO3--MS代表返青、拔节、开花和成熟期土壤硝态氮含量; NH4+-RS、NH4+-JS、NH4+-AS和NH4+-MS代表返青、拔节、开花和成熟期土壤铵态氮含量; UA-RS、UA-JS、UA-AS和UA-MS代表返青、拔节、开花和成熟期土壤脲酶活性; IA-RS、IA-JS、IA-AS和IA-MS代表返青、拔节、开花和成熟期土壤蔗糖酶活性; PA-RS、PA-JS、PA-AS和PA-MS代表返青、拔节、开花和成熟期土壤磷酸酶活性; Yield代表籽粒产量。*表示在0.05水平相关性显著。"

[1] 董志强, 吕丽华, 姚艳荣, 等. 水氮互作下强筋小麦师栾02-1产量和品质. 作物学报, 2023, 49: 1942-1953.
doi: 10.3724/SP.J.1006.2023.21049
Dong Z Q, Lyu L H, Yao Y R, et al. Yield and quality of strong gluten wheat Shiluan 02-1 under water and nitrogen interaction. Acta Agron Sin, 2023, 49: 1942-1953 (in Chinese with English abstract).
doi: 10.3724/SP.J.1006.2023.21049
[2] Ma D Y, Zhang J, Hou J F, et al. Evaluation of yield, processing quality, and nutritional quality in different-colored wheat grains under nitrogen and phosphorus fertilizer application. Crop Sci, 2018, 58: 402-415.
doi: 10.2135/cropsci2017.03.0152
[3] 马清霞, 王朝辉, 惠晓丽, 等. 基于产量和养分含量的旱地小麦施磷量和土壤有效磷优化. 中国农业科学, 2019, 52: 73-85.
doi: 10.3864/j.issn.0578-1752.2019.01.008
Ma Q X, Wang Z H, Hui X L, et al. Optimization of phosphorus rate and soil available phosphorus based on grain yield and nutrient contents in dryland wheat production. Sci Agric Sin, 2019, 52: 73-85 (in Chinese with English abstract).
doi: 10.3864/j.issn.0578-1752.2019.01.008
[4] 马瑞琦, 常旭虹, 刘阿康, 等. 减量施氮协同提升强筋小麦产量和品质. 植物营养与肥料学报, 2023, 29: 172-187.
Ma R Q, Chang X H, Liu A K, et al. Coordinated improvement of yield and quality of strong gluten wheat by reducing exogenous nitrogen application. J Plant Nutr Fert, 2023, 29: 172-187 (in Chinese with English abstract).
[5] 于天一, 李晓亮, 路亚, 等. 磷对花生氮素吸收和利用的影响. 作物学报, 2019, 45: 912-921.
doi: 10.3724/SP.J.1006.2019.84107
Yu T Y, Li X L, Lu Y, et al. Effect of phosphorus (P) on nitrogen (N) uptake and utilization in peanut. Acta Agron Sin, 2019, 45: 912-921 (in Chinese with English abstract).
[6] 丁文成, 何萍, 周卫. 我国新型肥料产业发展战略研究. 植物营养与肥料学报, 2023, 29: 201-221.
Ding W C, He P, Zhou W. Development strategies of the new-type fertilizer industry in China. J Plant Nutr Fert, 2023, 29: 201-221 (in Chinese with English abstract).
[7] He R, Shao C F, Shi R G, et al. Development trend and driving factors of agricultural chemical fertilizer efficiency in China. Sustainability, 2020, 12: 4607.
doi: 10.3390/su12114607
[8] 刘钦普. 中国化肥施用强度及环境安全阈值时空变化. 农业工程学报, 2017, 33(6): 214-221.
Liu Q P. Spatio-temporal changes of fertilization intensity and environmental safety threshold in China. Trans CSAE, 2017, 33(6): 214-221 (in Chinese with English abstract).
[9] 喻丹, 董晓华, 高松, 等. 基于改进的最小累积阻力模型评价淮河流域氮肥面源污染风险. 农业工程学报, 2024, 40(24): 226-235.
