欢迎访问作物学报,今天是

作物学报 ›› 2025, Vol. 51 ›› Issue (12): 3342-3356.doi: 10.3724/SP.J.1006.2025.54055

• 耕作栽培·生理生化 • 上一篇    下一篇

有机无机肥配施对甘薯产量、品质及硒吸收的影响

磨冬枝, 刘芃君, 徐桂娣, 陈泽炀, 谭雪明, 黄英金, 程建峰, 曾研华()   

  1. 江西农业大学农学院 / 作物生理生态与遗传育种教育部重点实验室 / 作物生物育种与高效生产江西省重点实验室, 江西南昌 330045
  • 收稿日期:2025-04-29 接受日期:2025-09-10 出版日期:2025-12-12 网络出版日期:2025-09-24
  • 通讯作者: *曾研华, E-mail: zyh74049501@163.com
  • 基金资助:
    本研究由江西省薯类产业技术体系项目(JXARS-19-02);江西省富硒农业研究院委托项目(JXFX21-ZD05);江西省富硒农业研究院委托项目(JXFX22-ZD02)

Effects of combined application of organic and chemical fertilizers on yield, quality, and selenium absorption of sweetpotato

MO Dong-Zhi, LIU Peng-Jun, XU Gui-Di, CHEN Ze-Yang, TAN Xue-Ming, HUANG Ying-Jin, CHENG Jian-Feng, ZENG Yan-Hua()   

  1. School of Agricultural Sciences, Jiangxi Agricultural University / Key Laboratory of Crop Physiology, Ecology and Genetic Breeding of the Ministry of Education / Key Laboratory of Crop Biological Breeding and Efficient Production of Jiangxi Province, Nanchang 330045, Jiangxi, China
  • Received:2025-04-29 Accepted:2025-09-10 Published:2025-12-12 Published online:2025-09-24
  • Contact: *E-mail: zyh74049501@163.com
  • Supported by:
    Jiangxi Agriculture Research System(JXARS-19-02);Commissioned Project of Jiangxi Province Selenium-rich Agriculture Research Institute(JXFX21-ZD05);Commissioned Project of Jiangxi Province Selenium-rich Agriculture Research Institute(JXFX22-ZD02)

摘要: 本研究旨在探究土壤富硒条件下有机无机肥配施对不同类型甘薯产量、品质及硒吸收的影响, 明确定量有机肥(6×103 kg hm-2)施用下无机化肥的最佳配比量, 为甘薯富硒高效栽培提供理论依据。于2023—2024年, 以鲜食型甘薯“心香”与淀粉型“商薯19”为供试品种进行2年大田试验, 在富硒土壤上(0.37 mg kg-1)设置有机无机肥配施改良活化土壤处理, 包括100%化肥+有机肥、70%化肥+有机肥、50%化肥+有机肥、30%化肥+有机肥、单施化肥、单施有机肥与不施肥7个处理, 分析收获期甘薯器官硒含量、块根产量与品质特性。结果表明, 富硒土壤下, 随着有机无机肥配施中无机化肥用量的减少, 供试甘薯品种块根产量呈先上升后下降的趋势。在50%化肥配施处理下2种不同类型甘薯均可获得较高的块根产量, 且块根硒含量及积累达到峰值。施用100%化肥配施有机肥可提高甘薯块根蛋白质含量与可溶性糖积累, 但同时增加淀粉的糊化焓, 不利于淀粉的糊化; 而30%、50%化肥配施有机肥则有利于增加两品种的淀粉含量。此外, 50%、70%化肥配施有机肥处理可提升不同类型甘薯淀粉峰值黏度与崩解值, 且降低淀粉消减值, 有利于改善甘薯口感。综合来看, 50%化肥配施有机肥可协同提升不同类型甘薯块根产量与品质, 且兼顾硒含量。

关键词: 甘薯, 有机肥, 无机肥, 硒含量, 产量, 品质

Abstract:

This study investigates the effects of combined organic and chemical fertilizer application on yield, quality, and selenium uptake in different sweetpotato types under selenium-rich soil conditions. It also aims to determine the optimal chemical fertilizer rate when applying a fixed amount of organic fertilizer (6×103 kg hm-2, providing a theoretical basis for efficient selenium-enriched sweetpotato cultivation. From 2023 to 2024, a two-year field experiment was conducted using two cultivars: the edible-type ‘Xinxiang’ and the starch-type ‘Shangshu 19’. The soil selenium content was 0.37 mg kg-1, and seven fertilizer treatments were established, including combinations designed to improve and activate the soil: 100%, 70%, 50%, and 30% chemical fertilizer each combined with organic fertilizer; sole chemical fertilizer; sole organic fertilizer; and a no-fertilizer control. Selenium content in plant organs, tuber yield, and quality were assessed at harvest. Results showed that, under selenium-rich conditions, tuber yield of both sweetpotato cultivars increased initially and then declined as the proportion of chemical fertilizer decreased when combined with organic fertilizer. Under the 50% chemical fertilizer plus organic fertilizer treatment, both types of sweet potatoes achieved high yields, and the selenium content and accumulation were reached peak levels. The 100% chemical fertilizer plus organic fertilizer treatment enhanced protein content and soluble sugar accumulation in tubers, but also increased starch gelatinization enthalpy, which is unfavorable for gelatinization. In contrast, the 30% and 50% chemical fertilizer combined treatments promoted starch accumulation in both cultivars. Furthermore, the 50% and 70% chemical fertilizer combinations improved starch peak viscosity and breakdown values, while reducing setback values—enhancing sweetpotato eating quality. Overall, applying 50% chemical fertilizer in combination with organic fertilizer effectively improves both yield and quality of sweetpotato while maintaining selenium content across different cultivar types.

