欢迎访问作物学报,今天是

作物学报 ›› 2026, Vol. 52 ›› Issue (2): 552-564.doi: 10.3724/SP.J.1006.2026.53035

• 耕作栽培·生理生化 • 上一篇    下一篇

青贮玉米‖拉巴豆间作系统产量优势对空间配置的响应

张译尹(), 王斌(), 王腾飞, 肖爱萍, 胡海英, 兰剑()   

  1. 宁夏大学林业与草业学院 / 宁夏草牧业工程研究中心 / 农业农村部饲草高效生产模式创新重点实验室, 宁夏银川 750021
  • 收稿日期:2025-06-06 接受日期:2025-09-10 出版日期:2026-02-12 网络出版日期:2025-09-22
  • 通讯作者: *兰剑 Jie E-mail:ndlanjian@163.com
  • 作者简介:张译尹, E-mail: 2543378861@qq.com;王斌, E-mail: 2415540536@qq.com

    **同等贡献

  • 基金资助:
    国家自然科学基金项目(32201474);宁夏高等学校一流学科建设(草学学科)项目(NXYLXK2017A01);“一年两熟”人工草地可持续发展模式研究与示范项目(2021BBF02001)

Yield advantage of the silage maize ‖ lablab intercropping system in response to spatial configuration

Zhang Yi-Yin(), Wang Bin(), Wang Teng-Fei, Xiao Ai-Ping, Hu Hai-Ying, Lan Jian()   

  1. College of Forestry and Grassland, Ningxia University / Ningxia Grassland Rangeland Engineering Research Center / Key Laboratory of Forage Efficient Production Mode Innovation, Ministry of Agriculture and Rural Affairs, Yinchuan 750021, Ningxia, China
  • Received:2025-06-06 Accepted:2025-09-10 Published:2026-02-12 Published online:2025-09-22
  • Contact: *Lan Jian Jie E-mail:ndlanjian@163.com
  • About author:

    **Contributed equally to this work

  • Supported by:
    National Natural Science Foundation of China(32201474);the Ningxia Higher Education Institution First-Class Discipline Construction Project (Grassland Science Discipline)(NXYLXK2017A01);the Research and Demonstration Project on the Sustainable Development Model of “Two Crops per Year” Artificial Grasslands(2021BBF02001)

摘要:

合理的豆‖禾间作种植模式具有明显的增产优势, 然而, 在不同生态位分离间作体系中, 补偿效应和选择效应对不同间作体系的产量优势影响机理仍需进一步研究。本试验于2021—2022年以青贮玉米和拉巴豆为研究对象, 以单作青贮玉米(SM)、单作拉巴豆(SL)为对照, 设置青贮玉米与每穴1粒拉巴豆间作(ML1)、青贮玉米与每穴2粒拉巴豆间作(ML2)、青贮玉米与每穴3粒拉巴豆间作(ML3)、青贮玉米与每穴4粒拉巴豆间作(ML4) 4个处理。研究分析了不同间作模式下饲草生产力、土地当量比(land equivalent ratio, LER)、增产率、相对种间竞争力(relative interspecific competitiveness, RC)和净效应(net effect, NE), 以明确补偿效应(complementarity effect, CE) 和选择效应(selection effect, SE)在间作体系产量优势发挥中的角色。结果表明, 青贮玉米与拉巴豆间作促进了系统饲草产量的形成, 系统生产力均高于单作, 其中ML2处理的总干草产量(35.19 t hm-2)和粗蛋白产量(3.24 t hm-2)达到最高, 较SM分别提高了28.48%和64.64%。所有间作模式的LER均大于1, 且LER与补偿效应呈显著正相关, 与选择效应呈显著负相关; 同时青贮玉米增产率与补偿效应呈显著正相关(P < 0.001), 与选择效应呈显著负相关。此外, 拉巴豆播种比例较低的2个处理(ML1和ML2)主要通过补偿效应提升系统生产力, 而ML3和ML4处理的增产则主要依赖于选择效应。因此, 间作系统中的产量优势随拉巴豆播种比例的增加由补偿效应主导逐渐转变为选择效应主导。

关键词: 青贮玉米‖拉巴豆, 间作, 产量优势, 生态位互补, 补偿和选择效应

Abstract:

