欢迎访问作物学报,今天是

作物学报 ›› 2025, Vol. 51 ›› Issue (12): 3331-3341.doi: 10.3724/SP.J.1006.2025.54042

• 耕作栽培·生理生化 • 上一篇    下一篇

生长调节剂吲哚丁酸对移栽棉苗成活及生长发育的影响

丁俊沣(), 许映飞, 张祥, 陈媛, 陈德华()   

  1. 扬州大学 / 江苏省遗传生理国家重点实验室培育点, 江苏扬州 225009
  • 收稿日期:2025-03-24 接受日期:2025-09-10 出版日期:2025-12-12 网络出版日期:2025-09-15
  • 通讯作者: *陈德华, E-mail: cdh@yzu.edu.cn
  • 作者简介:E-mail: 17851011719@163.com
  • 基金资助:
    本研究由国家重点研发计划项目(2024YFD2300605)

Effects of the plant growth regulator IBA on the survival and growth of substrate- grown transplanted cotton seedlings

DING Jun-Feng(), XU Ying-Fei, ZHANG Xiang, CHEN Yuan, CHEN De-Hua()   

  1. Yangzhou University / Key Laboratory of Crop Genetics and Physiology of Jiangsu Province, Yangzhou 225009, Jiangsu, China
  • Received:2025-03-24 Accepted:2025-09-10 Published:2025-12-12 Published online:2025-09-15
  • Contact: *E-mail: cdh@yzu.edu.cn
  • Supported by:
    National Key Research and Development Program Project(2024YFD2300605)

摘要: 棉花基质轻简育苗技术可大幅降低劳动强度, 但移栽后常因基质持水性差导致棉苗成活率低、缓苗期长, 制约其推广应用。为探索提高棉苗移栽成活率和促进早发的有效途径, 本研究以泗抗3号为材料, 于2022—2024年在基质苗一叶一心期时, 叶面喷施不同浓度(0、20、40、60、80、100 mg L-1)的植物生长调节剂吲哚丁酸(IBA), 系统分析IBA对棉苗栽后成活、缓苗期及生长发育的影响。结果表明, IBA浓度为20 mg L-1时, 移栽棉苗成活及生长发育效果最佳。与对照(喷清水, CK)相比, 喷施20 mg L-1 IBA显著提高棉苗移栽成活率至99.0%左右, 缓苗期缩短2~3 d。移栽后15 d, 其单株根量增加15.3%~19.5%, 根系活性表面积增加7.0%~10.6%, 株高增高13.1%~31.6%。此外, 喷施20 mg L-1 IBA显著促进氮、磷、钾养分的吸收积累, 增幅分别为19.6%~22.1%、7.2%~34.2%和22.1%~31.3%; 吐絮期营养器官和生殖器官干重分别增加13.3%~16.2%、20.3%~24.3%, 最终籽棉产量提高8.5%~10.0%。因此, 在棉花基质苗一叶一心期, 叶面喷施20 mg L-1 IBA能有效保障棉苗移栽后近乎完全成活, 显著缩短缓苗时间, 加速根系重建与植株生长, 增强养分吸收积累能力, 并最终提高产量。该技术为棉花轻简育苗移栽的高效、稳产提供了重要技术支撑。

关键词: 棉花, 基质育苗移栽, IBA, 栽后成活, 生长发育

Abstract:

The cotton substrate-based simplified seedling raising technology can significantly reduce labor intensity. However, its widespread adoption is limited by the substrate’s poor water retention capacity after transplanting, which often results in low seedling survival rates and prolonged recovery periods. To identify effective strategies for improving the survival and early growth of transplanted cotton seedlings, this study used Sikang 3 as the experimental material and investigated the effects of foliar application of indolebutyric acid (IBA) at various concentrations (0, 20, 40, 60, 80, and 100 mg L-1) during the 1-leaf-1-heart stage from 2022 to 2024. The results indicated that a concentration of 20 mg L-1 (E1) was optimal for enhancing seedling survival and growth. Compared to the control (water spray, CK), E1 treatment significantly increased the survival rate of transplanted seedlings to approximately 99.0% and shortened the recovery period by 2-3 days. Fifteen days after transplanting, root mass per plant increased by 15.3%-19.5%, root active surface area by 7.0%-10.6%, and plant height by 13.1%-31.6%. Additionally, E1 treatment significantly promoted the uptake and accumulation of nitrogen, phosphorus, and potassium by 19.6%-22.1%, 7.2%-34.2%, and 22.1%-31.3%, respectively. At the boll opening stage, the dry weights of vegetative and reproductive organs increased by 13.3%-16.2% and 20.3%-24.3%, respectively, leading to a final lint yield increase of 8.5%-10.0%. Therefore, foliar application of 20 mg L-1 IBA at the 1-leaf-1-heart stage is an effective approach to ensure near-100% survival of transplanted cotton seedlings, significantly shorten the recovery period, accelerate root system development and plant growth, enhance nutrient absorption, and ultimately improve yield. This technique provides essential technical support for the efficient and stable implementation of simplified cotton seedling raising and transplanting.