Key words: sweetpotato, organic fertilizer, chemical fertilizer, selenium content, yield, quality

表1

田间不同处理肥料的施用量"

处理
Treatment
氮肥
Nitrogen fertilizer
(kg hm-2)
磷肥
Phosphorus fertilizer
(kg hm-2)
钾肥
Potassium fertilizer
(kg hm-2)
有机肥
Manure fertilizer
(×103 kg hm-2)
CK 0 0 0 0
100%NPK+M 326.1 625.0 300.0 6
70%NPK+M 228.3 437.5 210.0 6
50%NPK+M 163.1 312.5 150.0 6
30%NPK+M 97.8 187.5 90.0 6
M 0 0 0 6
100%NPK 326.1 625.0 300.0 0

图1

2023-2024年日平均气温与降雨量"

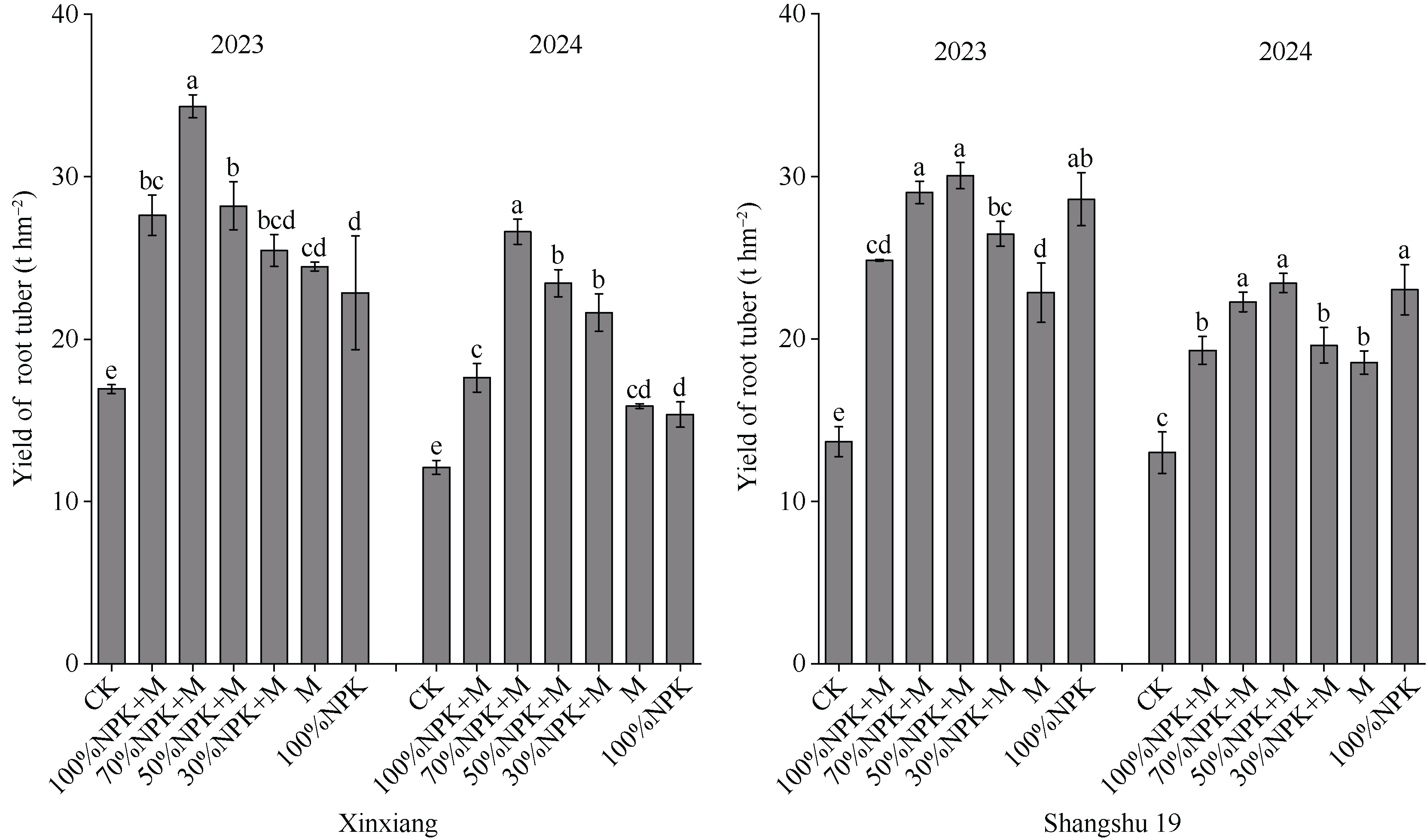
图2

有机无机肥配施对甘薯产量的影响 处理同表1。不同小写字母表示同一品种年份不同施肥处理下差异显著(P < 0.05)。误差线表示标准误差。"

图3

有机无机肥配施对心香不同器官硒含量的影响(干基) 处理同表1。不同小写字母表示同一年份不同施肥处理下差异显著(P < 0.05)。误差线表示标准误差。"

图4

有机无机肥配施对商薯19不同器官硒含量的影响(干基) 处理同表1。不同小写字母表示同一年份不同施肥处理下差异显著(P < 0.05)。误差线表示标准误差。"

图5

有机无机肥配施对甘薯块根蛋白质含量的影响 处理同表1。不同小写字母表示同一品种年份不同施肥处理下差异显著(P < 0.05)。误差线表示标准误差。"

图6

有机无机肥配施对甘薯块根可溶性糖含量的影响 处理同表1。不同小写字母表示同一品种年份不同施肥处理下差异显著(P < 0.05)。误差线表示标准误差。"

图7

有机无机肥配施对甘薯块根淀粉及其组分含量的影响(干基) 处理同表1。同一品种年份不同施肥处理下不同小写字母表示差异显著(P < 0.05), 同一种颜色柱形间字母分别为直链与支链淀粉含量的方差分析, 柱形上字母为总淀粉含量的方差分析。误差线表示标准误差。"

表2

有机无机肥配施对甘薯淀粉热力学特性的影响"

