Welcome to Acta Agronomica Sinica,

Acta Agronomica Sinica ›› 2026, Vol. 52 ›› Issue (1): 191-201.doi: 10.3724/SP.J.1006.2026.55037

• TILLAGE & CULTIVATION·PHYSIOLOGY & BIOCHEMISTRY • Previous Articles     Next Articles

Growth and dry matter production characteristics of high-yielding, high-oil, and high oleic acid peanut varieties

Jin Xin-Xin(), Song Ya-Hui, Su Qiao, Yang Yong-Qing, Wang Jin*()   

  1. Institute of Cereal and Oil Crops, Hebei Academy of Agriculture and Forestry Sciences / Hebei Key Laboratory of Crop Genetics and Breeding, Shijiazhuang 050035, Hebei, China
  • Received:2025-06-19 Accepted:2025-09-10 Online:2026-01-12 Published:2025-09-18
  • Contact: *E-mail: wangjinnky@163.com
  • Supported by:
    China Agriculture Research System of MOF and MARA(CARS-13);Hebei Agriculture Research System(HBCT2024040101);Hebei Agriculture Research System(HBCT2024040204);Science and Technology Innovation Team of Modern Peanut Seed Industry(21326316D);Talents Construction Project of Science and Technology Innovation of Hebei Academy of Agriculture and Forestry Sciences(2022KJCXZX-LYS-11)

Abstract:

This study compared the growth dynamics, dry matter accumulation, yield components, and oil accumulation characteristics of three high-oleic-acid peanut varieties—Jihua 915, Jihua 19, and Jihua 521—during the 2023 and 2024 growing seasons. The aim was to provide a theoretical basis for understanding the mechanisms underlying high yield, high oil content, and high oleic acid levels. Results showed that yield followed the order: Jihua 915 > Jihua 19 > Jihua 521. Jihua 915 exhibited a shorter plant height (< 40 cm), an optimal peak leaf area index (about 5.6), and a well-structured above-ground canopy. After pod initiation, Jihua 915 also demonstrated significantly higher crop growth rate, net assimilation rate, pod growth rate, and pod dry matter distribution ratio (48.75%) compared to the other two varieties. Although Jihua 521 had a large leaf area index and high photosynthetic potential during the growth period, its excessively dense canopy structure resulted in a lower allocation of dry matter to pods and reduced yield. Jihua 19 showed intermediate performance across all traits. In terms of oil and oleic acid content, Jihua 915 and Jihua 19 were comparable and both superior to Jihua 521. The peak accumulation rates of oil and oleic acid in Jihua 915 and Jihua 19 were significantly higher than those in Jihua 521, although their accumulation periods were relatively short. The superior performance of Jihua 915—characterized by optimal canopy architecture, efficient dry matter allocation to pods, and

rapid accumulation of oil and oleic acid—was a key contributor to its high yield and quality. The results can provide theoretical basis for breeding new peanut varieties and formulating cultivation technique.

Key words: high oleic acid, peanut, yield, dry matter accumulation, oil accumulation

Table 1

Yield and yield components of high-oleic acid peanut varieties"

年份
Year
品种
Variety
百果重
100-pod weight (g)
百仁重
100-seed weight (g)
千克果数
Pods per kg
千克仁数
Seeds per kg
2023 冀花521 Jihua 521 218.21±3.05 b 84.83±2.89b 651±53 b 1560±168 ab
冀花915 Jihua 915 241.28±0.41 a 96.85±0.79a 640±18 b 1368±60 b
冀花19号 Jihua 19 210.32±5.18 c 82.52±3.48b 753±39 a 1670±42 a
2024 冀花521 Jihua 521 233.19±1.81 b 87.11±0.51 b 605±5 b 1530±14 a
冀花915 Jihua 915 244.31±2.17 a 101.42±1.84 a 555±15 c 1288±16 c
冀花19号 Jihua 19 219.17±2.70 c 89.15±2.62 b 644±2 a 1458±14 b
变异来源
Source of variance
年份 Year (Y) 42.03** 17.23** 35.21** 9.09*
品种 Variety (V) 139.73** 66.52** 19.68** 18.08**
年份 × 品种Y × V 6.24* 1.35ns 1.85ns 2.32ns
年份
Year
品种
Variety
出米率
Seed production rate (%)
产量
Yield (kg hm-2)
单株果数
Pods per plant
饱果率
Full pod rate (%)
2023 冀花521 Jihua 521 64.39±0.91 b 4061.83±35.02 b 10.10±0.50 b 69.10±1.02 b
冀花915 Jihua 915 69.52±0.32 a 4947.73±129.56 a 13.95±0.05 a 72.72±0.37 a
冀花19号 Jihua 19 64.71±1.82 b 4639.59±297.63 a 13.30±050 a 68.41±0.80 b
2024 冀花521 Jihua 521 69.73±0.52 b 4378.99±18.79 c 10.60±0.70 b 70.10±1.90 b
冀花915 Jihua 915 74.50±0.49 a 5520.16±268.04 a 14.56±0.45 a 73.23±0.97 a
冀花19号 Jihua 19 70.82±0.72 b 4951.66±231.74 b 14.17±0.30 a 70.25±0.95 b
变异来源
Source of variance
年份 Year (Y) 153.00** 18.63** 9.16* 3.02ns
品种 Variety (V) 48.76** 40.01** 126.13** 18.79**
年份 × 品种Y × V 0.56ns 0.86ns 0.25ns 0.51ns