A well-designed soybean-corn intercropping system can provide significant yield advantages. However, the underlying mechanisms by which compensation and selection effects contribute to these advantages across ecologically distinct environments remain insufficiently understood. This study, conducted from 2021 to 2022, examined silage maize and lablab. Sole-cropped silage maize (SM) and sole-cropped lablab (SL) served as controls. Four intercropping treatments were established: silage maize interplanted with one (ML1), two (ML2), three (ML3), or four (ML4) lablab seeds per hole. To clarify the roles of the complementarity effect (CE) and selection effect (SE) in intercropping yield advantages, forage productivity, land equivalent ratio (LER), yield increase rate, relative interspecific competitiveness (RC), and net effect (NE) were analyzed across treatments. Results showed that intercropping silage maize with lablab significantly enhanced forage yield, with all intercropping systems outperforming monocultures. Among them, ML2 yielded the highest total dry matter (35.19 t hm-2) and crude protein (3.24 t hm-2), representing increases of 28.48% and 64.64%, respectively, compared to SM. All intercropping treatments exhibited LER values greater than one. LER was significantly and positively correlated with the compensation effect, but negatively correlated with the selection effect. Similarly, yield increases in silage maize were positively associated with the compensation effect (P < 0.001) and negatively associated with the selection effect. The productivity gains in ML1 and ML2 were primarily driven by the compensation effect, while those in ML3 and ML4 were mainly attributed to the selection effect. These findings suggest that as the proportion of lablab increases, the dominant mechanism driving yield advantages in the intercropping system gradually shifts from compensation to selection.

Key words: silage maize ‖ lablab, intercropping, yield advantage, ecological niche complementarity, compensation and selection effects

图1

试验地点气象数据"

图2

青贮玉米和拉巴豆间作的田间种植模式图 SM: 单作青贮玉米; SL: 单作拉巴豆; ML1: 青贮玉米与每穴1粒拉巴豆间作; ML2: 青贮玉米与每穴2粒拉巴豆间作; ML3: 青贮玉米与每穴3粒拉巴豆间作; ML4: 青贮玉米与每穴4粒拉巴豆间作。"

表1

供试材料信息"

材料名称
Material name
品种
Variety
纯净度
Purity (%)
千粒重
1000-grain weight (g)
来源
Source
青贮玉米
Silage maize
先玉1321 Xianyu 1321 99.0 373.00 宁夏农垦茂盛草业科技有限公司
Ningxia Nongken Maosheng Grass Technology Ltd.
拉巴豆
Lablab
高值High 98.0 189.50 北京百斯特草业有限公司
Beijing Best Grass Ltd.

图3

不同间作模式对青贮玉米、拉巴豆株高的影响 处理同图2。图中不同小写字母表示处理间差异显著(P < 0.05)。V6、V12、R1、R2分别代表青贮玉米拔节期、大喇叭口期、吐丝期和灌浆期, 分别对应拉巴豆分枝期(B1)、现蕾期(B2)、始花期(R1)和盛花期(R2)。"

图4

不同间作模式对青贮玉米、拉巴豆干物质产量的影响 处理同图2。图中不同小写字母表示处理间差异显著(P < 0.05)。V6、V12、R1、R2分别代表青贮玉米拔节期、大喇叭口期、吐丝期和灌浆期, 分别对应拉巴豆分枝期(B1)、现蕾期(B2)、始花期(R1)和盛花期(R2)。"

表2

不同间作模式对系统干草产量和粗蛋白产量的影响"

年份
Year
处理
Treatment
青贮玉米干草产量
Silage maize hay yield
(t hm-2)
拉巴豆干草产量
Lablab hay yield
(t hm-2)
总干草产量
Total hay yield
(t hm-2)
粗蛋白产量
Crude protein yield
(t hm-2)
2021 SM 27.76±0.27 c 27.76±0.27 d 2.02±0.02 d
ML1 29.43±0.27 b 2.83±0.29 d 32.26±0.46 b 2.77±0.04 c
ML2 31.43±0.35 a 4.39±0.09 c 35.82±0.43 a 3.32±0.04 a
ML3 26.85±0.27 d 5.07±0.27 bc 31.91±0.07 b 2.96±0.01 b
ML4 25.18±0.21 e 5.50±0.11 b 30.68±0.14 c 2.99±0.01 b
SL 10.42±0.43 a 10.42±0.43 e 1.55±0.06 e
2022 SM 27.01±1.67 ab 27.01±0.68 c 1.91±0.05 d
ML1 28.82±1.71 ab 2.56±0.14 d 31.38±0.72 b 2.59±0.06 c
ML2 30.40±0.79 a 4.16±0.12 c 34.56±0.69 a 3.15±0.06 b
ML3 26.23±1.05 ab 4.86±0.16 b 31.09±0.88 b 2.98±0.08 a
ML4 25.73±0.68 b 5.16±0.18 b 30.90±0.81 b 2.98±0.08 a
SL 9.95±0.36 a 9.95±0.36 d 1.47±0.05 a
年份 Year (Y) * * * NS
种植方式 Planting patterns (P) ** ** *** ***
Y×P NS NS NS NS