品种
Cultivar
年份
Year
施肥处理Fertilization treatment 糊化焓
Enthalpy of
gelatinization (J g-1)
起始温度
Onset temperature
(℃)
峰值温度
Peak temperature
(℃)
最终温度
Conclusion
temperature (℃)
心香
Xinxiang
2023 CK 10.3 c 80.7 b 84.2 a 89.6 ab
100%NPK+M 13.1 a 79.9 b 83.5 ab 90.8 a
70%NPK+M 10.3 c 80.3 b 83.6 ab 88.7 bc
50%NPK+M 10.3 c 80.8 b 84.2 a 90.6 a
30%NPK+M 11.9 b 79.3 b 82.9 b 87.4 c
M 11.2 b 80.0 b 83.6 ab 88.3 bc
100%NPK 13.1 a 86.8 a 84.1 a 88.8 bc
2024 CK 12.7 ab 80.2 a 84.2 a 90.4 a
100%NPK+M 12.4 b 79.4 b 83.6 bcd 90.0 a
70%NPK+M 12.1 b 79.7 ab 83.1 cd 88.5 ab
50%NPK+M 12.6 b 79.3 b 83.0 d 86.8 b
30%NPK+M 12.4 b 80.2 a 83.8 ab 89.5 a
M 12.0 b 79.9 ab 83.7 abc 89.2 a
100%NPK 13.3 a 79.6 ab 83.2 bcd 89.5 a
商薯19
Shangshu 19
2023 CK 11.9 bc 82.3 a 85.8 a 90.7 a
100%NPK+M 12.6 a 81.9 b 84.8 b 89.5 b
70%NPK+M 12.7 a 81.8 b 84.7 b 89.7 b
50%NPK+M 12.0 bc 81.8 b 84.6 b 89.2 b
30%NPK+M 11.6 cd 81.6 b 85.0 b 89.6 b
M 11.0 d 82.6 a 85.7 a 90.8 a
100%NPK 12.4 ab 81.5 b 84.6 b 89.5 b
2024 CK 11.2 bc 82.2 a 85.7 a 90.8 a
100%NPK+M 12.5 a 81.6 cd 84.8 b 90.4 ab
70%NPK+M 12.6 a 81.7 bc 84.8 b 90.4 ab
50%NPK+M 11.7 bc 81.8 b 84.8 b 89.7 b
30%NPK+M 11.8 b 81.8 b 85.0 b 90.5 ab
M 11.2 c 81.4 d 84.8 b 90.5 ab
100%NPK 12.9 a 81.8 b 84.7 b 90.1 ab
方差分析
Variance analysis
Y ** * ns ns
C ns ** ** **
FT ** ns ** **
Y×C ** ns ns ns
Y×FT ** * * **
C×FT ** * ns *
Y×C×FT ** ** ** **

表3

有机无机肥配施对甘薯淀粉黏滞特性的影响"

品种
Cultivar
年份
Year
施肥处理
Fertilization treatment
峰值黏度PV (cP) 热浆黏度HV (cP) 崩解值BV (cP) 终值黏度FV (cP) 消减值
SB (cP)
糊化温度PaT (℃)
心香
Xinxiang
2023 CK 4283 ab 2220 bc 2063 a 2932 ab -1351 c 85.4 a
100%NPK+M 4267 ab 2347 a 1920 b 3051 a -1216 b 85.2 a
70%NPK+M 4360 a 2233 bc 2127 a 2914 ab -1447 d 85.2 a
50%NPK+M 4289 ab 2159 c 2130 a 2821 b -1468 d 85.2 a
30%NPK+M 4216 ab 2257 abc 1959 b 2936 ab -1280 bc 85.4 a
M 4165 bc 2189 c 1976 b 2927 ab -1238 b 85.2 a
100%NPK 4066 c 2330 ab 1736 c 3049 a -1017 a 85.2 a
2024 CK 4088 b 2462 ab 1626 ab 3328 abc -760 ab 86.8 a
100%NPK+M 4109 b 2514 ab 1594 b 3410 a -699 a 85.2 b
70%NPK+M 4292 a 2577 a 1715 a 3437 a -855 bc 85.8 ab
50%NPK+M 4242 a 2537 ab 1705 a 3395 ab -847 bc 86.4 ab
30%NPK+M 4094 b 2431 ab 1664 ab 3191 c -904 c 86.0 ab
M 4040 bc 2460 ab 1580 b 3329 abc -711 a 85.8 ab
100%NPK 3956 c 2375 b 1581 b 3202 bc -754 ab 85.6 ab
商薯19
Shangshu 19
2023 CK 4198 b 2496 abc 1702 bc 3311 abc -887 ab 88.0 a
100%NPK+M 4188 b 2372 c 1817 a 3220 bc -968 bc 86.8 ab
70%NPK+M 4394 a 2554 a 1840 a 3390 a -1004 c 86.4 b
50%NPK+M 4327 ab 2560 a 1767 ab 3414 a -914 bc 87.6 ab
30%NPK+M 4195 b 2536 a 1659 c 3393 a -802 a 87.7 a
M 4200 b 2395 bc 1805 ab 3182 c -1018 c 87.6 ab
100%NPK 4281 ab 2520 ab 1762 ab 3349 ab -932 bc 86.8 ab
2024 CK 4330 c 2594 d 1737 ab 3436 c -895 a 87.6 a
100%NPK+M 4460 ab 2696 bc 1764 ab 3495 bc -965 a 87.7a
70%NPK+M 4585 a 2775 a 1810 a 3673 a -912 a 86.8 a
50%NPK+M 4461 ab 2674 bc 1787 ab 3503 bc -958 a 86.8 a
30%NPK+M 4345 bc 2635 cd 1710 ab 3514 bc -831 a 87.5 a
M 4374 bc 2717 ab 1658 b 3558 abc -816 a 87.7 a
100%NPK 4536 a 2734 ab 1802 a 3570 ab -967 a 86.8 a
方差分析
Variance analysis
Y * ** ** ** ** **
C ** ** ** ** ** **
FT ** * ** ns ** ns
Y×C ** ns ** ** ** **
Y×FT ns * ** * ** ns
V×FT ** ns ** * ** ns
Y×C×FT ns ** ns * * *