Yu D, Dong X H, Gao S, et al. Evaluation of nitrogen non-point source pollution risk in the Huaihe River Basin based on an improved minimum cumulative resistance model. Trans CSAE, 2024, 40(24): 226-235 (in Chinese with English abstract).
[10] 马红梅, 曹寒冰, 谢英荷, 等. 晋南黄土旱塬小麦养分投入与化肥减施经济环境效应评价. 中国农业科学, 2021, 54: 2804-2817.
doi: 10.3864/j.issn.0578-1752.2021.13.010
Ma H M, Cao H B, Xie Y H, et al. Evaluation on fertilizer application and its economic-environmental benefits associated with fertilizer reduction potential for dryland wheat in Loess Plateau of Southern Shanxi province. Sci Agric Sin, 2021, 54: 2804-2817 (in Chinese with English abstract).
doi: 10.3864/j.issn.0578-1752.2021.13.010
[11] 马永鑫, 谭军利, 韦广源, 等. 减氮节水对引黄灌区春小麦耗水特征及水分利用效率的影响. 干旱地区农业研究, 2024, 42(6): 150-160.
Ma Y X, Tan J L, Wei G Y, et al. Effects of nitrogen reduction and water saving on water consumption characteristics and water use efficiency of spring wheat in Ningxia Yellow River irrigation area. Agric Res Arid Areas, 2024, 42(6): 150-160 (in Chinese with English abstract).
[12] 张琨, 秦毛毛, 刘艳喜, 等. 减量施氮对郑麦101产量及加工品质的影响. 河南农业科学, 2018, 47(5): 24-27.
Zhang K, Qin M M, Liu Y X, et al. Effects of reducing nitrogen application rate on grain yield and processing quality of Zhengmai 101. J Henan Agric Sci, 2018, 47(5): 24-27 (in Chinese with English abstract).
[13] 牛轶男, 申丹丹, 丁永刚, 等. 减氮模式对稻茬中筋小麦籽粒产量、品质和氮肥效率的影响. 麦类作物学报, 2021, 41: 1524-1533.
Niu Y N, Shen D D, Ding Y G, et al. Effect of nitrogen reduction models on grain yield, quality and nitrogen efficiency of medium-gluten wheat following rice. J Triticeae Crops, 2021, 41: 1524-1533 (in Chinese with English abstract).
[14] 闫蓉, 朱利, 冉瑾怡, 等. 渭北旱地磷肥减施措施对冬小麦产量及磷吸收利用的影响. 植物营养与肥料学报, 2023, 29: 1265-1279.
Yan R, Zhu L, Ran J Y, et al. Effects of phosphorus reduction measures on winter wheat yield and phosphorus uptake and utilization in Weibei dryland. J Plant Nutr Fert, 2023, 29: 1265-1279 (in Chinese with English abstract).
[15] 关松荫. 土壤酶及其研究法. 北京: 农业出版社, 1986. pp 274-325.
Guan S Y. Soil Enzyme and Its Research Method. Beijing: Agriculture Press, 1986. pp 274-325 (in Chinese).
[16] 高洪军, 朱平, 彭畅, 等. 等氮条件下长期有机无机配施对春玉米的氮素吸收利用和土壤无机氮的影响. 植物营养与肥料学报, 2015, 21: 318-325.
Gao H J, Zhu P, Peng C, et al. Effects of partially replacement of inorganic N with organic materials on nitrogen efficiency of spring maize and soil inorganic nitrogen content under the same N input. J Plant Nutr Fert, 2015, 21: 318-325 (in Chinese with English abstract).
[17] 鲍士旦. 土壤农化分析(第3版). 北京: 中国农业出版社, 2000. pp 79-87.
Bao S D. Soil Agrochemical Analysis, 3rd edn. Beijing: China Agriculture Press, 2000. pp 79-87 (in Chinese).
[18] 吴金水, 林启美, 黄巧云, 等. 土壤微生物生物量测定方法及其应用. 北京: 气象出版社, 2006.
Wu J S, Lin Q M, Huang Q Y, et al. Methods of Measuring Soil Microbial Biomass and Their Applications. Beijing: China Meteorological Press, 2006 (in Chinese).