图5

不同间作模式对土地当量比的影响 处理同图2。LER: 土地当量比。A: 2021-2022土地当量比; B: 2021-2022相对种间竞争力。图中不同小写字母表示处理间差异显著(P < 0.05)。"

图6

不同间作模式对作物增产率和产量优势的影响 处理同图2。图中不同小写字母表示处理间差异显著(P < 0.05)。"

图7

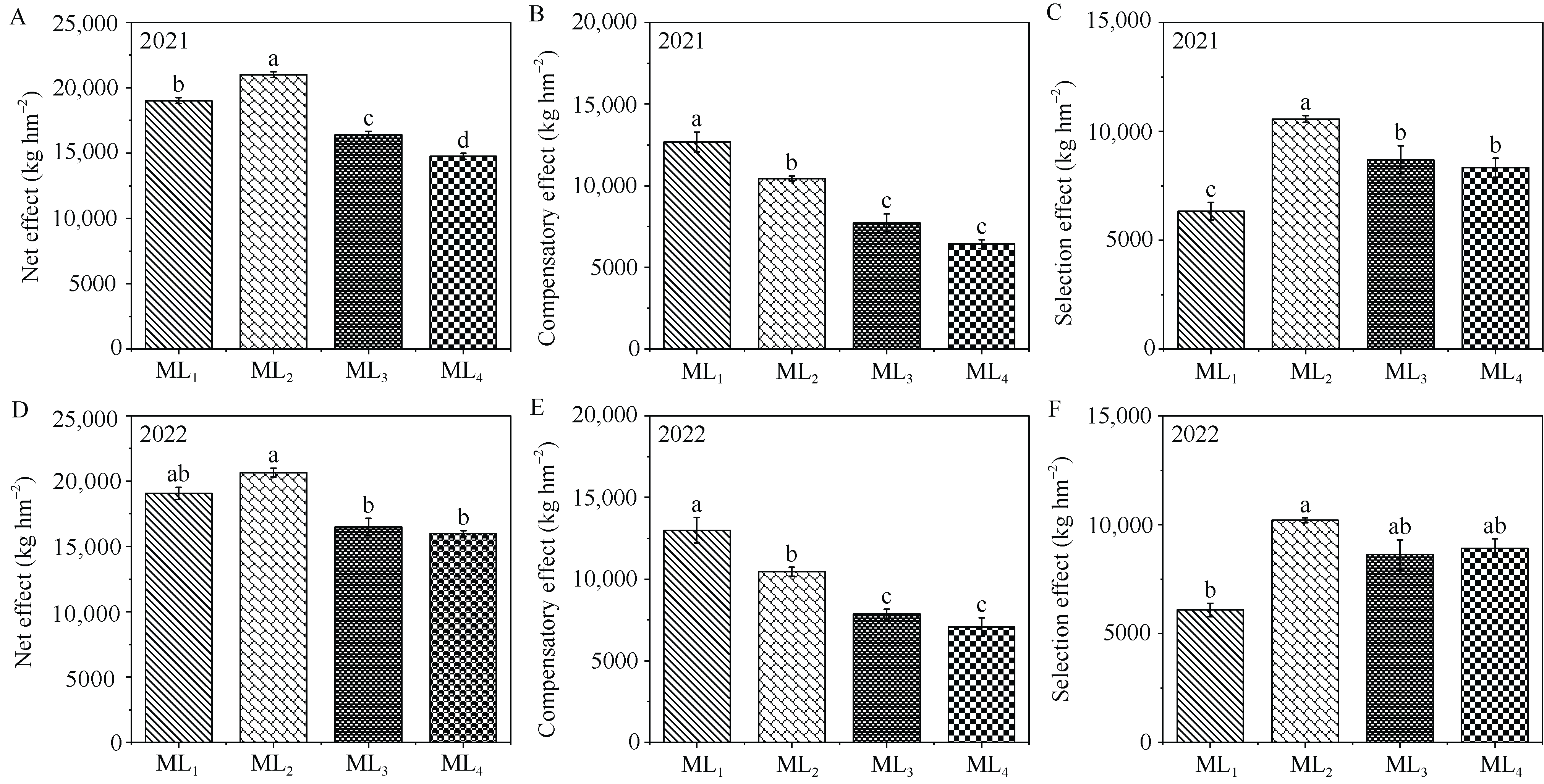
不同间作模式对选择效应与补偿效应的影响 处理同图2。图中不同小写字母表示处理间差异显著(P < 0.05)。"