图8

有机无机肥配施处理下甘薯产量、硒含量和品质指标相关性分析(2023-2024年) *, **分别表示相关性达0.05和0.01显著水平。X1: 块根产量; X2: 块根硒含量; X3: 块根硒积累量; X4: 蛋白质含量; X5: 可溶性糖含量; X6: 总淀粉含量; X7: 直链淀粉含量; X8: 支链淀粉含量; X9: 糊化焓; X10: 峰值黏度; X11: 崩解值; X12: 消减值。"

[1] 吴雨华. 世界甘薯加工利用新趋势. 食品研究与开发, 2003, 24(5): 5-8.
Wu Y H. New trend of sweetpotato processing and utilization in the world. Food Res Dev, 2003, 24(5): 5-8 (in Chinese with English abstract).
[2] 马代夫, 李强, 曹清河, 钮福祥, 谢逸萍, 唐君, 李洪民. 中国甘薯产业及产业技术的发展与展望. 江苏农业学报, 2012, 28: 969-973.
Ma D F, Li Q, Cao Q H, Niu F X, Xie Y P, Tang J, Li H M. Development and prospect of sweet potato industry and its technologies in China. Jiangsu J Agric Sci, 2012, 28: 969-973 (in Chinese with English abstract).
[3] 何永佳, 聂健. 富硒食品研究进展. 食品安全导刊, 2024, (17): 143-145.
He Y J, Nie J. Research progress on selenium-enriched foods. China Food Saf Mag, 2024, (17): 143-145 (in Chinese with English abstract).
[4] 赵辰路, 周文美, 程兰香, 张建敏. 富硒食品研究进展. 北京农业, 2013, (21): 131.
Zhao C L, Zhou W M, Cheng L X, Zhang J M. Research progress of selenium-enriched food. Beijing Agric, 2013, (21): 131 (in Chinese).
[5] Garcia Moreno R, Burdock R, Díaz Álvarez M C, Crawford J W. Managing the selenium content in soils in semiarid environments through the recycling of organic matter. Appl Environ Soil Sci, 2013, 2013: 283468.
[6] Hatfield D L, Tsuji P A, Carlson B A, Gladyshev V N. Selenium and selenocysteine: roles in cancer, health, and development. Trends Biochem Sci, 2014, 39: 112-120.
doi: 10.1016/j.tibs.2013.12.007 pmid: 24485058
[7] Fairweather-Tait S J, Bao Y P, Broadley M R, Collings R, Ford D, Hesketh J E, Hurst R. Selenium in human health and disease. Antioxid Redox Signal, 2011, 14: 1337-1383.
doi: 10.1089/ars.2010.3275
[8] Kotrebai M, Birringer M, Tyson J F, Block E, Uden P C. Selenium speciation in enriched and natural samples by HPLC-ICP-MS and HPLC-ESI-MS with perfluorinated carboxylic acid ion-pairing agents. Analyst, 2000, 125: 71-78.
doi: 10.1039/a906320j pmid: 10885064
[9] 王庆华, 黄伟, 李前勇, 贺永建, 张德志, 胥清芳. 中国富硒食品的生产现状及趋势. 广东微量元素科学, 2008, 15(3): 7-10.
Wang Q H, Huang W, Li Q Y, He Y J, Zhang D Z, Xu Q F. Application and development of selenium-accumulating food in China. Guangdong Trace Elem Sci, 2008, 15(3): 7-10 (in Chinese with English abstract).
[10] 曹升, 陈会鲜, 严华兵, 尚小红, 曾文丹, 陆柳英, 肖亮. 增施生物有机肥对食用木薯吸收利用土壤中硒的影响. 中国土壤与肥料, 2021, (2): 116-122.
Cao S, Chen H X, Yan H B, Shang X H, Zeng W D, Lu L Y, Xiao L. Effect of adding bio-organic fertilizer on selenium absorption and utilization efficiency of edible cassava. Soil Fert Sci China, 2021, (2): 116-122 (in Chinese with English abstract).
[11] 冯时钦, 韦鸿雁, 黄业葵, 张真建. 增施有机肥对水稻生长及硒、镉富集的影响. 南方农业, 2023, 17(9): 42-45.
Feng S Q, Wei H Y, Huang Y K, Zhang Z J. Effects of organic fertilizer on rice growth and selenium and cadmium enrichment. South China Agric, 2023, 17(9): 42-45 (in Chinese with English abstract).
[12] 马凤霞.氮和硒对不同甘薯品种产量和营养品质的影响. 山东农业大学硕士学位论文, 山东泰安, 2018.
Ma F X. Effects of Nitrogen and Selenium on Yield and Nutrient Quality of Different Varieties of Sweet Potato. MS Thesis of Shandong Agricultural University, Tai’an, Shandong, China, 2018 (in Chinese with English abstract).
[13] 孙一鸣, 田侠, 王少霞, 刘庆. 不同施磷水平对甘薯硒吸收、分配和转化的影响. 作物学报, 2024, 50: 1608-1615.
Sun Y M, Tian X, Wang S X, Liu Q. Effects of phosphorus application levels on selenium absorption, distribution, and transformation in sweet potatoes. Acta Agron Sin, 2024, 50: 1608-1615 (in Chinese with English abstract).
doi: 10.3724/SP.J.1006.2024.34158
[14] 邢海峰. 硒肥、氮磷钾化肥、覆膜对马铃薯硒素吸收分配及产量、品质的影响. 内蒙古农业大学硕士学位论文, 内蒙古呼和浩特, 2005.
Xing H F. Effects of Se,N P K Fertilization, Film-covered on the Selenium Absorption and Distribution, Yield and Quality of Potato. MS Thesis of Inner Mongolia Agricultural University, Hohhot, Inner Mongolia, China, 2005 (in Chinese with English abstract).