Key words: cotton, substrate cultivation and transplanting, IBA, survive after planting, growth and development

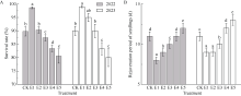
图1

不同浓度的IBA对成活率和缓苗期的影响 CK: IBA浓度为0 mg L-1; E1: IBA浓度为20 mg L-1; E2: IBA浓度为40 mg L-1; E3: IBA浓度为60 mg L-1; E4: IBA浓度为80 mg L-1; E5: IBA浓度为100 mg L-1。不同小写字母表示同一年份不同处理在0.05概率水平差异显著。"

表1

不同浓度的IBA对根量的影响"

年份
Year
处理
Treatment
日期Date (month/day)
05/14 05/17 05/20 05/23 05/26
2022 CK 33.8 b 35.7 c 37.8 e 44.2 cd 45.9 c
E1 38.9 a 39.8 a 48.6 a 51.8 a 52.9 a
E2 34.6 b 34.8 d 43.6 b 43.9 cd 44.8 cd
E3 33.0 b 33.2 e 37.8 e 44.6 c 45.9 c
E4 24.5 d 24.9 g 39.3 d 42.5 de 44.2 d
E5 17.8 f 18.1 i 35.5 f 36.8 f 37.7 g
2023 CK 28.6 c 29.4 f 40.1 cd 41.6 e 41.6 e
E1 34.5 b 37.9 b 48.3 a 49.3 b 49.7 b
E2 28.8 c 29.3 f 39.5 d 44.1 cd 44.6 cd
E3 29.1 c 29.2 f 41.1 c 42.6 cde 43.3 d
E4 22.5 e 22.6 h 34.2 g 35.5 f 39.4 f
E5 16.6 f 17.4 i 28.1 h 31.2 g 33.5 h
方差分析 ANOVA FF-value
年份 Year (Y) 163.8** 397.2** 65.5** 80.0** 130.3**
处理 Treatment (T) 378.8** 1233.0** 373.4** 154.3** 216.2**
年份×处理 Y×T 6.3** 26.6** 57.1** 8.6** 5.9**

表2

不同浓度的IBA对根系活性表面积的影响"

年份
Year
处理
Treatment
日期 Date (month/day)
05/14 05/17 05/20 05/23 05/26
2022 CK 42.6 c 42.8 bc 57.4 bc 61.6 c 64.0 c
E1 49.9 a 50.2 a 63.1 a 66.3 a 70.8 a
E2 44.5 b 44.8 b 58.2 b 62.9 b 65.4 b
E3 42.2 c 43.6 bc 56.6 c 59.2 d 63.7 c
E4 40.6 d 41.0 cd 53.9 d 56.3 e 59.8 d
E5 37.8 e 39.2 d 49.1 e 52.5 f 55.1 e
2023 CK 39.8 b 40.1 b 52.1 c 59.3 c 62.8 c
E1 45.8 a 46.1 a 60.6 a 64.5 a 68.1 a
E2 39.7 b 40.2 b 55.1 b 60.3 b 63.8 b
E3 38.8 b 39.1 c 50.2 d 57.2 d 60.7 d
E4 36.8 c 37.1 d 45.9 e 50.9 e 53.4 e
E5 34.6 d 34.8 e 46.5 e 49.6 f 52.0 f
方差分析 ANOVA FF-value
年份 Year (Y) 239.4** 108.3** 929.7** 657.3** 310.5**
处理 Treatment (T) 180.5** 63.4** 715.4** 1534.3** 754.6**
年份×处理 Y×T 1.5ns 0.5ns 37.2** 23.7** 19.4**

表3

不同浓度的IBA对株高的影响"