Table 2

Agronomic traits of high-oleic acid peanut varieties"

指标
Index
年份Year 品种
Variety
苗期
Seeding stage
开花期
Anthesis stage
结荚期
Pod setting stage
成熟期
Pod maturity stage
主茎高SH (cm) 2023 冀花521 Jihua 521 6.56±0.25 b 14.67±1.17 a 37.28±2.07 a 45.83±2.69 a
冀花915 Jihua 915 7.69±1.13 a 13.28±1.92 ab 29.00±3.09 b 33.22±1.68 c
冀花19号 Jihua 19 6.25±1.24 b 12.78±1.71 b 34.00±1.00 a 39.41±2.36 b
2024 冀花521 Jihua 521 10.33±0.88 b 19.39±1.00 a 45.28±1.17 b 54.61±1.71 a
冀花915 Jihua 915 11.56±0.86 ab 17.72±1.07 b 36.83±3.09 c 37.39±2.39 c
冀花19号 Jihua 19 12.33±0.17 a 20.90±2.56 a 50.00±3.12 a 51.94±4.43 b
侧枝长BL (cm) 2023 冀花521 Jihua 521 6.75±0.63 b 15.06±0.95 a 40.89±1.95 a 48.72±0.96 a
冀花915 Jihua 915 8.44±1.43 a 14.39±2.55 a 31.44±2.04 c 35.00±0.44 b
冀花19号 Jihua 19 6.94±1.29 b 14.44±1.71 a 35.94±1.42 b 45.95±4.02 a
2024 冀花521 Jihua 521 12.31±0.43 b 21.72±0.63 b 53.56±3.20 a 62.11±1.21 a
冀花915 Jihua 915 13.17±0.76 b 21.28±0.92 b 41.06±1.67 b 39.89±0.59 c
冀花19号 Jihua 19 14.61±0.25 a 23.63±2.14 a 52.33±6.26 a 57.83±5.54 b
分枝数TBN 2023 冀花521 Jihua 521 6.11±0.95 a 10.44±0.38 a 10.06±0.35 a 10.52±1.13 a
冀花915 Jihua 915 6.50±0.73 a 9.72±0.10 a 10.28±0.48 a 10.22±0.82 a
冀花19号 Jihua 19 5.72±0.69 a 8.50±0.93 b 8.83±0.76 b 8.78±0.25 b
2024 冀花521 Jihua 521 8.39±0.42 a 10.39±0.42 a 10.06±0.51 a 9.56±0.42 a
冀花915 Jihua 915 7.83±0.33 a 10.17±0.44 a 10.00±0.01 a 10.17±0.17 a
冀花19号 Jihua 19 6.72±0.25 b 7.64±0.20 b 7.78±0.25 b 7.72±0.35 b
单株叶面积LA
(cm2 plant-1)
2023 冀花521 Jihua 521 331.29±30.32 a 1099.95±111.74 a 2022.48±227.31 a 2171.12±81.70 a
冀花915 Jihua 915 329.61±76.05 a 914.68±51.84 a 1558.16±77.18 b 1699.89±84.33 b
冀花19号 Jihua 19 270.51±73.33 b 788.34±89.41 b 1645.21±121.58 b 1653.24±238.63 b
2024 冀花521 Jihua 521 775.98±75.79 a 1223.64±116.45 a 2153.56±125.21 a 2277.37±248.77 a
冀花915 Jihua 915 807.46±2.10 a 1097.53±80.71 a 1731.51±101.45 b 2060.26±176.95 a
冀花19号 Jihua 19 726.96±54.87 a 1057.24±52.67 a 1814.92±96.67 b 1938.41±84.68 a
叶面积指数LAI 2023 冀花521 Jihua 521 0.99±0.09 a 3.30±0.34 a 6.07±0.68 a 6.51±0.25 a
冀花915 Jihua 915 0.99±0.23 a 2.74±0.16 b 4.67±0.23 b 5.10±0.25 b
冀花19号 Jihua 19 0.81±0.22 b 2.37±0.27 b 4.94±0.36 b 4.96±0.72 b
2024 冀花521 Jihua 521 1.86±0.23 a 3.67±0.35 a 6.46±0.38 a 6.83±0.75 a
冀花915 Jihua 915 1.94±0.01 a 3.29±0.24 a 5.19±0.30 b 6.18±0.53 ab
冀花19号 Jihua 19 1.74±0.16 a 3.17±0.16 a 5.44±0.29 b 5.82±0.25 b

Table 3

Characteristics of photosynthate accumulation in different high-oleic acid peanut varieties"