[15] 马红艳, 聂兆君, 刘红恩, 李畅, 秦世玉, 赵鹏. 施氮量和施硒方式对冬小麦产量和籽粒矿质元素积累的影响. 河南农业科学, 2022, 51(5): 10-22.
Ma H Y, Nie Z J, Liu H E, Li C, Qin S Y, Zhao P. Effects of nitrogen application rate and selenium application method on yield and mineral element accumulation in grain of winter wheat. J Henan Agric Sci, 2022, 51(5): 10-22 (in Chinese with English abstract).
[16] 谢珊妮, 宗良纲, 张琪惠, 戴荣波, 潘含岳, 原强. 3种改良剂对强酸性高硒茶园土壤硒有效性调控效果与机理. 茶叶科学, 2017, 37(3): 299-307.
Xie S N, Zong L G, Zhang Q H, Dai R B, Pan H Y, Yuan Q. Effects of three amendments on selenium availability of highly acidic and Se-rich soil in tea garden and their relative mechanisms. J Tea Sci, 2017, 37(3): 299-307 (in Chinese with English abstract).
[17] 杨旎, 宗良纲, 严佳, 姚欢, 马爱军, 何任红. 改良剂与生物有机肥配施方式对强酸性高硒茶园土壤硒有效性的影响. 土壤, 2014, 46: 1069-1075.
Yang N, Zong L G, Yan J, Yao H, Ma A J, He R H. Effects of applying modes of bio-organic fertilizer and conditioners on selenium bioavailability of highly acid Se-rich soil in tea gardens. Soils, 2014, 46: 1069-1075 (in Chinese with English abstract).
[18] 李敏, 刘亚军, 王文静, 胡启国, 储凤丽, 刘广卿, 孙喜云, 丁芳. 无机肥与有机肥配施对甘薯生理特性及产量构成因素的影响. 江苏农业科学, 2023, 51(16): 91-98.
Li M, Liu Y J, Wang W J, Hu Q G, Chu F L, Liu G Q, Sun X Y, Ding F. Impacts of combined application of inorganic and organic fertilizers on physiological characteristics and yield components of sweet potato. Jiangsu Agric Sci, 2023, 51(16): 91-98 (in Chinese with English abstract).
[19] 李敏, 刘亚军, 王文静, 王红刚, 储凤丽, 胡启国. 不同施肥模式对小麦-甘薯轮作田土壤性质及甘薯生长发育的影响. 江苏农业科学, 2022, 50(13): 250-256.
Li M, Liu Y J, Wang W J, Wang H G, Chu F L, Hu Q G. Effects of different fertilization patterns on soil properties and sweet potato growth in wheat-sweet potato rotation field. Jiangsu Agric Sci, 2022, 50(13): 250-256 (in Chinese with English abstract).
[20] 魏文良, 刘路, 仇恒浩. 有机无机肥配施对我国主要粮食作物产量和氮肥利用效率的影响. 植物营养与肥料学报, 2020, 26: 1384-1394.
Wei W L, Liu L, Qiu H H. Effects of different organic resources application combined with chemical fertilizer on yield and nitrogen use efficiency of main grain crops in China. J Plant Nutr Fert, 2020, 26: 1384-1394 (in Chinese with English abstract)
[21] 晁赢, 付钢锋, 阎祥慧, 杭中桥, 杨全刚, 王会, 潘红, 娄燕宏, 诸葛玉平. 有机肥对作物品质、土壤肥力及环境影响的研究进展. 中国农学通报, 2022, 38(29): 103-107.
doi: 10.11924/j.issn.1000-6850.casb2021-0631
Chao Y, Fu G F, Yan X H, Hang Z Q, Yang Q G, Wang H, Pan H, Lou Y H, Zhu-Ge Y P. Effects of organic fertilizer on crop quality, soil fertility and environment: research progress. Chin Agric Sci Bull, 2022, 38(29): 103-107 (in Chinese with English abstract).
doi: 10.11924/j.issn.1000-6850.casb2021-0631
[22] 江西省农业农村厅.《江西省富硒功能农业发展规划(2023— 2025年)》. (2022-12-27) [2025-07-07],https://nync.jiangxi.gov.cn/jxsnynct/ncrjhjzz/content/content_1902616591213764608.html.
Department of Agriculture and Rural Affairs of Jiangxi Provincial. Development plan for selenium-enriched functional agriculture in Jiangxi province (2023-2025). (2022-12-27) [2025-07-07], https://nync.jiangxi.gov.cn/jxsnynct/ncrjhjzz/content/content_1902616591213764608.html (in Chinese). (in Chinese).
[23] 全国土壤质量标准化技术委员会.土壤硒含量等级: GB/T 44971-2024. 北京: 中国标准出版社, 2024.
National Technical Committee for Soil Quality Standardization of SAC. Soil Selenium Grades: GB/T 44971-2024. Beijing: Standards Press of China, 2024 (in Chinese).
[24] 侯松, 田侠, 刘庆. 叶面喷施硒对紫甘薯硒吸收、分配及品质的影响. 作物学报, 2018, 44: 423-430.
doi: 10.3724/SP.J.1006.2018.00423
Hou S, Tian X, Liu Q. Effects of foliage spray of se on absorption characteristics of Se and quality of purple sweet potato. Acta Agron Sin, 2018, 44: 423-430 (in Chinese with English abstract).
doi: 10.3724/SP.J.1006.2018.00423
[25] 肖怡.栽插期与收获期对鲜食型黄心甘薯产量品质变化的影响. 西南大学硕士学位论文,重庆, 2019.