年份
Year
处理
Treatment
日期 Date (month/day)
05/14 05/17 05/20 05/23 05/26
2022 CK 9.0 d 9.1 c 12.2 b 13.6 b 16.7 c
E1 14.0 a 14.0 a 14.0 a 14.8 a 18.9 a
E2 13.5 b 13.5 a 13.7 a 13.2 b 17.2 b
E3 12.6 c 12.6 b 12.6 b 13.6 b 17.3 b
E4 9.1 d 9.2 c 12.2 b 13.5 b 17.5 b
E5 6.9 e 7.0 d 9.0 c 11.0 c 14.8 d
2023 CK 8.6 c 8.6 d 9.2 cd 10.5 c 14.3 d
E1 14.7 a 14.8 a 16.0 a 16.8 a 20.9 a
E2 12.0 b 12.0 b 13.7 b 14.8 b 18.7 b
E3 9.3 c 9.4 c 10.2 c 11.2 c 15.2 c
E4 8.3 c 8.4 d 9.6 cd 10.6 c 14.5 d
E5 5.5 d 5.5 e 9.0 d 11.0 c 12.6 e
方差分析 ANOVA FF-value
年份 Year (Y) 60.5** 101.2** 43.2** 36.1** 182.5**
处理 Treatment (T) 287.6** 476.6** 137.6** 112.3** 519.6**
年份×处理 Y×T 14.4** 14.4** 23.8** 28.1** 49.9** 135.9**

图2

生长调节剂IBA对成活率和缓苗期的影响 处理同图1。不同小写字母表示同一年份不同处理在0.05概率水平差异显著。"

表4

生长调节剂IBA对吐絮期干物重的影响"

年份
Year
处理
Treatment
营养器官
Nutritive organ (g plant-1)
生殖器官
Reproductive organ (g plant-1)
2023 E1 237.56 a 236.80 a
CK 204.50 b 190.56 b
2024 E1 216.81 a 217.50 a
CK 191.34 b 180.80 b
方差分析 ANOVA FF-value
年份Year (Y) 28.30** 17.20**
处理Treatment (T) 84.30** 140.30**
年份×处理Y×T 1.42ns 1.86ns

图3

生殖器官干物重占总干重比例 处理同图1。不同小写字母表示同一年份不同处理在0.05概率水平差异显著。"

表5

生长调节剂IBA对氮、磷、钾吸收与分配的影响"

年份
Year
处理
Treatment
项目
Item
总吸收量
Total absorption
(kg hm-2)
不同生育期比例Proportion of different growth periods (%)
盛花前
Peak flowering ago
盛花-始絮
Peak flowering to early boll open
始絮-盛絮
Early boll open to peak boll open
2023 E1 N 197.99 46.73 38.72 14.55
P2O5 44.37 32.65 41.11 26.24
K2O 270.07 38.09 36.24 25.67
CK N 165.60 40.49 35.60 23.91
P2O5 41.10 26.28 63.87 9.85
K2O 221.10 40.71 35.01 24.29
2024 E1 N 176.10 41.91 37.31 20.78
P2O5 44.30 28.81 61.69 9.49
K2O 255.60 36.50 43.96 19.54
CK N 144.20 41.10 31.32 27.58
P2O5 33.00 27.73 63.18 9.09
K2O 194.70 41.68 34.13 24.19
方差分析 ANOVA FF-value
年份Year (Y) N 58.28**
P2O5 23.46**
K2O 77.64**
处理Treatment (T) N 128.54**
P2O5 74.59**
K2O 561.10**
年份×处理 Y×T N 0.01ns
P2O5 22.66**
K2O 6.62*

表6

生长调节剂IBA对产量及其构成的影响"