图8

补偿效应、选择效应与间作优势及作物增产率的关系"

图9

补偿效应、选择效应与生产性能、竞争关系相关性分析 HY: 干草产量; CPY: 粗蛋白产量; LER: 土地当量比; RC: 相对种间竞争力; EY: 预期产量; OYM: 青贮玉米增产率; OYL: 拉巴豆增产率; NE: 净效应; CE: 补偿效应; SE: 选择效应。***: P < 0.001; **: P < 0.01; *: P < 0.05。"

[1] Brooker R W, Karley A J, Newton A C, et al. Facilitation and sustainable agriculture: a mechanistic approach to reconciling crop production and conservation. Funct Ecol, 2016, 30: 98-107.
doi: 10.1111/fec.2016.30.issue-1
[2] Zhang Z X, Whish J P M, Bell L W, et al. Forage production, quality and water-use-efficiency of four warm-season annual crops at three sowing times in the Loess Plateau region of China. Eur J Agron, 2017, 84: 84-94.
doi: 10.1016/j.eja.2016.12.008
[3] Zhang F S, Li L. Using competitive and facilitative interactions in intercropping systems enhances crop productivity and nutrient-use efficiency. Plant Soil, 2003, 248: 305-312.
doi: 10.1023/A:1022352229863
[4] Wang Z K, Zhang X M, Ma Q H, et al. Seed mixture of oats and common vetch on fertilizer and water-use reduction in a semi-arid alpine region. Soil Tillage Res, 2022, 219: 105329.
doi: 10.1016/j.still.2022.105329
[5] Li C J, Hoffland E, Kuyper T W, et al. Syndromes of production in intercropping impact yield gains. Nat Plants, 2020, 6: 653-660.
doi: 10.1038/s41477-020-0680-9 pmid: 32483328
[6] Daryanto S, Fu B J, Zhao W W, et al. Ecosystem service provision of grain legume and cereal intercropping in Africa. Agric Syst, 2020, 178: 102761.
doi: 10.1016/j.agsy.2019.102761
[7] Wang Z K, Jiang H L, Shen Y Y. Forage production and soil water balance in oat and common vetch sole crops and intercrops cultivated in the summer-autumn fallow season on the Chinese Loess Plateau. Eur J Agron, 2020, 115: 126042.
doi: 10.1016/j.eja.2020.126042
[8] Xu R X, Zhao H M, Liu G B, et al. Alfalfa and silage maize intercropping provides comparable productivity and profitability with lower environmental impacts than wheat-maize system in the North China Plain. Agric Syst, 2022, 195: 103305.
doi: 10.1016/j.agsy.2021.103305
[9] Liu X D, Meng L B, Yin T J, et al. Maize/soybean intercrop over time has higher yield stability relative to matched monoculture under different nitrogen-application rates. Field Crops Res, 2023, 301: 109015.
doi: 10.1016/j.fcr.2023.109015
[10] Su Y, Yu R P, Xu H S, et al. Crop cultivar mixtures stabilize productivity, partly via facilitation, when conditions are less benign. Field Crops Res, 2023, 302: 109046.
doi: 10.1016/j.fcr.2023.109046
[11] Tan Y, Hu F L, Chai Q, et al. Expanding row ratio with lowered nitrogen fertilization improves system productivity of maize/pea strip intercropping. Eur J Agron, 2020, 113: 125986.
doi: 10.1016/j.eja.2019.125986
[12] Gong X W, Dang K, Lyu S M, et al. Interspecific root interactions and water-use efficiency of intercropped proso millet and mung bean. Eur J Agron, 2020, 115: 126034.