Xiao Y.Effects of Planting Period and Harvest Period on Yield and Quality Change of Edible-type Yellow Heart Sweet Potato. MS Thesis of Southwest University, Chongqing, China, 2019 (in Chinese with English abstract).
[26] 唐忠厚, 李洪民, 张爱君, 史新敏, 朱红, 孙健. 长期定位施肥对甘薯块根产量及其主要品质的影响. 浙江农业学报, 2010, 22(1): 57-61.
Tang Z H, Li H M, Zhang A J, Shi X M, Zhu H, Sun J. Effects of long-term located fertilization on yield and quality of sweet potato. Acta Agric Zhejiangensis, 2010, 22(1): 57-61 (in Chinese with English abstract).
[27] 林子龙, 郭其茂, 陈根辉, 黄艳霞. 有机无机肥配合施用对甘薯产量的影响. 热带农业科学, 2021, 41(1): 31-34.
Lin Z L, Guo Q M, Chen G H, Huang Y X. Effects of combinations of organic and inorganic fertilizers on the yield of sweet potato. Chin J Trop Agric, 2021, 41(1): 31-34 (in Chinese with English abstract).
[28] 徐怡, 程群, 瞿勇, 陈巧玲, 叶兴枝. 有机无机肥配合施用对恩薯四号产量的影响. 湖北农业科学, 2019, 58(6): 24-25.
Xu Y, Cheng Q, Qu Y, Chen Q L, Ye X Z. Effect of combined application of organic and inorganic fertilizers on the Enshi 4th sweet potato yield. Hubei Agric Sci, 2019, 58(6): 24-25 (in Chinese with English abstract).
[29] 段文学, 张海燕, 解备涛, 汪宝卿, 张立明. 化肥和生物有机肥配施对鲜食型甘薯块根产量、品质及土壤肥力的影响. 植物营养与肥料学报, 2021, 27: 1971-1980.
Duan W X, Zhang H Y, Xie B T, Wang B Q, Zhang L M. Effects of chemical and bio-organic fertilizers on tuber yield, quality, and soil fertility of edible sweet potato. J Plant Nutr Fert, 2021, 27: 1971-1980 (in Chinese with English abstract).
[30] Wei W L, Yan Y, Cao J, Christie P, Zhang F S, Fan M S. Effects of combined application of organic amendments and fertilizers on crop yield and soil organic matter: an integrated analysis of long-term experiments. Agric Ecosyst Environ, 2016, 225: 86-92.
doi: 10.1016/j.agee.2016.04.004
[31] 史书强, 赵颖, 何志刚, 娄春荣. 生物有机肥配施化肥对马铃薯土壤养分运移及产量的影响. 江苏农业科学, 2016, 44(6): 154-157.
Shi Shu Q, Zhao Y, He Z G, Lou C R. Effects of applying bio-organic fertilizer and chemical fertilizers on soil nutrient transport and yield of potatoes. Jiangsu Agric Sci, 2016, 44(6): 154-157 (in Chinese).
[32] 张亮, 孙磊, 苏航, 于洪涛, 符强, 范书华, 程瑶. 有机肥和无机肥对马铃薯生长发育及块茎产量的影响. 土壤, 2020, 52: 862-866.
Zhang L, Sun L, Su H, Yu H T, Fu Q, Fan S H, Cheng Y. Effects of organic and inorganic fertilizers on growth and tuber yield of potato. Soils, 2020, 52: 862-866 (in Chinese with English abstract).
[33] 魏猛, 张爱君, 诸葛玉平, 李洪民, 唐忠厚, 陈晓光. 长期施肥下甘薯产量稳定性及品质特性研究. 西北农业学报, 2017, 26: 588-595.
Wei M, Zhang A J, Zhu-Ge Y P, Li H M, Tang Z H, Chen X G. Study of different fertilization practices on sweet potato yield stability and quality characteristics. Acta Agric Boreali-Occident Sin, 2017, 26: 588-595 (in Chinese with English abstract).
[34] 杨汉, 黄志谋, 瞿和平, 柴沙沙, 黎雨薇, 赵清纯, 秦晓银. 优化施肥对鲜食型甘薯产量、养分利用及土壤性质的影响. 中国农学通报, 2024, 40(8): 63-67.
doi: 10.11924/j.issn.1000-6850.casb2023-0307
Yang H, Huang Z M, Qu H P, Chai S S, Li Y W, Zhao Q C, Qin X Y. Effects of optimal fertilization on yield, nutrient utilization and soil fertility of edible sweet potato. Chin Agric Sci Bull, 2024, 40(8): 63-67 (in Chinese with English abstract).
doi: 10.11924/j.issn.1000-6850.casb2023-0307
[35] 张鹏飞, 周怀平, 杨振兴, 刘志平, 解文艳, 任志强. 有机无机肥配施对谷子产量及经济效益的影响. 山西农业科学, 2023, 51: 756-763.
Zhang P F, Zhou H P, Yang Z X, Liu Z P, Xie W Y, Ren Z Q. Effects of organic and inorganic combined application on yield and economic benefit of millet. J Shanxi Agric Sci, 2023, 51: 756-763 (in Chinese with English abstract).
[36] 邓仁菊, 尹旺, 罗密, 吴巧玉, 付梅, 包维嘉, 潘牧, 张舟琼, 李云. 不同有机肥对甘薯产量、品质及土壤肥力的影响. 热带作物学报, 2024, 45: 351-361.
doi: 10.3969/j.issn.1000-2561.2024.02.015
Deng R J, Yin W, Luo M, Wu Q Y, Fu M, Bao W J, Pan M, Zhang Z Q, Li Y. Effects of different organic fertilizers on yield and quality of sweet potato and soil fertility. Chin J Trop Crops, 2024, 45: 351-361 (in Chinese with English abstract).
[37] 田胜营, 潘明泉, 吕秀敏, 崔小平, 张善磊, 刘晓飞. 有机无机肥配施对土壤性质和小麦生长、养分吸收利用的影响. 江苏农业科学, 2023, 51(23): 102-107.