年份
Year
处理
Treatment
单株成铃
Bolls per plant
(No. plant-1)
铃重
Boll weight
(g)
理论籽棉产量
Theoretical cotton yield
(kg hm-2)
实际籽棉产量
Actual cotton yield
(kg hm-2)
2023 E1 35.8 a 4.64 a 4983.36 a 4300.72 a
CK 33.8 b 4.64 a 4704.96 b 3965.58 b
2024 E1 32.3 a 4.63 a 4486.47 a 4104.15 a
CK 30.8 b 4.65 a 4296.60 b 3731.51 b
方差分析 ANOVA FF-value
年份Year (Y) 84.31** 0.00ns 45.94** 14.80**
处理Treatment (T) 24.45** 0.20ns 12.29* 39.97**
年份×处理Y×T 0.50ns 0.20ns 0.44ns 0.11ns
[1] 王丽. 棉花育苗移栽试验总结. 农业开发与装备, 2016, (12): 109-110.
Wang L. Summary of cotton seedling transplanting experiment. Agric Dev Equip, 2016, (12): 109-110 (in Chinese with English abstract).
[2] Shah M A, Hussain M, Shahzad M, Jabran K, Ul-Allah S, Farooq M. Transplanting improves the allometry and fiber quality of Bt cotton in cotton-wheat cropping system. Exp Agric, 2020, 56: 26-36.
doi: 10.1017/S0014479719000073
[3] 余轩, 刘浩, 马岩川, 耿耘, 冯泉清, 孙景生. 麦后移栽棉适宜调亏灌溉模式研究. 灌溉排水学报, 2021, 40(5): 8-15.
Yu X, Liu H, Ma Y C, Geng Y, Feng Q Q, Sun J S. Regulated deficit irrigation for transplanted cotton after winter wheat harvest. J Irrig Drain, 2021, 40(5): 8-15 (in Chinese with English abstract).
[4] 柯梁, 吕凤琴, 熊辉. 棉花生产主要育苗移栽技术概述. 棉花科学, 2013, 35(2): 11-15.
Ke L, Lyu F Q, Xiong H. Main growing seedlings and transplanting techniques of cotton production. Cotton Sci, 2013, 35(2): 11-15 (in Chinese with English abstract).
[5] 邹茜, 刘爱玉, 李瑞莲, 王欣悦, 向凤玲. 棉花短季直播栽培与营养钵育苗移栽产量和效益比较研究. 中国棉花, 2014, 41(8): 32-35.
doi: 10.11963/issn.1000-632X.20140812
Zou X, Liu A Y, Li R L, Wang X Y, Xiang F L. Comparing of yield and efficiency of direct seeding short-season cultivation with nutrition pots seedling transplantation of cotton. China Cotton, 2014, 41(8): 32-35 (in Chinese with English abstract).
doi: 10.11963/issn.1000-632X.20140812
[6] 郭仓库. 基于ADAMS的棉花钵苗移栽机构优化设计. 农机化研究, 2021, 43(4): 117-120.
Guo C K. Optimum design of cotton pot seedling transplanting mechanism based on ADAMS. J Agric Mech Res, 2021, 43(4): 117-120 (in Chinese with English abstract).
[7] 王立志, 何帅, 李东伟. 膜下滴灌滴水流量对棉花根系分布的影响. 干旱地区农业研究, 2024, 42(3): 153-161.
Wang L Z, He S, Li D W. Effects of drip flow rate of mulched drip irrigation on root distribution of cotton. Agric Res Arid Areas, 2024, 42(3): 153-161 (in Chinese with English abstract).
[8] Hu T R, Liu Z Y, Jin D, Chen Y, Zhang X, Chen D H. Effects of growth regulator and planting density on cotton yield and N, P, and K accumulation in direct-seeded cotton. Agronomy, 2023, 13: 501.
doi: 10.3390/agronomy13020501
[9] Ul-Allah S, Rehman A, Hussain M, Farooq M. Fiber yield and quality in cotton under drought: Effects and management. Agric Water Manag, 2021, 255: 106994.
[10] 王熹, 陶龙兴. 大田作物化控技术研究进展与应用前景. 中国农业科技导报, 2000, 2(2): 55-57.