生育阶段
Development phase
光合物质生产指标
Index of production of dry matter
冀花19号
Jihua 19
冀花521
Jihua 521
冀花915
Jihua 915
苗期Seeding stage 积累量Biomass (kg hm-2) 1808.83±607.17 a 2009.50±570.99 a 2009.08±585.78 a
占生物学产量的比例RBSM (%) 12.44±3.28 a 12.65±2.75 a 13.31±3.21 a
群体生长率CGR (kg hm-2 d-1) 50.93±13.62 b 57.10±12.04 a 57.01±12.49 a
光合势LAD (×104 m2 d hm-2) 13.40±5.17 b 14.78±5.18 ab 15.21±5.51 a
净同化速率NAR (g m-2 d-1) 4.94±0.34 a 5.00±0.42 a 4.90±0.44 a
苗期至开花期
Seeding stage to anthesis stage
积累量Biomass (kg hm-2) 2047.67±170.41 b 2799.50±39.36 a 2097.58±102.88 b
占生物学产量的比例RBSM (%) 14.85±1.37 b 18.40±2.54 a 14.43±2.39 b
群体生长率CGR (kg hm-2 d-1) 118.16±37.32 b 160.24±39.95 a 119.17±22.37 b
光合势LAD (×104 m2 d hm-2) 36.75±4.80 b 45.04±0.07 a 41.03±2.59 ab
净同化速率NAR (g m-2 d-1) 5.89±0.60 b 6.63±0.34 a 5.39±0.88 b
荚果生长率PGR (kg hm-2 d-1) 6.81±2.41 b 4.93±1.69 c 8.89±2.29 a
开花期至结荚期
Anthesis stage to pod setting stage
积累量Biomass (kg hm-2) 6698.05±887.12 ab 7042.17±911.70 a 6110.33±483.66 b
占生物学产量的比例RBSM (%) 48.37±2.09 a 45.89±1.04 b 41.72±1.60 c
群体生长率CGR (kg hm-2 d-1) 226.76±24.64 a 238.42±25.19 a 206.99±11.43 b
光合势LAD (×104 m2 d hm-2) 117.55±16.54 b 143.90±11.42 a 117.44±13.96 b
净同化速率NAR (g m-2 d-1) 5.90±0.13 a 5.02±0.24 b 5.32±0.24 ab
荚果生长率PGR (kg hm-2 d-1) 94.32±16.26 b 75.94±15.60 c 117.25±13.57 a
结荚期至成熟期
Pod setting stage to maturity stage
积累量Biomass (kg hm-2) 3344.59±161.72 b 3522.63±241.69 b 4461.01±168.78 a
占生物学产量的比例RBSM (%) 24.33±3.10 b 23.06±1.93 b 30.53±2.43 a
群体生长率CGR (kg hm-2 d-1) 126.34±9.47 b 133.10±12.67 b 168.48±10.86 a
光合势LAD (×104 m2 d hm-2) 139.98±9.05 b 171.32±2.10 a 139.91±11.26 b
净同化速率NAR (g m-2 d-1) 2.36±0.04 b 2.06±0.12 b 3.20±0.13 a
荚果生长率PGR (kg hm-2 d-1) 100.72±29.37 b 104.31±14.30 b 133.88±1.22 a