Tian S Y, Pan M Q, Lyu X M, Cui X P, Zhang S L, Liu X F. Effects of combined application of organic and inorganic fertilizers on soil properties, wheat growth, nutrient absorption and utilization. Jiangsu Agric Sci, 2023, 51(23): 102-107 (in Chinese with English abstract).
[38] 吕真真, 吴向东, 侯红乾, 冀建华, 刘秀梅, 刘益仁. 有机-无机肥配施比例对双季稻田土壤质量的影响. 植物营养与肥料学报, 2017, 23: 904-913.
Lyu Z Z, Wu X D, Hou H Q, Ji J H, Liu X M, Liu Y R. Effect of different application ratios of chemical and organic fertilizers on soil quality in double cropping paddy fields. J Plant Nutr Fert, 2017, 23: 904-913 (in Chinese with English abstract).
[39] 王晓芳, 陈思杨, 罗章, 黄青青, 乔玉辉, 孙宏杰, 李花粉. 植物对硒的吸收转运和形态转化机制. 农业资源与环境学报, 2014, 31: 539-544.
Wang X F, Chen S Y, Luo Z, Huang Q Q, Qiao Y H, Sun H J, Li H F. Mechanisms of selenium uptake, translocation and chemical speciation transformation in plants. J Agric Resour Environ, 2014, 31: 539-544 (in Chinese with English abstract).
[40] 丁健, 武小平, 郭建芳, 贾新宇. 复合肥与商品有机肥配施对甘薯产量与品质的影响. 农业开发与装备, 2023, (6): 150-152.
Ding J, Wu X P, Guo J F, Jia X Y. Effect of applying compound fertilizer and commercial organic fertilizer on yield and quality of sweet potato. Agric Dev Equip, 2023, (6): 150-152 (in Chinese).
[41] 叶夏芳, 胡琼之, 邱天越, 王永徐, 吕尊富, 陆国权. 不同品种和加工方式对甘薯糖化特性的影响. 河南农业科学, 2019, 48(7): 141-149.
Ye X F, Hu Q Z, Qiu T Y, Wang Y X, Lyu Z F, Lu G Q. Effects of different varieties and processing methods on saccharification characteristics of sweet potato. J Henan Agric Sci, 2019, 48(7): 141-149 (in Chinese with English abstract).
[42] 赵琳, 叶夏芳, 董韦, 石江, 骆乐谈, 陆国权. 贮藏期不同类型甘薯块根营养品质与淀粉特性变化. 浙江农业学报, 2021, 33: 2224-2233.
doi: 10.3969/j.issn.1004-1524.2021.12.02
Zhao L, Ye X F, Dong W, Shi J, Luo L T, Lu G Q. Changes of nutritional quality and starch properties of different types of sweet potato roots during storage. Acta Agric Zhejiangensis, 2021, 33: 2224-2233 (in Chinese with English abstract).
doi: 10.3969/j.issn.1004-1524.2021.12.02
[43] 赵丽洁, 赵海燕, 韩根兰, 王江, 聂萌恩, 杜慧玲, 原向阳, 董淑琦. 氮肥配施有机肥对谷子品质的影响. 作物杂志, 2023, (6): 224-232.
Zhao L J, Zhao H Y, Han G L, Wang J, Nie M E, Du H L, Yuan X Y, Dong S Q. Effects of nitrogen fertilizer combined with organic fertilizer on quality of millet. Crops, 2023, (6): 224-232 (in Chinese with English abstract).
[44] 洪蕴恒, 宋聚红, 梁丽鹏, 付雅丽, 王海山. 影响甘薯食用品质因素分析. 蔬菜, 2022, (11): 40-43.
Hong Y H, Song J H, Liang L P, Fu Y L, Wang H S. Analysis of factors of affecting the edible quality of sweet potato. Vegetables, 2022, (11): 40-43 (in Chinese with English abstract).
[45] 刘文静, 余华, 任丽花, 潘葳, 郭嘉. 甘薯营养成分与口感品质的相关性研究. 食品工业科技, 2014, 35(12): 91-95.
Liu W J, Yu H, Ren L H, Pan W, Guo J. Study on the relationship between nutritional ingredient and taste quality of sweet potato varieties. Sci Technol Food Ind, 2014, 35(12): 91-95 (in Chinese with English abstract).
[46] 穆俊祥, 曹兴明, 弓建国, 梁建功, 郭美兰. 氮磷钾和有机肥配合施用对马铃薯淀粉含量和产量的影响. 土壤, 2009, 41: 844-848.
Mu J X, Cao X M, Gong J G, Liang J G, Guo M L. Effects of combined application of N, P, K and organic fertilizers on starch content and yield of potatoes. Soils, 2009, 41: 844-848 (in Chinese with English abstract).
[47] 刘拴成. 有机肥与无机肥配施对马铃薯生长发育及产质量的影响. 河南农业科学, 2020, 49(3): 32-39.
Liu S C. Effects of organic fertilizer combined with inorganic fertilizer on growth, yield and quality of potato. J Henan Agric Sci, 2020, 49(3): 32-39 (in Chinese with English abstract).
[48] 黄华宏, 陆国权, 郑遗凡. 不同生育期甘薯块根淀粉糊化特性的差异. 中国农业科学, 2005, 38: 462-467.
Huang H H, Lu G Q, Zheng Y F. Variation in root starch gelatinization characteristics during the growth and development of sweet potato. Sci Agric Sin, 2005, 38: 462-467 (in Chinese with English abstract).
[49] 唐忠厚, 张爱君, 陈晓光, 靳容, 刘明, 李洪民, 丁艳锋. 低钾胁迫对甘薯块根淀粉理化特性的影响及其基因型差异. 中国农业科学, 2017, 50: 513-525.
doi: 10.3864/j.issn.0578-1752.2017.03.010