[19] Zhang X F, Zhu A N, Xin X L, et al. Tillage and residue management for long-term wheat-maize cropping in the North China Plain: I. Crop yield and integrated soil fertility index. Field Crops Res, 2018, 221: 157-165.
doi: 10.1016/j.fcr.2018.02.025
[20] 丁世杰, 黄绍敏, 张水清, 等. 长期施肥下土壤氮素指标与小麦/玉米产量关系研究. 核农学报, 2025, 39: 157-169.
doi: 10.11869/j.issn.1000-8551.2025.01.0157
Ding S J, Huang S M, Zhang S Q, et al. Study on the relationship between soil nitrogen indexes and wheat/maize yield under long-term fertilization. J Nucl Agric Sci, 2025, 39: 157-169 (in Chinese with English abstract).
doi: 10.11869/j.issn.1000-8551.2025.01.0157
[21] 陈琛, 石柯, 朱长伟, 等. 种植密度和施氮量对豫北潮土区小麦光合特性和产量及土壤氮素的影响. 中国农业科技导报, 2023, 25(5): 24-33.
Chen C, Shi K, Zhu C W, et al. Effects of planting density and nitrogen application rate on wheat photosynthetic characteristics, yield, and soil nitrogen content in fluvo-aquic soil in Northern Henan province. J Agric Sci Technol, 2023, 25(5): 24-33 (in Chinese with English abstract).
[22] 王丽芳, 刘世洁, 康娟, 等. 施氮对小麦根-冠及土壤碳氮特征的影响. 麦类作物学报, 2022, 42: 451-456.
Wang L F, Liu S J, Kang J, et al. Influence of nitrogen application on the carbon and nitrogen characteristics of root-shoot and soil in wheat filed. J Triticeae Crops, 2022, 42: 451-456 (in Chinese with English abstract).
[23] 刘志平, 周怀平, 解文艳, 等. 长期氮磷配施对褐土细菌多样性及土壤酶活性的影响. 干旱地区农业研究, 2022, 40(2): 163-171.
Liu Z P, Zhou H P, Xie W Y, et al. Effect of long-term combined application of nitrogen and phosphoruson bacterial diversity and soil enzyme activities in cinnamon soil. Agric Res Arid Areas, 2022, 40(2): 163-171 (in Chinese with English abstract).
[24] 盛基峰, 李垚, 于美佳, 等. 氮磷添加对高寒草地土壤养分和相关酶活性的影响. 生态环境学报, 2022, 31: 2302-2309.
doi: 10.16258/j.cnki.1674-5906.2022.12.004
Sheng J F, Li Y, Yu M J, et al. Effects of nitrogen and phosphorus an addition on soil nutrients and activity of related enzymes in alpine grassland. Ecol Environ Sci, 2022, 31: 2302-2309 (in Chinese with English abstract).
[25] 姜彧宸, 冯月, 池田, 等. 不同磷肥水平和种植模式对土壤养分含量和酶活性的影响. 山西农业科学, 2023, 51: 742-749.
Jiang Y C, Feng Y, Chi T, et al. Effects of different phosphate fertilizer levels and planting patterns on soil nutrient content and enzyme activity. J Shanxi Agric Sci, 2023, 51: 742-749 (in Chinese with English abstract).
[26] 甘润, 齐鹏, 郭高文, 等. 磷添加对陇中黄土高原旱作农田土壤呼吸组分特征与碳平衡的影响. 农业环境科学学报, 2023, 42: 599-611.
Gan R, Qi P, Guo G W, et al. Effects of phosphorus addition on soil respiration component characteristics and carbon balance in dry farmlands of the Loess Plateau, Longzhong, China. J Agro-Environ Sci, 2023, 42: 599-611 (in Chinese with English abstract).
[27] 巨晓棠, 张翀. 论合理施氮的原则和指标. 土壤学报, 2021, 58: 1-13.
Ju X T, Zhang C. The principles and indicators of rational N fertilization. Acta Pedol Sin, 2021, 58: 1-13 (in Chinese with English abstract).
[28] 张铭, 蒋达, 缪瑞林, 等. 不同土壤肥力条件下施氮量对稻茬小麦氮素吸收利用及产量的影响. 麦类作物学报, 2010, 30: 135-140.