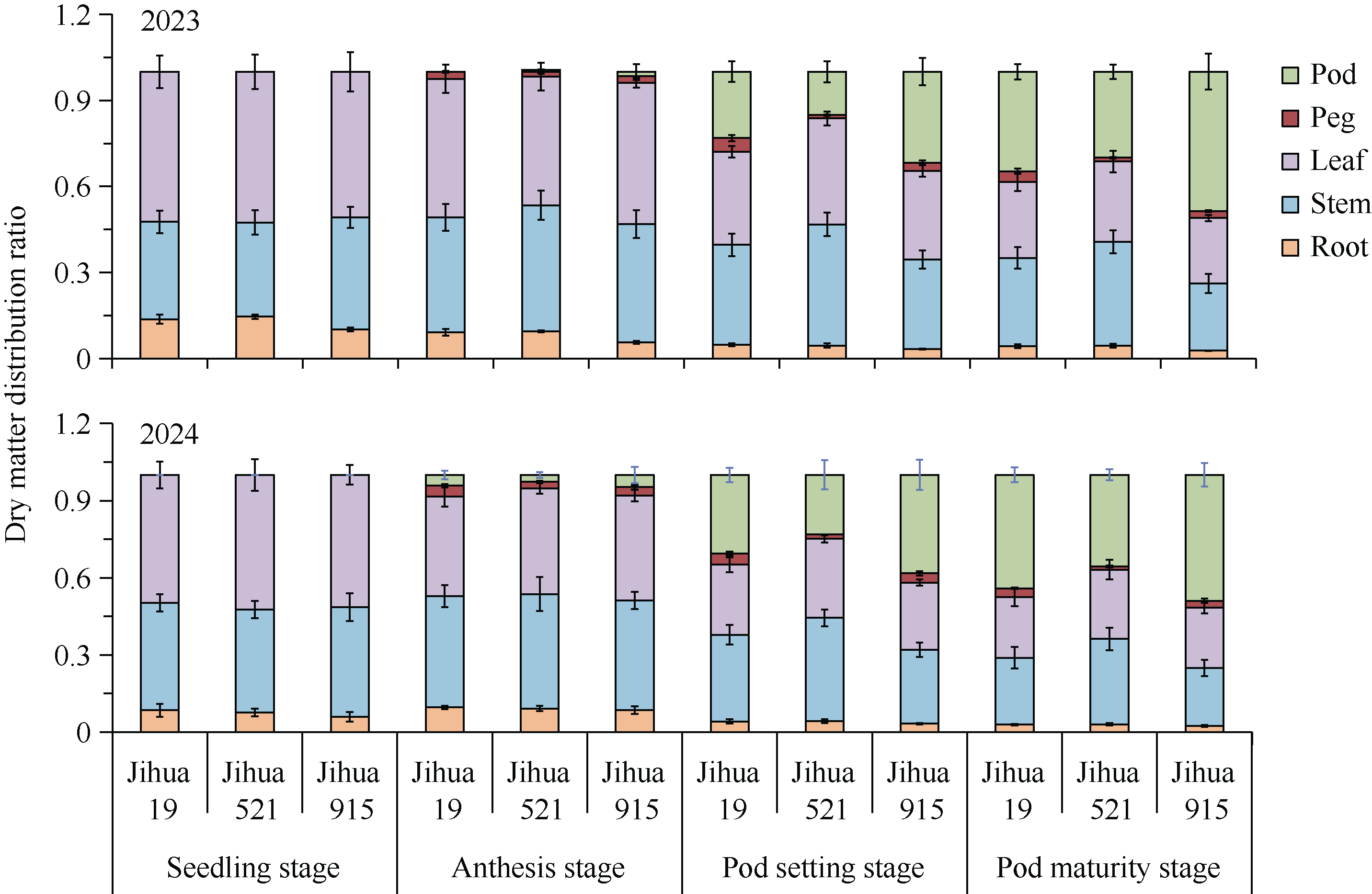
Fig. 1

Distribution of dry matter accumulation among plant organs in different high-oleic acid peanut varieties"

Fig. 2

Number of flowers per plant in different high oleic acid peanut varieties DAP: days after planting."

Fig. 3

Oil and oleic acid accumulation in different high-oleic acid peanut varieties DAP: days after planting."

Table 4

Characteristic parameters of oil and oleic acid accumulation equations in different high-oleic acid peanut varieties"