Wang X, Tao L X. The development and prospects of chemical control technology on field crops. Rev China Agric Sci Technol, 2000, 2(2): 55-57 (in Chinese with English abstract).
[11] 唐中杰, 房卫平, 孙玉堂. 不同植物生长调节剂处理棉花的效应研究. 中国棉花, 2004, 31(7): 15-16.
Tang Z J, Fang W P, Sun Y T. Effects of different plant growth regulators on cotton treatment. China Cotton, 2004, 31(7): 15-16 (in Chinese with English abstract).
[12] 曹敏. 棉花应用萘乙酸水剂调节生长效果研究. 现代农业科技, 2010, (23): 72-73.
Cao M. Effect of naphthylacetic acid aqueous solution on cotton growth regulation. Mod Agric Sci Technol, 2010, (23): 72-73 (in Chinese with English abstract).
[13] 卢静洁, 包希吉乐, 张梦迪, 赵永秀, 阿拉坦其其格. 生长调节剂对香石竹(Dianthus caryophyllus)组培苗生根的影响. 分子植物育种, 2021, 19: 5465-5469.
Lu J J, Bao X J L, Zhang M D, Zhao Y X, A L T Q Q G. Effect of growth regulators on rooting of carnation (Dianthus caryophyllus) tissue culture seedlings. Mol Plant Breed, 2021, 19: 5465-5469 (in Chinese with English abstract).
[14] 袁晓娜, 陈卓, 贾桂霞. 生长调节剂对百合不同品种鳞片扦插繁殖及碳水化合物代谢的影响. 西北农业学报, 2013, 22(5): 109-115.
Yuan X N, Chen Z, Jia G X. Effects of plant growth regulators on scale cutting propagation and carbohydrate metabolism of lily (Lilium L.). Acta Agric Boreali-Occident Sin, 2013, 22(5): 109-115 (in Chinese with English abstract).
[15] 赵栗.外源调节剂对棉花根系生长特性及酶活性的影响. 塔里木大学硕士学位论文, 新疆阿拉尔, 2021.
Zhao L. Effects of Exogenous Regulators on Root Growth Characteristics and Enzyme Activities of Cotton Roots.MS Thesis of Tarim University, Aral, Xinjiang, China, 2021 (in Chinese with English abstract).
[16] 马银虎.不同植物生长调节剂对棉花生长发育及产量品质的影响. 塔里木大学硕士学位论文, 新疆阿拉尔, 2021.
Ma Y H. Effects of Foliar Spraying Plant Growth Regulators at Seedling Stage on Cotton Growth and Development, Yield and Quality. MS Thesis of Tarim University, Aral, Xinjiang, China, 2021 (in Chinese with English abstract).
[17] 罗树凯, 梁虎军, 陈婧, 刘蓉. 3种植物生长调节剂、免疫诱抗剂对促进棉花生长的效果. 中国棉花, 2016, 43(3): 24-26.
doi: 10.11963/issn.1000-632X.201603008
Luo S K, Liang H J, Chen J, Liu R. Promoting effect of three plant growth regulators on cotton growth in promoting root, stronging seedlings and increasing yield. China Cotton, 2016, 43(3): 24-26 (in Chinese with English abstract).
[18] 廖人燕, 彭怀晴, 黄科文. 不同浓度IBA及浸泡时间对金钱草水插生根的影响. 中国现代中药, 2018, 20(1): 63-65.
Liao R Y, Peng H Q, Huang K W. Effects of cutting rooting of Lysimachia christinae hance on different IBA concentrations and soaking time in hydroponics. Mod Chin Med, 2018, 20(1): 63-65 (in Chinese with English abstract).
[19] 孙哲, 陈彦. 不同浓度的吲哚丁酸对紫薇硬枝扦插的影响. 北方园艺, 2010, (7): 103-104.
Sun Z, Chen Y. Effect of the different concentrations of IBA on hardwood-cutting rooting of Lagerstroemia indica L. North Hortic, 2010, (7): 103-104 (in Chinese with English abstract).