doi: 10.1016/j.eja.2020.126034
[13] 赵建华, 孙建好, 陈亮之, 等. 玉/豆间作产量优势中补偿效应和选择效应的角色. 作物学报, 2022, 48: 2588-2596.
doi: 10.3724/SP.J.1006.2022.13063
Zhao J H, Sun J H, Chen L Z, et al. Role of complementarity and select effect for yield advantage of maize/legumes intercropping systems. Acta Agron Sin, 2022, 48: 2588-2596 (in Chinese with English abstract).
[14] Loreau M, Hector A. Partitioning selection and complementarity in biodiversity experiments. Nature, 2001, 412: 72-86.
doi: 10.1038/35083573
[15] 李春杰.种内/种间互作调控小麦/蚕豆间作体系作物生长与氮磷吸收的机制. 中国农业大学博士学位论文,北京, 2018.
Li C J.Mechanisms of Interspecific Interaction Regulating Crop Growth and Nitrogen and Phosphorus Absorption in Wheat/broad Bean Intercropping System. PhD Dissertation of China Agricultural University, Beijing, China, 2018 (in Chinese with English abstract).
[16] Cahill J F Jr, McNickle G G, Haag J J, et al. Plants integrate information about nutrients and neighbors. Science, 2010, 328: 1657.
doi: 10.1126/science.1189736 pmid: 20576883
[17] Li X F, Wang C B, Zhang W P, et al. The role of complementarity and selection effects in P acquisition of intercropping systems. Plant Soil, 2018, 422: 479-493.
doi: 10.1007/s11104-017-3487-3
[18] Zuo X A, Cheng H, Zhao S L, et al. Observational and experimental evidence for the effect of altered precipitation on desert and steppe communities. Glob Ecol Conserv, 2020, 21: e00864.
[19] 魏正业, 张海星, 石薇, 等. 种植方式与施氮对西北旱区饲草作物产量、品质和水分利用的影响. 作物学报, 2022, 48: 2638-2653.
doi: 10.3724/SP.J.1006.2022.13053
Wei Z Y, Zhang H X, Shi W, et al. Effects of planting methods and nitrogen application on forage crop yield, quality and water use in arid area of northwest China. Acta Agron Sin, 2022, 48: 2638-2653 (in Chinese with English abstract).
doi: 10.3724/SP.J.1006.2022.13053
[20] Wang B, Deng J Q, Wang T F, et al. Optimizing nitrogen application rates to maximize productivity while reducing environmental risk by regulating nitrogen and water utilization in mixed cropping systems. Agric Water Manag, 2024, 303: 109053.
doi: 10.1016/j.agwat.2024.109053
[21] 任家兵, 张梦瑶, 肖靖秀, 等. 小麦||蚕豆间作提高间作产量的优势及其氮肥响应. 中国生态农业学报(中英文), 2020, 28: 1890-1900.
Ren J B, Zhang M Y, Xiao J X, et al. Wheat and faba bean intercropping to improve yield and response to nitrogen. Chin J Eco- Agric, 2020, 28: 1890-1900 (in Chinese with English abstract).
[22] Gazola B, Mariano E, Andrade M G O, et al. Fate of fertilizer N applied to maize intercropped with forage grass and recovery of residual N by soybean in a double cropping system. Plant Soil, 2024, 496: 205-219.
doi: 10.1007/s11104-023-06139-8
[23] Li Q Z, Sun J H, Wei X J, et al. Overyielding and interspecific interactions mediated by nitrogen fertilization in strip intercropping of maize with faba bean, wheat and barley. Plant Soil, 2011, 339: 147-161.