指标
Index
年份
Year
品种
Variety
相关系数
Correlation coefficient
最大增长速率
Maximum growth
rate (% d-1)
到达最大增长速率时间
Time of maximum
growth rate (d)
油分积累
Oil accumulation
2023 冀花19号Jihua 19 0.973 2.04 69
冀花521 Jihua 521 0.953 0.92 73
冀花915 Jihua 915 0.952 2.68 66
2024 冀花19号Jihua 19 0.989 1.96 67
冀花521 Jihua 521 0.973 1.39 66
冀花915 Jihua 915 0.990 1.90 67
油酸积累
Oleic acid
accumulation
2023 冀花19号Jihua 19 0.998 1.76 57
冀花521 Jihua 521 0.988 1.43 56
冀花915 Jihua 915 0.990 2.45 54
2024 冀花19号Jihua 19 0.980 1.73 57
冀花521 Jihua 521 0.968 1.49 60
冀花915 Jihua 915 0.984 1.82 56
指标
Index
年份
Year
品种
Variety
快速积累起始时间
Initial time of fast
accumulation t1 (d)
快速积累终止时间
End time of fast
accumulation t2 (d)
快速累积期的持续时间Duration of fast
accumulation Δt (d)
油分积累
Oil accumulation
2023 冀花19号Jihua 19 61 77 16
冀花521 Jihua 521 58 87 29
冀花915 Jihua 915 60 72 12
2024 冀花19号Jihua 19 59 75 17
冀花521 Jihua 521 58 75 18
冀花915 Jihua 915 59 76 17
油酸积累
Oleic acid
accumulation
2023 冀花19号Jihua 19 42 72 30
冀花521 Jihua 521 38 74 36
冀花915 Jihua 915 43 65 21
2024 冀花19号Jihua 19 41 72 31
冀花521 Jihua 521 42 77 36
冀花915 Jihua 915 41 71 30
[1] 中华人民共和国国家统计局. [2025-03-01], https://data.stats.gov.cn/easyquery.htm cn=C01.
National Bureau of Statistics, the People’s Republic of China. [2025-03-01], https://data.stats.gov.cn/easyquery.htm cn=C01. (in Chinese).
[2] 鲁清, 刘浩, 李海芬, 等. 花生含油量全基因组选择及近红外光谱筛选的育种技术探究. 作物学报, 2024, 50: 969-980.
doi: 10.3724/SP.J.1006.2024.34115
Lu Q, Liu H, Li H F, et al. Research on oil content screen with genomic selection and near infrared ray in peanut (Arachis hypogaea L.). Acta Agron Sin, 2024, 50: 969-980 (in Chinese with English abstract).
doi: 10.3724/SP.J.1006.2024.34115
[3] 廖伯寿. 我国花生生产发展现状与潜力分析. 中国油料作物学报, 2020, 42(2): 161-166.
Liao B S. A review on progress and prospects of peanut industry in China. Chin J Oil Crop Sci, 2020, 42(2): 161-166 (in Chinese with English abstract).
doi: 10.19802/j.issn.1007-9084.2020115
[4] 陈四龙, 程增书, 宋亚辉, 等. 高产高油花生品种的光合与物质生产特征. 作物学报, 2019, 45: 276-288.
doi: 10.3724/SP.J.1006.2019.84050
Chen S L, Cheng Z S, Song Y H, et al. Leaf photosynthesis and matter production dynamic characteristics of peanut varieties with high yield and high oil content. Acta Agron Sin, 2019, 45: 276-288 (in Chinese with English abstract).
doi: 10.3724/SP.J.1006.2019.84050
[5] 辛明华, 秘雅迪, 王国平, 等. 行距配置和种植密度对棉花干物质生产及产量的影响. 作物学报, 2025, 51: 221-232.
doi: 10.3724/SP.J.1006.2025.34189
Xin M H, Mi Y D, Wang G P, et al. Effect of row spacing configuration and density regulation on dry matter production and yield in cotton. Acta Agron Sin, 2025, 51: 221-232 (in Chinese with English abstract).
[6] 李利利, 张吉旺, 董树亭, 等. 不同株高夏玉米品种同化物积累转运与分配特性. 作物学报, 2012, 38: 1080-1087.
doi: 10.3724/SP.J.1006.2012.01080
Li L L, Zhang J W, Dong S T, et al. Characteristics of accumulation, transition and distribution of assimilate in summer maize varieties with different plant height. Acta Agron Sin, 2012, 38: 1080-1087 (in Chinese with English abstract).
doi: 10.3724/SP.J.1006.2012.01080
[7] 陈鸽, 谷雨, 文炯, 等. 冬闲杂草还田对水稻光合物质生产和产量的影响. 中国农业科学, 2025, 58: 647-659.
doi: 10.3864/j.issn.0578-1752.2025.04.003
Chen G, Gu Y, Wen J, et al. Effects of fallow weeds returning to the field on photosynthetic matter production and yield of rice. Sci Agric Sin, 2025, 58: 647-659 (in Chinese with English abstract).
doi: 10.3864/j.issn.0578-1752.2025.04.003
[8] 魏海燕, 凌启鸿, 张洪程, 等. 作物群体质量及其关键调控技术. 扬州大学学报(农业与生命科学版), 2018, 39(2): 1-9.
Wei H Y, Ling Q H, Zhang H C, et al. The quality of crop population and its key regulation technology. J Yangzhou Univ (Agric Life Sci Edn), 2018, 39(2): 1-9 (in Chinese with English abstract).
[9] 陈传永, 侯玉虹, 孙锐, 等. 密植对不同玉米品种产量性能的影响及其耐密性分析. 作物学报, 2010, 36: 1153-1160.
doi: 10.3724/SP.J.1006.2010.01153
Chen C Y, Hou Y H, Sun R, et al. Effects of planting density on yield performance and density-tolerance analysis for maize hybrids. Acta Agron Sin, 2010, 36: 1153-1160 (in Chinese with English abstract).