Zhang M, Jiang D, Miao R L, et al. Effects of N application rate on nitrogen absorption, utilization and yield of wheat under different soil fertility after rice. J Triticeae Crops, 2010, 30: 135-140 (in Chinese with English abstract).
[29] 孙梦, 冯昊翔, 张晓燕, 等. 不同土壤肥力下施氮量对小麦产量和品质的影响. 麦类作物学报, 2022, 42: 826-834.
Sun M, Feng H X, Zhang X Y, et al. Effects of nitrogen rates on wheat yield and quality under different soil fertility regimes. J Triticeae Crops, 2022, 42: 826-834 (in Chinese with English abstract).
[30] 张军, 胡川, 周起晖, 等. 减氮及有机肥替代对旱地冬小麦干物质积累、转运、分配和产量的影响. 作物学报, 2025, 51: 207-220.
doi: 10.3724/SP.J.1006.2025.41025
Zhang J, Hu C, Zhou Q H, et al. Effects of nitrogen reduction and organic fertilizer substitution on dry matter accumulation, translocation, distribution, and yield of dryland winter wheat. Acta Agron Sin, 2025, 51: 207-220 (in Chinese with English abstract).
doi: 10.3724/SP.J.1006.2025.41025
[31] 钱彩虹, 陈立, 李春燕, 等. 减量施氮对稻茬红皮强筋小麦产量、品质和氮盈亏的影响. 江苏农业科学, 2023, 51(9): 75-81.
Qian C H, Chen L, Li C Y, et al. Effects of reduced nitrogen application on yield, quality and apparent nitrogen budget of red-skinned strong-gluten wheat after rice. Jiangsu Agric Sci, 2023, 51(9): 75-81 (in Chinese with English abstract).
[32] 陈露, 王秀斌, 朱瑞利, 等. 长江中下游小麦产量、土壤酶活性及微生物群落结构对磷肥减施的响应. 植物营养与肥料学报, 2021, 27: 392-402.
Chen L, Wang X B, Zhu R L, et al. Response of wheat yield and soil microbial activity to phosphorus fertilizer reduction in the middle and lower reaches of the Yangtze River. J Plant Nutr Fert, 2021, 27: 392-402 (in Chinese with English abstract).
[33] 柳伟伟, 马宏亮, 樊高琼, 等. 生态条件和施磷量对四川不同筋力型小麦籽粒产量与蛋白质品质的影响. 麦类作物学报, 2018, 38: 298-305.
Liu W W, Ma H L, Fan G Q, et al. Effect of phosphorus application on grain yield and protein quality of different gluten type wheat in Sichuan Province. J Triticeae Crops, 2018, 38: 298-305 (in Chinese with English abstract).
[34] 张玉峰, 杨武德, 白晶晶, 等. 冬小麦产量与籽粒蛋白质含量协同变化特点及水肥调控. 中国农业科学, 2006, 39: 2449-2458.
Zhang Y F, Yang W D, Bai J J, et al. Coordinated variation of yield and grain protein content in winter wheat and strategies of irrigation and fertilization. Sci Agric Sin, 2006, 39: 2449-2458 (in Chinese with English abstract).
[35] 孙慧敏, 于振文, 颜红, 等. 不同土壤肥力条件下施磷量对小麦产量、品质和磷肥利用率的影响. 山东农业科学, 2006, 38(3): 45-47.
Sun H M, Yu Z W, Yan H, et al. Effect of phosphorus rate applied on yield, quality and phosphorus utilization ratio in winter wheat under different fertility soil. Shandong Agric Sci, 2006, 38(3): 45-47 (in Chinese with English abstract).
[1] 张译尹, 王斌, 王腾飞, 肖爱萍, 胡海英, 兰剑. 青贮玉米‖拉巴豆间作系统产量优势对空间配置的响应[J]. 作物学报, 2026, 52(2): 552-564.
[2] 周琦翔, 朱艳, 汪楚博, 朱柏林, 李俊博, 宋利兵. 基于DSSAT模型模拟气候变化对新疆棉花物候期及产量的影响[J]. 作物学报, 2026, 52(2): 590-602.