doi: 10.1007/s11104-010-0561-5
[24] Wang B, Deng J Q, Wang T F, et al. Effect of seeding options on interspecific competition in oat (Avena sativa L.)-common vetch (Vicia sativa L.) forage crops. Agronomy, 2022, 12: 3119.
doi: 10.3390/agronomy12123119
[25] Latati M, Blavet D, Alkama N, et al. The intercropping cowpea-maize improves soil phosphorus availability and maize yields in an alkaline soil. Plant Soil, 2014, 385: 181-191.
doi: 10.1007/s11104-014-2214-6
[26] Zhang W P, Gao S N, Li Z X, et al. Shifts from complementarity to selection effects maintain high productivity in maize/legume intercropping systems. J Appl Ecol, 2021, 58: 2603-2613.
doi: 10.1111/jpe.v58.11
[27] Li L, Sun J H, Zhang F S, et al. Wheat/maize or wheat/soybean strip intercropping: II. recovery or compensation of maize and soybean after wheat harvesting. Field Crops Res, 2001, 71: 173-181.
doi: 10.1016/S0378-4290(01)00157-5
[28] Umesh M R, Angadi S, Begna S, et al. Intercropping and species interactions on physiological and light use characteristics of forage cereals-legumes combinations in semi-arid regions. Field Crops Res, 2023, 290: 108755.
doi: 10.1016/j.fcr.2022.108755
[29] 马江萍, 张译尹, 王腾飞, 等. 饲用高粱与拉巴豆混播对种间关系及草地生产力的影响. 草业学报, 2025, 34(3): 111-122.
doi: 10.11686/cyxb2024139
Ma J P, Zhang Y Y, Wang T F, et al. Interspecific relationship and forage productivity effects in mixed sowings of Sorghum bicolor and Dolichos lablab. Acta Pratac Sin, 2025, 34(3): 111-122 (in Chinese with English abstract).
[30] Yan J Y, Ren T, Wang K K, et al. Improved crop yield and phosphorus uptake through the optimization of phosphorus fertilizer rates in an oilseed rape-rice cropping system. Field Crops Res, 2022, 286: 108614.
doi: 10.1016/j.fcr.2022.108614
[31] 王腾飞, 王斌, 邓建强, 等. 宁夏干旱区滴灌条件下拉巴豆不同播种量与甜高粱混播饲草生产性能研究. 草业学报, 2023, 32(3): 30-40.
doi: 10.11686/cyxb2022121
Wang T F, Wang B, Deng J Q, et al. Effect of sowing rate on yield and forage quality of a dolichos lablab-Sorghum bicolor mixture under drip irrigation in arid areas of Ningxia. Acta Pratac Sin, 2023, 32(3): 30-40 (in Chinese with English abstract).
[32] 董志晓, 何润濠, 况鉴洋, 等. 成都平原青贮玉米间作拉巴豆对混合饲草产量及品质的影响. 草业科学, 2021, 38: 1587-1595.
Dong Z X, He R H, Kuang J Y, et al. Effects of intercropping dolichos lablab with silage maize on the yield and quality of mixed forage in the Chengdu Plain, China. Pratac Sci, 2021, 38: 1587-1595 (in Chinese with English abstract).
[33] Duchene O, Vian J F, Celette F. Intercropping with legume for agroecological cropping systems: complementarity and facilitation processes and the importance of soil microorganisms: a review. Agric Ecosyst Environ, 2017, 240: 148-161.
doi: 10.1016/j.agee.2017.02.019
