Welcome to Acta Agronomica Sinica,

Acta Agronomica Sinica ›› 2026, Vol. 52 ›› Issue (1): 279-294.doi: 10.3724/SP.J.1006.2026.55044

• RESEARCH NOTES • Previous Articles     Next Articles

Comprehensive evaluation of salt tolerance and identification of elite salt-tolerant germplasm in 331 peanut accessions at seedling stage

Wang Fei-Fei1(), Zhang Sheng-Zhong1, Yang Gui-Hua2, Miao Hua-Rong1, Hu Xiao-Hui1, Zhang Ze-Lin3, Liu Sha-Sha4, Qiao Li-Xian5, Shan Shi-Hua1,*(), Chen Jing1,*()   

  1. 1Shandong Peanut Research Institute, Qingdao 266100, Shandong, China
    2Jinan Agricultural Technology Extension Center, Jinan 250002, Shandong, China
    3Youzha Town People’s Government, Luanzhou City, Tangshan 063702, Hebei, China
    4Qingdao Lujufeng Seed Industry Co., Ltd., Qingdao 266200, Shandong, China
    5College of Agronomy, Qingdao Agricultural University, Qingdao 266109, Shandong, China
  • Received:2025-07-11 Accepted:2025-10-30 Online:2026-01-12 Published:2025-11-10
  • Contact: *E-mail: mianbaohua2008@126.com; E-mail: shanshi@163.com
  • Supported by:
    Shandong Province Agriculture Improved Seed Project(2024LZGC031);Innovation Project of Shandong Academy of Agriculture Sciences(CXGC2025E02)

Abstract:

Soil salinization is a major constraint limiting the expansion and yield of peanut cultivation. Screening salt-tolerant peanut germplasm and identifying related traits provide a foundation for breeding salt-tolerant varieties and investigating the mechanisms underlying salt tolerance. In this study, the salt tolerance of 331 peanut accessions was evaluated at the seedling stage using a hydroponic system. Eight parameters were measured: SPAD value, plant height, shoot fresh weight, root fresh weight, shoot dry weight, root dry weight, fresh weight root/shoot ratio, and dry weight root/shoot ratio. A comprehensive evaluation of salt tolerance was conducted using principal component analysis (PCA), membership function analysis, and cluster analysis. Under different salt concentrations, six parameters—plant height, shoot fresh weight, root fresh weight, shoot dry weight, fresh weight root/shoot ratio, and dry weight root/shoot ratio—showed significant differences among accessions. Salt stress inhibited peanut growth and significantly reduced four of these parameters compared with the control. Correlation analysis revealed significant relationships among the salt tolerance coefficients of all eight parameters, with the strongest correlation observed between root fresh weight and root dry weight (r = 0.83). PCA reduced the eight parameters to three principal components, accounting for a cumulative variance of 76.22%. Based on D-values (comprehensive evaluation scores), cluster analysis grouped the 331 accessions into five categories: Group I (highly salt-tolerant, 11 accessions), Group II (salt-tolerant, 33 accessions), Group III (intermediate, 104 accessions), Group IV (salt-sensitive, 42 accessions), and Group V (highly salt-sensitive, 141 accessions). A stepwise regression analysis yielded a predictive equation for evaluating salt tolerance in peanut seedlings: Y = 0.032 + 0.163X4 + 0.137X3 + 0.073X1 - 0.158 X2 + 0.111X5 + 0.080X6. The D-value proved effective for assessing salt tolerance at the seedling stage, and 11 salt-tolerant germplasms, including Huashi 2, AM-Ceorganic, and Zhonghua 6, were identified. Plant height, root dry weight, and shoot dry weight were identified as key indicators for evaluating peanut salt tolerance at the seedling stage.