[20] 汪炜檬, 魏云晓, 唐云霓, 刘苗苗, 陈全家, 邓晓娟, 张锐. 棉花发根农杆菌转化体系的建立及生根优化. 中国农业科学, 2025, 58: 1479-1493.
doi: 10.3864/j.issn.0578-1752.2025.08.002
Wang W M, Wei Y X, Tang Y N, Liu M M, Chen Q J, Deng X J, Zhang R. Establishment and rooting optimization of Agrobacterium rhizogenes transformation system in cotton. Sci Agric Sin, 2025, 58: 1479-1493 (in Chinese with English abstract).
[21] 董环宇, 高芳, 王兴溶, 陈士刚, 秦彩云, 才巨锋, 郭忠玲, 陶晶. 吲哚乙酸、 萘乙酸和吲哚丁酸对蔓越莓组培苗扦插生根的影响. 森林工程, 2024, 40(1): 37-43.
Dong H Y, Gao F, Wang X R, Chen S G, Qin C Y, Cai J F, Guo Z L, Tao J. Effects of IAA, NAA and IBA on rooting of tissue culture seedlings of cranberry. For Eng, 2024, 40(1): 37-43 (in Chinese with English abstract).
[22] 吴丽君, 王莹茜, 夏西亚. 吲哚丁酸对月季扦插生根的影响. 北方园艺, 2016, (9): 82-86.
Wu L J, Wang Y X, Xia X Y. Effect of indolebutyric acid on the rooting of rose hybrid cuttings. North Hortic, 2016, (9): 82-86 (in Chinese with English abstract).
[23] 杜春芳, 吴霞, 李燕娥. IBA对棉花组培苗生根的影响. 中国棉花, 2006, 33(11): 15-16.
Du C F, Wu X, Li Y E. Effect of IBA on rooting of cotton tissue culture seedlings. China Cotton, 2006, 33(11): 15-16 (in Chinese with English abstract).
[24] 夏松波, 别墅, 张教海, 王孝刚, 张友昌. 0.6%吲哚丁酸水剂对棉花产量及品质的影响. 现代农业科技, 2015, (1): 47-48.
Xia S B, Bie S, Zhang J H, Wang X G, Zhang Y C. Effect of 0.6% IBA solution on yield and quality of cotton. Mod Agric Sci Technol, 2015, (1): 47-48 (in Chinese with English abstract).
[25] 李金亭, 张元昊, 郭晓双, 王燕培, 李亚楠, 李晶晶, 田仁云. 吲哚丁酸对怀牛膝幼苗生长及谷胱甘肽抗氧化酶系统的影响. 河南师范大学学报(自然科学版), 2014, 42(3): 105-108.
Li J T, Zhang Y H, Guo X S, Wang Y P, Li Y N, Li J J, Tian R Y. Effects of IBA hormones on growth and glutathione antioxidant enzyme system in Achyranthes bidentata BL. Seedlings. J Henan Norm Univ (Nat Sci Edn), 2014, 42(3): 105-108 (in Chinese with English abstract).
[26] 雷成霞, 魏闯, 王振华. 缓苗期不同灌水量对地下滴灌无膜移栽棉花产量的影响. 山西水利科技, 2019, (4): 24-27.
Lei C X, Wei C, Wang Z H. Effect of different irrigation amount in slow seedling stage on yield of cotton transplantation without film under subsurface drip irrigation. Shanxi Hydrotech, 2019, (4): 24-27 (in Chinese with English abstract).
[27] 汤绍虎, 罗充. 植物生理学实验教程. 重庆: 西南师范大学出版社, 2012.
Tang S H, Luo C. Experimental Course of Plant Physiology. Chongqing: Southwest China Normal University Press, 2012 (in Chinese).
[28] 戴冕, 戴中新, 王谧. 5种棉花育苗移栽方法的比较研究. 中国棉花, 2016, 43(9): 25-29.
doi: 10.11963/issn.1000-632X.201609007
Dai M, Dai Z X, Wang M. Comparative study on five methods of cotton seedling raising and transplanting. China Cotton, 2016, 43(9): 25-29 (in Chinese with English abstract).
doi: 10.11963/issn.1000-632X.201609007
[29] 高培喜. 棉花基质穴盘育苗技术及常见问题应对措施. 现代农业科技, 2016, (2): 67-68.
Gao P X. Seedling raising technology of cotton substrate plug and countermeasures for common problems. Mod Agric Sci Technol, 2016, (2): 67-68 (in Chinese with English abstract).