[34] Yang F, Liao D P, Fan Y F, et al. Effect of narrow-row planting patterns on crop competitive and economic advantage in maize- soybean relay strip intercropping system. Plant Prod Sci, 2017, 20: 1-11.
doi: 10.1080/1343943X.2016.1224553
[35] Li R, Zhang Z X, Tang W, et al. Effect of row configuration on yield and radiation use of common vetch-oat strip intercropping on the Qinghai-Tibetan Plateau. Eur J Agron, 2021, 128: 126290.
doi: 10.1016/j.eja.2021.126290
[36] Ren W, Zhang Z X, Shen Y Y, et al. Adjusting spatial use to establish productive and stable Elymus nutans monocultures and mixed sowing systems. Field Crops Res, 2023, 302: 109091.
doi: 10.1016/j.fcr.2023.109091
[37] Zhang R Z, Meng L B, Li Y, et al. Yield and nutrient uptake dissected through complementarity and selection effects in the maize/soybean intercropping. Food Energy Secur, 2021, 10: 379-393.
doi: 10.1002/fes3.v10.2
[38] 张润芝.氮肥调控玉米/大豆间作生产力及养分吸收和土壤微生物作用机理的研究. 东北农业大学博士学位论文,黑龙江哈尔滨, 2020.
Zhang R Z.Study on Productivity, Nutrient Uptake and Mechanism of Soil Microbial Activity in Maize/Soybean Intercropping by Nitrogen Fertilizer.PhD Dissertation of Northeast Agricultural University, Harbin, Heilongjiang, China, 2020 (in Chinese with English abstract).
[1] 陈宣伊, 张健伟, 张向前, 葛国龙, 路战远, 郭星星, 马子惠, 李欣艺, 陈立宇. 大豆玉米不同条带间作对玉米带水热时空动态变化及玉米产量效益的影响[J]. 作物学报, 2026, 52(1): 178-190.
[2] 闫喆林, 任强, 樊志龙, 殷文, 孙亚丽, 范虹, 何蔚, 胡发龙, 闫丽娟, 柴强. 氮肥后移优化绿洲灌区小麦间作玉米种间关系提高氮素利用效率[J]. 作物学报, 2025, 51(8): 2190-2203.
[3] 闫尚龙, 王琦明, 柴强, 殷文, 樊志龙, 胡发龙, 刘志鹏, 韦金贵. 绿洲灌区玉米籽粒产量及品质对密植及间作豌豆的响应[J]. 作物学报, 2025, 51(6): 1665-1675.
[4] 张辰煜, 葛军勇, 褚俊聪, 王星宇, 赵宝平, 杨亚东, 臧华栋, 曾昭海. 燕麦红芸豆带状间作的产量效应及根系形态与土壤酶活性[J]. 作物学报, 2025, 51(2): 459-469.
[5] 王彦婷, 逄蕾, 赵建华, 郑浩飞, 麻文浩. 玉米配置不同豆科作物对间作体系产量稳定性的影响[J]. 作物学报, 2025, 51(12): 3292-3303.
[6] 刘志鹏, 苟志文, 柴强, 殷文, 樊志龙, 胡发龙, 范虹, 王琦明. 干旱灌区绿肥对多样化种植小麦玉米产量性能指标的影响[J]. 作物学报, 2024, 50(9): 2415-2424.
[7] 桑会哲, 王超, 樊志龙, 殷文, 范虹, 何蔚, 胡发龙, 柴强. 氮肥减施对青贮玉米豆科饲草间作系统水分利用特征的影响[J]. 作物学报, 2024, 50(11): 2848-2859.
[8] 王昀杰, 樊志龙, 张刁亮, 毛守发, 胡发龙, 殷文, 柴强. 不同灌水量下玉米的产量可持续性对间作绿肥的响应[J]. 作物学报, 2024, 50(10): 2562-2574.
[9] 袁晓婷, 王甜, 罗凯, 刘姗姗, 彭新月, 杨立达, 蒲甜, 王小春, 杨文钰, 雍太文. 带宽和株距对带状间作大豆物质积累分配及产量形成的影响[J]. 作物学报, 2024, 50(1): 161-171.
[10] 舒泽兵, 罗万宇, 蒲甜, 陈国鹏, 梁冰, 杨文钰, 王小春. 基于高产与高效条件下鲜食玉米鲜食大豆带状间作田间配置技术优化[J]. 作物学报, 2023, 49(4): 1140-1150.
[11] 吴香奇, 刘博, 张威, 杨雪妮, 郭子艳, 刘铁宁, 张旭东, 韩清芳. 小麦豌豆间作对群体光合特性和生产力的影响[J]. 作物学报, 2023, 49(4): 1079-1089.
[12] 肖健, 韦星璇, 杨尚东, 卢文, 谭宏伟. 间作西瓜对甘蔗产量效益和根际土壤理化性质及微生态的影响[J]. 作物学报, 2023, 49(2): 526-538.
[13] 高超, 陈平, 杜青, 付智丹, 罗凯, 林萍, 李易玲, 刘姗姗, 雍太文, 杨文钰. 播期、密度对带状间作大豆茎叶生长及产量形成的影响[J]. 作物学报, 2023, 49(11): 3090-3099.
[14] 林志敏, 秦贤金, 吴红淼, 庞孜钦, 林文雄. 不同太子参品种对连作胁迫差异响应及种内间作效应分析[J]. 作物学报, 2022, 48(9): 2351-2365.
[15] 李鑫, 王剑, 李亚兵, 韩迎春, 王占彪, 冯璐, 王国平, 熊世武, 李存东, 李小飞. 不同间套作模式对棉花产量和生物量累积、分配的影响[J]. 作物学报, 2022, 48(8): 2041-2052.
Viewed
Full text


Abstract

Cited

  Shared   
  Discussed   
No Suggested Reading articles found!