Key words: peanut, seedling stage, assessment of salt tolerance, principal component analysis, subordinate function analysis, germplasm evaluation

Table 1

Names of the 331 peanut germplasms tested"

序号
Number
种质
Germplasm
序号
Number
种质
Germplasm
序号
Number
种质
Germplasm
1 鲁花8号Luhua 8 113 AM-C1501-HO/L 225 正花6088 Zhenghua 6088
2 鲁花10号Luhua 10 114 AM-C1801_H_917 226 ZZL-ZH6
3 鲁花11号Luhua 11 115 AM-C1801_H_954 227 远杂9847 Yuanza 9847
4 鲁花12号Luhua 12 116 AM-C1801_H_980 228 徐花18号 Xuhua 18
5 花育16号Huayu 16 117 AM-C1801_H_1036 229 ZZL-XH1
6 花育20号Huayu 20 118 AM-C1801_H_1075 230 ZZL-W10
7 花育23号Huayu 23 119 AM-C1801_H_1202 231 鲁花6号Luhua 6
8 花育24号Huayu 24 120 AM-C1801_H_1250 232 ZZL-KT1
9 花育25号Huayu 25 121 AM-C1801_H_1272 233 华实2号 Huashi 2
10 花育26号Huayu 26 122 AM-C1801_H_1314 234 ZZL-GH88
11 花育27号Huayu 27 123 AM-C1801_H_1327 235 ZZL-T1 Tian 1
12 花育28号Huayu 28 124 AM-C1801_H_1331 236 ZZL-GY1
13 花育30号Huayu 30 125 AM-C1801_H_1333 237 ZZL-NZ
14 花育31号Huayu 31 126 AM-C1801_H_1374 238 ZZL-YNXH
15 花育32号Huayu 32 127 AM-C1801_H_1375 239 ZZL-YNSLZ
16 花育34号Huayu 34 128 AM-Flordia 07 240 ZZL-SCH
17 花育35号Huayu 35 129 AM-Baily high OL 241 ZZL-RHH1
18 花育39号Huayu 39 130 AM-MarcI 242 ZZL-QFH
19 花育50号Huayu 50 131 AM-C46 243 ZZL-TG2-2
20 丰花1号Fenghua 1 132 AM-IAC322 244 ZZL-YD1
21 丰花2号Fenghua 2 133 AM-IAC886 245 ZZL-YSLPF
22 丰花3号Fenghua 3 134 AM-IAC389 246 ZZL-WKLPFU
23 丰花4号Fenghua 4 135 AM-Georganic 247 ZZL-WKLJAVA
24 丰花5号Fenghua 5 136 AM-Tifguard 248 ZZL-WKL XBYX
25 丰花6号Fenghua 6 137 AM-SLR 249 ZZL-XYL7
26 山花7号Shanhua 7 138 AM-SS 250 ZZL-SLLK1
27 山花8号Shanhua 8 139 AM-Nematoder(s) 251 ZZL-SLLK2
28 山花10号Shanhua 10 140 AM-Georgia-14N(HO/L) 252 ZZL-HL
29 山花12号Shanhua 12 141 AM-SCD 253 ZZL-GSDLJ
30 山花16号Shanhua 16 142 AM-C1501-48(S) 254 ZZL-F2-2
31 山花17号Shanhua 17 143 AM-13-3424 255 ZZL-FG2-3
32 青花5号Qinghua 5 144 AM-13-3476 256 ZZL-FG02
33 青花6号Qinghua 6 145 AM-N080820IJcT 257 ZZL-FDL
34 青花7号Qinghua 7 146 AM-NC3033 258 ZZL-AEJLYA
35 潍花7号Weihua 7 147 AM-13-3532 259 ZZL-AEJLYC
36 潍花8号Weihua 8 148 AM-C1801-H-1042 260 ZZL-N2-3
37 潍花9号Weihua 9 149 AM-C1801-H-1012 261 ZZL-H103
38 潍花10号Weihua 10 150 AM-C1801-H-924 262 ZZL-H108
39 临花5号Linhua 5 151 AM-C1801-H-1028 263 ZZL-H1602
40 临花6号Linhua 6 152 AM-C1801-H-952 264 ZZL-9102-16-1