[3] 王粤生, 葛冬冬, 程兰斐, 陈春环, 王长有, 刘新伦, 李停栋, 邓平川, 吉万全, 赵继新. 小麦-华山新麦草二体异代换系16DH25-7的分子细胞遗传学及抗病性鉴定[J]. 作物学报, 2026, 52(2): 433-445.
[4] 鲁雅妮, 丁超杰, 张煜, 杜习军, 齐学礼, 胡琳, 许为钢. 河南省200份小麦品种苗期茎基腐病抗性鉴定与全基因组关联分析[J]. 作物学报, 2026, 52(2): 363-375.
[5] 谢玮欣, 毛守发, 韦金贵, 侯思宇, 樊志龙, 殷文, 胡发龙, 南运有, 柴强. 干旱灌区绿肥还田对减量灌水春小麦水分利用的调控效应[J]. 作物学报, 2026, 52(2): 514-526.
[6] 娄洪祥, 幸仁鹏, 汪波, 王晶, 徐正华, 赵杰, 蒯婕, 周广生. 播种期对长江中游甘蓝型油菜光温资源利用效率和产量的影响[J]. 作物学报, 2026, 52(2): 539-551.
[7] 刘吉昌, 李思烨, 李雪婷, 王洪章, 刘鹏, 张吉旺, 赵斌, 任佰朝, 任昊. 盐胁迫对不同耐盐型夏玉米品种根系生长及养分吸收效率的影响[J]. 作物学报, 2026, 52(2): 565-577.
[8] 林子晴, 钟醒宇, 刘樊, 任子澳, 马瑞, 邓秀峰, 王东伟, 刘少鹏, 陈康, 张明才, 李召虎, 周于毅, 段留生. 山东北部沿海平原区小麦-玉米周年两吨粮超高产技术创建[J]. 作物学报, 2026, 52(2): 631-643.
[9] 李瑞, 余意雯, 王敦亮, 田婷, 孙灵湘, 陶玥玥, 孙华. 长江中下游油菜薹油兼用模式菜籽产量特征比较研究[J]. 作物学报, 2026, 52(2): 620-630.
[10] 胡城祯, 高维东, 孔斌雪, 王建飞, 车卓, 杨德龙, 陈涛. 小麦TaAPC11基因家族鉴定及TaAPC11-5B参与干旱胁迫的生物学功能研究[J]. 作物学报, 2026, 52(1): 148-164.
[11] 石吕, 石晓旭, 韩笑, 单海勇, 刘旭杰, 张晋, 严旖旎, 李赢, 刘海翠, 魏亚凤, 杨美英, 薛亚光, 刘建, 张祖建. 氮肥减量与追施方式对小麦产量和氮肥利用效率及麦田N2O排放的影响[J]. 作物学报, 2026, 52(1): 202-220.
[12] 马婷婷, 郭晓江, 李豪, 邓梅, 蒲至恩, 李伟, 张亚洲, 王凤涛, 崔凤娟, 魏育明, 王际睿, 蒋云峰, 陈国跃. 利用小麦农家种孝感麦协同改良蜀麦753产量与抗病耐逆性的育种实践[J]. 作物学报, 2026, 52(1): 56-71.
[13] 金欣欣, 宋亚辉, 苏俏, 杨永庆, 王瑾. 高产高油高油酸花生品种的生长发育及干物质生产特征[J]. 作物学报, 2026, 52(1): 191-201.
[14] 迟晓元, 刘庆, 张君, 赵旭红, 李美, 于天一, 潘丽娟, 许静, 姜骁, 殷祥贞, 马俊卿, 陈娜. 不同花生品种(系)耐盐碱性田间鉴定及各性状指标相关性研究[J]. 作物学报, 2026, 52(1): 85-98.
[15] 陈宣伊, 张健伟, 张向前, 葛国龙, 路战远, 郭星星, 马子惠, 李欣艺, 陈立宇. 大豆玉米不同条带间作对玉米带水热时空动态变化及玉米产量效益的影响[J]. 作物学报, 2026, 52(1): 178-190.
Viewed
Full text


Abstract

Cited

  Shared   
  Discussed   
No Suggested Reading articles found!