[30] 白岩. 棉花机械化移栽技术推广现状与建议. 中国农技推广, 2015, 31(4): 10-12.
Bai Y. Present situation and suggestions on popularization of cotton mechanized transplanting technology. China Agric Technol Ext, 2015, 31(4): 10-12 (in Chinese with English abstract).
[31] 傅西秀, 钱勤英. 穴盘轻基质育苗在设施蔬菜栽培上的应用. 上海蔬菜, 2013, (4): 55-56.
Fu X X, Qian Q Y. Application of plug light substrate seedling raising in protected vegetable cultivation. Shanghai Veg, 2013, (4): 55-56 (in Chinese with English abstract).
[32] 胡根海, 付远志, 张晓红, 周岩. 激素蘸根对棉花裸苗移栽后的生理影响. 棉花科学, 2018, 40(6): 2-7.
Hu G H, Fu Y Z, Zhang X H, Zhou Y. Physiological effects of hormone dipping root on cotton bare seedlings after transplanting. Cotton Sci, 2018, 40(6): 2-7 (in Chinese with English abstract).
[33] 李婧. 温度对不同基质育苗方式移栽棉花缓苗期生长影响的研究. 中国农业科学院硕士学位论文, 北京, 2013.
Li J.Study on the Effect of Temperature on the Growth of Cotton Transplanted with Different Substrate Seedling Raising Methods in Slow Seedling Stage. MS Thesis of Chinese Academy of Agricultural Sciences, Beijing, China, 2013 (in Chinese with English abstract).
[1] 郭栋财, 吕涛, 蔡永生, 买吾鲁达·艾合买提, 全家, 曲延英, 郑凯. 棉花纤维品质相关性状QTL元分析及候选基因鉴定[J]. 作物学报, 2025, 51(6): 1445-1466.
[2] 王亚雯, 戚正阳, 尤佳琦, 聂新辉, 曹娟, 杨细燕, 涂礼莉, 张献龙, 王茂军. 棉花60K功能位点基因芯片的制备及应用[J]. 作物学报, 2025, 51(5): 1178-1188.
[3] 李慧敏, 邢志鹏, 张海鹏, 魏海燕, 张洪程, 李光彦. 化学调控及其他栽培措施在小麦抗倒伏高产栽培中的应用[J]. 作物学报, 2025, 51(4): 847-862.
[4] 郭冰, 秦家范, 李娜, 宋梦瑶, 王黎明, 李君霞, 马小倩. 谷子SHMT基因家族全基因组鉴定与表达分析[J]. 作物学报, 2025, 51(3): 586-5897.
[5] 哈丽哈什·依巴提, 张炎, 李青军, 徐新朋, 何萍. 基于产量反应和农学效率的棉花智能化推荐施肥方法研究[J]. 作物学报, 2025, 51(11): 3052-3064.
[6] 李亚玮, 徐盈盈, 左春阳, 刘若男, 梁亚军, 孔杰, 张献龙, 闵玲. 棉花减数分裂进程鉴定体系构建及其对高温胁迫的响应分析[J]. 作物学报, 2025, 51(10): 2570-2580.
[7] 陈佳伟, 林艳, 张明星, 周诗晶, 饶力群, 周池, 李鑫. 贝莱斯芽孢杆菌YCH92对棉花根际土壤微生物群落及棉花产量的影响[J]. 作物学报, 2025, 51(10): 2821-2835.
[8] 陈昊翔, 万鑫杰, 陈青, 王劲松, 董二伟, 王媛, 黄晓磊, 刘秋霞, 焦晓燕. 石灰性褐土条件下高粱与玉米耐瘠薄特性及对土壤肥力响应的比较[J]. 作物学报, 2025, 51(10): 2775-2787.
[9] 谢章书, 谢学方, 屠小菊, 刘爱玉, 董合忠, 周仲华. 植物激素对棉花蕾铃脱落的调控研究进展[J]. 作物学报, 2025, 51(1): 1-29.
[10] 辛明华, 秘雅迪, 王国平, 李小飞, 李亚兵, 董合林, 韩迎春, 冯璐. 行距配置和种植密度对棉花干物质生产及产量的影响[J]. 作物学报, 2025, 51(1): 221-232.
[11] 李超, 付小琼. 基于GYT双标图综合评价黄河流域中熟杂交棉花区域试验品种[J]. 作物学报, 2025, 51(1): 30-43.
[12] 艾莎, 李莎, 方治伟, 李论, 李甜甜, 高利芬, 陈利红, 肖华锋, 万人静, 闫多子, 武星廷, 彭海, 韩瑞玺, 周俊飞. 棉花MNP标记位点开发及其在DNA指纹图谱构建中的应用[J]. 作物学报, 2024, 50(9): 2267-2278.
[13] 郭思语, 赵克勇, 代正罡, 邹华文, 吴忠义, 张春. 玉米N-乙酰转移酶ZmNAT1基因响应非生物胁迫的功能分析[J]. 作物学报, 2024, 50(8): 2001-2013.
[14] 李航, 刘丽, 黄乾, 刘文豪, 司爱君, 孔宪辉, 王旭文, 赵福相, 梅拥军, 余渝. 棉花种质资源萌发期耐盐性鉴定及筛选[J]. 作物学报, 2024, 50(5): 1147-1157.
[15] 乐愉, 王涛, 张献龙, 林忠旭. 陆地棉重组自交系再生能力和遗传转化效率筛选[J]. 作物学报, 2024, 50(5): 1172-1180.
Viewed
Full text


Abstract

Cited

  Shared   
  Discussed   
No Suggested Reading articles found!