doi: 10.3724/SP.J.1006.2010.01153
[10] 王志刚, 高聚林, 张宝林, 等. 内蒙古平原灌区高产春玉米(15 t hm-2以上)产量性能及增产途径. 作物学报, 2012, 38: 1318-1327.
doi: 10.3724/SP.J.1006.2012.01318
Wang Z G, Gao J L, Zhang B L, et al. Productivity performance of high-yield spring maize and approaches to increase grain yield (above 15 t hm-2) in irrigated plain of Inner Mongolia. Acta Agron Sin, 2012, 38: 1318-1327 (in Chinese with English abstract).
doi: 10.3724/SP.J.1006.2012.01318
[11] 吴桂成, 张洪程, 戴其根, 等. 南方粳型超级稻物质生产积累及超高产特征的研究. 作物学报, 2010, 36: 1921-1930.
doi: 10.3724/SP.J.1006.2010.01921
Wu G C, Zhang H C, Dai Q G, et al. Characteristics of dry matter production and accumulation and super-high yield of japonica super rice in South China. Acta Agron Sin, 2010, 36: 1921-1930 (in Chinese with English abstract).
[12] 杨建昌, 杜永, 吴长付, 等. 超高产粳型水稻生长发育特性的研究. 中国农业科学, 2006, 39: 1336-1345.
Yang J C, Du Y, Wu C F, et al. Growth and development characteristics of super-high-yielding mid-season Japonica rice. Sci Agric Sin, 2006, 39: 1336-1345 (in Chinese with English abstract).
doi: 10.3864/j.issn.0578-1752.at-2005-5696
[13] 李国卫, 秦圣豪, 刘译阳, 等. 花生株型相关性状研究进展. 中国油料作物学报, 2020, 42: 934-939.
Li G W, Qin S H, Liu Y Y, et al. Advances in plant architecture studies of peanut. Chin J Oil Crop Sci, 2020, 42: 934-939 (in Chinese with English abstract).
doi: 10.19802/j.issn.1007-9084.2020212
[14] 王才斌, 郑亚萍, 成波, 等. 花生超高产群体特征与光能利用研究. 华北农学报, 2004, 19(2): 40-43.
Wang C B, Zheng Y P, Cheng B, et al. The canopy characters and efficiency for solar energy utilization of supper high yielding peanut. Acta Agric Boreali-Sin, 2004, 19(2): 40-43 (in Chinese with English abstract).
[15] 吴正锋, 王才斌, 刘俊华, 等. 不同产量水平花生群体特征研究. 花生学报, 2013, 42(4): 7-13.
Wu Z F, Wang C B, Liu J H, et al. The population characteristics of peanut with different yield levels. J Peanut Sci, 2013, 42(4): 7-13 (in Chinese with English abstract).
[16] 王建国, 耿耘, 杨佃卿, 等. 单粒精播对中、高产旱地花生群体质量及养分利用的影响. 作物学报, 2022, 48: 2866-2878.
doi: 10.3724/SP.J.1006.2022.14212
Wang J G, Geng Y, Yang D Q, et al. Effects of single seed precision sowing on population quality, nutrient utilization of peanut in medium and high yield drylands. Acta Agron Sin, 2022, 48: 2866-2878 (in Chinese with English abstract).
[17] 张佳蕾, 郭峰, 杨佃卿, 等. 单粒精播对超高产花生群体结构和产量的影响. 中国农业科学, 2015, 48: 3757-3766.
doi: 10.3864/j.issn.0578-1752.2015.18.019
Zhang J L, Guo F, Yang D Q, et al. Effects of single-seed precision sowing on population structure and yield of peanuts with super-high yield cultivation. Sci Agric Sin, 2015, 48: 3757-3766 (in Chinese with English abstract).
[18] 王小纯, 马新明, 常思敏, 等. 不同花生品种荚果发育及有机物积累动态研究. 中国油料作物学报, 2003, 25: 37-40.
Wang X C, Ma X M, Chang S M, et al. Effects of electric field treatment on seed germination and enzyme activities under drought stress in oil sunflower seeds. Chin J Oil Crop Sci, 2003, 25: 37-40 (in Chinese with English abstract).
[19] 张佳蕾, 顾学花, 杨传婷, 等. 不同品质类型花生籽仁脂肪酸积累规律研究. 花生学报, 2016, 45(2): 33-37.
Zhang J L, Gu X H, Yang C T, et al. Regularity of fatty acids accumulation in different quality types of peanut seed kernel. J Peanut Sci, 2016, 45(2): 33-37 (in Chinese with English abstract).
[20] 陈四龙, 李玉荣, 徐桂真, 等. 不同高油花生品种(系)油分积累特性的模拟研究. 作物学报, 2008, 34: 142-149.
doi: 10.3724/SP.J.1006.2008.00142
Chen S L, Li Y R, Xu G Z, et al. Simulation on oil accumulation characteristics in different high oil peanut varieties. Acta Agron Sin, 2008, 34: 142-149 (in Chinese with English abstract).
doi: 10.3724/SP.J.1006.2008.00142
[21] 迟晓元, 郝翠翠, 潘丽娟, 等. 不同花生品种脂肪酸组成及其积累规律的研究. 花生学报, 2016, 45(3): 32-36.
Chi X Y, Hao C C, Pan L J, et al. Fatty acid accumulation pattern in different types of peanut. J Peanut Sci, 2016, 45(3): 32-36 (in Chinese with English abstract).
[22] 梁煜莹, 张加羽, 姜骁, 等. 花生品质与气候环境的关系研究. 植物遗传资源学报, 2024, 25: 227-244.
Liang Y Y, Zhang J Y, Jiang X, et al. Study on the relationship between peanut quality and climatic environments. J Plant Genet Resour, 2024, 25: 227-244 (in Chinese with English abstract).