Tang Z H, Zhang A J, Chen X G, Jin R, Liu M, Li H M, Ding Y F. Starch physico-chemical properties and their difference in three sweet potato (Ipomoea batatas (L.) Lam) genotypes under low potassium stress. Sci Agric Sin, 2017, 50: 513-525 (in Chinese with English abstract).
[50] Wen J L, Li Z Y, Yao J F, Wang S, Liu Y, Liu Y. The combined application of organic and inorganic fertilizers improved the quality of colored wheat by physicochemical properties and rheological characteristics of starch. Int J Biol Macromol, 2024, 282: 137175.
[51] 余树玺, 邢丽君, 木泰华, 张苗, 孙红男, 陈井旺. 4种不同甘薯淀粉成分、物化特性及其粉条品质的相关性研究. 核农学报, 2015, 29: 734-742.
doi: 10.11869/j.issn.100-8551.2015.04.0734
Yu S X, Xing L J, Mu T H, Zhang M, Sun H N, Chen J W. The study of correlation between the physicochemical properties of starch from different sweet potato varieties and the quality of its starch noodle. J Nucl Agric Sci, 2015, 29: 734-742 (in Chinese with English abstract).
doi: 10.11869/j.issn.100-8551.2015.04.0734
[52] 陈碧伟, 鞠玺凯, 孙一鸣, 李清华, 刘庆, 曾路生. 不同时期干旱对淀粉型甘薯产量形成及淀粉糊化特性的影响. 作物杂志, 2024, (3): 141-147.
Chen B W, Ju X K, Sun Y M, Li Q H, Liu Q, Zeng L S. Effects of drought in different periods on yield formation and starch gelatinization characteristics of starchy sweet potato. Crops, 2024, (3): 141-147 (in Chinese with English abstract).
[53] 侯夫云, 陈桂玲, 董顺旭, 解备涛, 秦桢, 李爱贤, 张立明, 王庆美. 不同品种甘薯淀粉组分、物化及粉条品质的比较研究. 核农学报, 2022, 36: 392-401.
doi: 10.11869/j.issn.100-8551.2022.02.0392
Hou F Y, Chen G L, Dong S X, Xie B T, Qin Z, Li A X, Zhang L M, Wang Q M. Comparative study on starch composition, physicochemical properties and noodle quality of different sweet potato varieties. J Nucl Agric Sci, 2022, 36: 392-401 (in Chinese with English abstract).
doi: 10.11869/j.issn.100-8551.2022.02.0392
[54] 刘亚军, 逯昀, 王文静, 胡启国, 储凤丽, 李志杰. 有机肥与土壤调理剂对连作甘薯生长发育及土壤肥力的影响. 作物杂志, 2024, (3): 168-174.
Liu Y J, Lu Y, Wang W J, Hu Q G, Chu F L, Li Z J. Effects of organic fertilizer and soil conditioner on the growth and development of continuous cropping sweet potato and soil fertility. Crops, 2024, (3): 168-174 (in Chinese with English abstract).
[1] 付江鹏, 柳发财, 闫宝琴, 王永栋, 李利利, 魏玮, 周英霞. 控释肥替代普通尿素对旱作高粱干物质积累分配、产量和品质的影响[J]. 作物学报, 2025, 51(9): 2501-2513.
[2] 杨姝, 白伟, 蔡倩, 杜桂娟. 玉米‖紫花苜蓿间作群体光分布特征及对植物性状和产量的影响[J]. 作物学报, 2025, 51(9): 2514-2526.
[3] 张海燕, 解备涛, 董顺旭, 张立明, 段文学. 滴灌条件下不同水溶肥种类和配比对鲜食甘薯产量和品质的影响[J]. 作物学报, 2025, 51(9): 2485-2500.
[4] 郭保卫, 王旺, 王开, 王岩, 曾鑫, 景秀, 王晶, 倪新华, 许轲, 张洪程. 长江中下游两类型糯稻高产群体动态特征及超高产形成规律[J]. 作物学报, 2025, 51(9): 2433-2453.
[5] 杨婷婷, 陈娟, ABDUL Rehman, 李婧, 闫素辉, 汪建来, 李文阳. 花后弱光对软质小麦干物质积累转运、籽粒产量和淀粉品质的影响[J]. 作物学报, 2025, 51(8): 2204-2219.
[6] 尤根基, 谢昊, 梁毓文, 李龙, 王玉茹, 蒋晨炀, 郭剑, 李广浩, 陆大雷. 氮肥减施措施对江淮春玉米产量和氮素吸收利用的影响[J]. 作物学报, 2025, 51(8): 2152-2163.
[7] 王曜阔, 王文政, 张敏, 刘希伟, 杨敏, 李昊昱, 张灵鑫, 闫彦菲, 蔡瑞国. 水氮运筹对冬小麦籽粒GMP合成和面粉加工品质的影响[J]. 作物学报, 2025, 51(8): 2176-2189.
[8] 李宜谦, 徐守振, 刘萍, 马麒, 谢斌, 陈红. 基于40K SNP芯片的陆地棉产量构成因素全基因组关联分析及单铃重位点挖掘[J]. 作物学报, 2025, 51(8): 2128-2138.
[9] 樊友众, 王先领, 王宗铠, 王春云, 王天尧, 谢捷, 蒯婕, 汪波, 王晶, 徐正华, 赵杰, 周广生. 秸秆还田耦合氮肥运筹对稻茬油菜光合性能及产量的影响[J]. 作物学报, 2025, 51(8): 2139-2151.
[10] 武斌, 曹永刚, 胡发龙, 殷文, 樊志龙, 范虹, 柴强. 免耕轮作对减氮小麦产量下降的补偿效果[J]. 作物学报, 2025, 51(7): 1959-1968.
[11] 吴柳格, 陈坚, 张鑫, 邓艾兴, 宋振伟, 郑成岩, 张卫建. 近二十年国审冬小麦品种的产量与品质性状变化趋势研究[J]. 作物学报, 2025, 51(7): 1814-1826.
[12] 李秋云, 李世贵, 范军亮, 刘昊天, 赵晓斌, 吕硕, 王艳浩, 岳云, 张宁, 司怀军. 离子锌和纳米锌对马铃薯生理特性、产量及品质的影响[J]. 作物学报, 2025, 51(7): 1838-1849.
[13] 赵佳雯, 李子洪, 欧星雨, 王伊朗, 丁小飞, 梁乐瑶, 丁文金, 张海鹏, 马尚宇, 樊永惠, 黄正来, 张文静. 氮肥与钾肥运筹对弱筋小麦籽粒产量、品质的影响[J]. 作物学报, 2025, 51(7): 1914-1933.
[14] 尹雨萌, 王雁楠, 康志河, 乔守晨, 卞倩倩, 李亚蔚, 曹郭郑, 赵国瑞, 徐丹丹, 杨育峰. 甘薯谷胱甘肽S-转移酶基因IbGSTU7的克隆及功能分析[J]. 作物学报, 2025, 51(7): 1736-1746.
[15] 王天译, 杨绣娟, 赵佳佳, 郝宇琼, 郑兴卫, 武棒棒, 李晓华, 郝水源, 郑军. 山西小麦醇溶蛋白多样性及其对面粉品质效应研究[J]. 作物学报, 2025, 51(7): 1784-1800.
Viewed
Full text


Abstract

Cited

  Shared   
  Discussed   
No Suggested Reading articles found!