doi: 10.13430/j.cnki.jpgr.20230728001
[23] 李丽, 崔顺立, 穆国俊, 等. 高油酸花生遗传改良研究进展. 中国油料作物学报, 2019, 41: 986-997.
doi: 10.19802/j.issn.1007-9084.2019160
Li L, Cui S L, Mu G J, et al. Research progress of peanut breeding with high oleic acid. Chin J Oil Crop Sci, 2019, 41: 986-997 (in Chinese with English abstract).
doi: 10.19802/j.issn.1007-9084.2019160
[24] 高伟, 吕登宇, 苗利娟, 等. 高油酸花生品种脂肪及脂肪酸积累动态分析. 中国油料作物学报, 2023, 45: 629-636.
doi: 10.19802/j.issn.1007-9084.2022086
Gao W, Lyu D Y, Miao L J, et al. Dynamic analysis of fat and fatty acid accumulation in peanut varieties with high oleic acid. Chin J Oil Crop Sci, 2023, 45: 629-636 (in Chinese with English abstract).
doi: 10.19802/j.issn.1007-9084.2022086
[25] 苏俏, 杨永庆, 李玉荣, 等. 高油酸花生籽仁发育过程中脂肪酸动态变化分析. 河北农业大学学报, 2023, 46(4): 1-7.
Su Q, Yang Y Q, Li Y R, et al. Dynamic changes of fatty acid during kernel development in high oleic acid peanut. J Hebei Agric Univ, 2023, 46(4): 1-7 (in Chinese with English abstract).
[26] 张佳蕾, 王建国, 李元高, 等. 花生高产攻关实收单产12,982 kg hm-2技术分析. 中国油料作物学报, 2024, 46: 443-449.
doi: 10.19802/j.issn.1007-9084.2024069
Zhang J L, Wang J G, Li Y G, et al. Technical analysis of peanut high-yield development tackling with 12,982 kg hm-2. Chin J Oil Crop Sci, 2024, 46: 443-449 (in Chinese with English abstract).
[27] 邓陈威, 雷亚柯, 张建航, 等. 高油酸花生育种研究进展. 安徽农业科学, 2024, 52(13): 15-18.
Deng C W, Lei Y K, Zhang J H, et al. Research progress in peanut breeding with high oleic acid. J Anhui Agric Sci, 2024, 52(13): 15-18 (in Chinese with English abstract).
[28] 丁迪, 刘涵, 汪江涛, 等. 间作、轮作对连作花生植株生长、产量及品质的改善效应. 华北农学报, 2024, 39(6): 115-124.
doi: 10.7668/hbnxb.20195031
Ding D, Liu H, Wang J T, et al. Improving effects of intercropping and rotation on plant growth, yield and quality of continuous cropping peanut. Acta Agric Boreali-Sin, 2024, 39(6): 115-124 (in Chinese with English abstract).
doi: 10.7668/hbnxb.20195031
[29] 张月, 王志慧, 淮东欣, 等. 花生含油量的遗传基础与QTL定位研究进展. 作物学报, 2024, 50: 529-542.
doi: 10.3724/SP.J.1006.2024.34083
Zhang Y, Wang Z H, Huai D X, et al. Research progress on genetic basis and QTL mapping of oil content in peanut seed. Acta Agron Sin, 2024, 50: 529-542 (in Chinese with English abstract).
doi: 10.3724/SP.J.1006.2024.34083
[30] 郑亚萍, 孔显民, 成波, 等. 花生高产群体特征研究. 花生学报, 2003, 32(2): 21-25.
Zheng Y P, Kong X M, Cheng B, et al. Characters of high yielding peanut canopy. J Peanut Sci, 2003, 32(2): 21-25 (in Chinese with English abstract).
[31] 王建国, 张佳蕾, 郭峰, 等. 钙与氮肥互作对花生干物质和氮素积累分配及产量的影响. 作物学报, 2021, 47: 1666-1679.
doi: 10.3724/SP.J.1006.2021.04186
Wang J G, Zhang J L, Guo F, et al. Effects of interaction between calcium and nitrogen fertilizers on dry matter, nitrogen accumulation and distribution, and yield in peanut. Acta Agron Sin, 2021, 47: 1666-1679 (in Chinese with English abstract).
doi: 10.3724/SP.J.1006.2021.04186
[1] Shi Lyu, Shi Xiao-Xu, Han Xiao, Shan Hai-Yong, Liu Xu-Jie, Zhang Jin, Yan Yi-Ni, Li Ying, Liu Hai-Cui, Wei Ya-Feng, Yang Mei-Ying, Xue Ya-Guang, Liu Jian, Zhang Zu-Jian. Effects of nitrogen fertilizer reduction and topdressing methods on wheat yield, nitrogen use efficiency, and N2O emissions in wheat fields [J]. Acta Agronomica Sinica, 2026, 52(1): 202-220.
[2] Ma Ting-Ting, Guo Xiao-Jiang, Li Hao, Deng Mei, Pu Zhi-En, Li Wei, Zhang Ya-Zhou, Wang Feng-Tao, Cui Feng-Juan, Wei Yu-Ming, Wang Ji-Rui, Jiang Yun-Feng, Chen Guo-Yue. Breeding strategy for synergistic improvement of yield, disease resistance, and stress tolerance in Shumai 753 using the wheat landrace Xiaoganmai [J]. Acta Agronomica Sinica, 2026, 52(1): 56-71.
[3] Chi Xiao-Yuan, Liu Qing, Zhang Jun, Zhao Xu-Hong, Li Mei, Yu Tian-Yi, Pan Li-Juan, Xu Jing, Jiang Xiao, Yin Xiang-Zhen, Ma Jun-Qing, Chen Na. Field evaluation of salt-alkaline tolerance and trait correlation analysis in different peanut varieties (lines) [J]. Acta Agronomica Sinica, 2026, 52(1): 85-98.
[4] Sun Chen-Shuo, Zhang Yue, Tian Ze-Kai, Yan Li-Ying, Kang Yan-Ping, Chen Yu-Ning, Wang Xin, Huai Dong-Xin, Wang Qian-Qian, Jiang Hui-Fang, Luo Huai-Yong, Huang Li, Liao Bo-Shou, Wang Zhi-Hui, Lei Yong. Genetic differentiation of peg strength and analysis of major influencing factors in peanut germplasm [J]. Acta Agronomica Sinica, 2026, 52(1): 118-130.
[5] Chen Xuan-Yi, Zhang Jian-Wei, Zhang Xiang-Qian, Ge Guo-Long, Lu Zhan-Yuan, Guo Xing-Xing, Ma Zi-Hui, Li Xin-Yi, Chen Li-Yu. Study on the impact of different soybean-maize strip intercropping patterns on the spatio-temporal dynamics of water and heat in maize strips and on maize yield and economic returns [J]. Acta Agronomica Sinica, 2026, 52(1): 178-190.
[6] Yang Rui, Chen Jing-Dong, Huang Ying, Zhang Xue-Kun, Zhou Deng-Wen, Liu Qing-Yun, Xu Jing-Song, Xie Ling-Li, Xu Ben-Bo. Region-specific yield optimization strategies for rapeseed (Brassica napus L.) in the middle Yangtze Basin across the 30°N latitude [J]. Acta Agronomica Sinica, 2026, 52(1): 99-117.
[7] Wang Fei-Fei, Zhang Sheng-Zhong, Yang Gui-Hua, Miao Hua-Rong, Hu Xiao-Hui, Zhang Ze-Lin, Liu Sha-Sha, Qiao Li-Xian, Shan Shi-Hua, Chen Jing. Comprehensive evaluation of salt tolerance and identification of elite salt-tolerant germplasm in 331 peanut accessions at seedling stage [J]. Acta Agronomica Sinica, 2026, 52(1): 279-294.
[8] FU Jiang-Peng, LIU Fa-Cai, YAN Bao-Qin, WANG Yong-Dong, LI Li-Li, WEI Wei, ZHOU Ying-Xia. Effect of replacing common urea with controlled-release fertilizer on dry matter accumulation, partitioning, yield, and quality of sorghum in dryland farming [J]. Acta Agronomica Sinica, 2025, 51(9): 2501-2513.
[9] YANG Shu, BAI Wei, CAI Qian, DU Gui-Juan. Characteristics of light distribution in maize‖alfalfa intercropping systems and their effects on plant traits and yield [J]. Acta Agronomica Sinica, 2025, 51(9): 2514-2526.
[10] ZHANG Hai-Yan, XIE Bei-Tao, DONG Shun-Xu, ZHANG Li-Ming, DUAN Wen-Xue. Effects of different types and ratios of water-soluble fertilizers on the yield and quality of table-use sweet potato [Ipomoea batatas (L.) Lam.] under drip irrigation [J]. Acta Agronomica Sinica, 2025, 51(9): 2485-2500.
[11] GUO Bao-Wei, WANG Wang, WANG Kai, WANG Yan, ZENG Xin, JING Xiu, WANG Jing, NI Xin-Hua, XU Ke, ZHANG Hong-Cheng. Population dynamic characteristics and formation mechanisms of super high-yielding of two types of glutinous rice in the middle and lower reaches of the Yangtze Rive [J]. Acta Agronomica Sinica, 2025, 51(9): 2433-2453.
[12] YANG Ting-Ting, CHEN Juan, ABDUL Rehman, LI Jing, YAN Su-Hui, WANG Jian-Lai, LI Wen-Yang. Effects of weak light post-anthesis on dry matter accumulation and translocation, grain yield, and starch quality in soft wheat [J]. Acta Agronomica Sinica, 2025, 51(8): 2204-2219.
[13] YOU Gen-Ji, XIE Hao, LIANG Yu-Wen, LI Long, WANG Yu-Ru, JIANG Chen-Yang, GUO Jian, LI Guang-Hao, LU Da-Lei. Effects of nitrogen fertilizer reduction measures on yield and nitrogen use efficiency of spring maize in Jianghuai region [J]. Acta Agronomica Sinica, 2025, 51(8): 2152-2163.
[14] LI Yi-Qian, XU Shou-Zhen, LIU Ping, MA Qi, XIE Bin, CHEN Hong. Genome-wide association study of yield components using a 40K SNP array and identification of a stable locus for boll weight in upland cotton (Gossypium hirsutum L.) [J]. Acta Agronomica Sinica, 2025, 51(8): 2128-2138.
[15] FAN You-Zhong, WANG Xian-Ling, WANG Zong-Kai, WANG Chun-Yun, WANG Tian-Yao, XIE Jie, KUAI Jie, WANG Bo, WANG Jing, XU Zheng-Hua, ZHAO Jie, ZHOU Guang-Sheng. Effects of straw incorporation combined with nitrogen management on photosynthetic efficiency and yield of rapeseed following rice [J]. Acta Agronomica Sinica, 2025, 51(8): 2139-2151.
Viewed
Full text


Abstract

Cited

  Shared   
  Discussed   
No Suggested Reading articles found!