41 科花1号Kehua 1 153 AM-SPT06-06 265 ZZL-9102-54-2
42 日花1号Rihua 1 154 潍花6号Weihua 6 266 ZZL-20L-24
43 花育51号Huayu 51 155 潍花14号Weihua 14 267 ZZL-225
44 花育52号Huayu 52 156 潍花20号Weihua 20 268 ZZL-1202
45 花育62 Huayu 62 157 潍花21号Weihua 21 269 ZZL-1210
46 花育951 Huayu 951 158 潍花22号Weihua 22 270 ZZL-9102
47 花育953 Huayu 953 159 潍花30号Weihua 30 271 豫航花1号 Yuhanghua 1
48 花育954 Huayu 954 160 冀花4号Jihua 4 272 汾花8号Fenhua 8
49 花育955 Huayu 955 161 冀油8号Jiyou 8 273 花育33号Huayu 33
50 花育956 Huayu 956 162 中花5号Zhonghua 5 274 花育45号Huayu 45
51 花育957 Huayu 957 163 中花8号Zhonghua 8 275 花育9113 Huayu 9113
52 花育958 Huayu 958 164 天府18号Tianfu 18 276 花育9118 Huayu 9118
53 花育9512 Huayu 9512 165 天府3号Tianfu 3 277 花育9510 Huayu 9510
54 花育9513 Huayu 9513 166 湘花2008 Xianghua 2008 278 花育9610 Huayu 9610
55 花育9514 Huayu 9514 167 湘花555 Xianghua 555 279 济花1209 Jihua 1209
56 花育9515 Huayu 9515 168 粤油551 Yueyou 551 280 冀花11号Jihua 11
57 花育9516 Huayu 9516 169 粤油79 Yueyou 79 281 冀花13号Jihua 13
58 花育9517 Huayu 9517 170 粤油92 Yueyou 92 282 冀花16号Jihua 16
59 花育9518 Huayu 9518 171 台南13号Tainan 13 283 冀花18号Jihua 18
60 花育9519 Huayu 9519 172 泰花3号Taihua 3 284 冀花19号Jihua 19
61 花育9520 Huayu 9520 173 唐油4号Tangyou 4 285 冀花21号Jihua 21
62 花育9522 Huayu 9522 174 湛油62 Zhanyou 62 286 冀花572 Jihua 572
63 花育651 Huayu 651 175 吉花13号Jihua 13 287 冀花915 Jihua 915
64 花育652 Huayu 652 176 8130 288 冀花97 Jihua 97
65 花育656 Huayu 656 177 白沙1016 Baisha 1016 289 冀农花3号Jinonghua 3
66 花育657 Huayu 657 178 芙蓉花生Furong huasheng 290 濮花28号Puhua 28
67 花育658 Huayu 658 179 南充扯兜子Nanchong chedouzi 291 濮花66号Puhua 66
68 花育659 Huayu 659 180 宁海大京生Ninghai dajingsheng 292 濮花76号Puhua 76
69 5-139 181 日本香香Japan xiangxiang 293 濮花86号Puhua 86
70 H12 182 佘山凤凰窝Sheshan fenghuangwo 294 琼花1号Qionghua 1
71 H16 183 铁打坚Tiedajian 295 山花9号Shanhua 9
72 H18 184 印度多粒India duoli 296 山花11号Shanhua 11
73 H19 185 法库四粒红Faku silihong 297 山花18号Shanhua 18
74 F18 186 栖霞四粒红Qixia silihong 298 泰花11号Taihua 11
75 四粒红Silihong 187 济花9号 Jihua 9 299 潍花15号Weihua 15
76 东北王 Dongbeiwang 188 ZZL-GH17 300 潍花25号Weihua 25
77 AT_VC_2 189 桂花22 Guihua 22 301 潍花28号Weihua 28
78 埃及果Aijiguo 190 桂花36 Guihua 36 302 易花0910 Yihua 0910
79 GXNJP 191 ZZL-GH61 303 宇花4号Yuhua 4
80 GXBDLLR 192 桂花63 Guihua 63 304 宇花8号Yuhua 8
81 桂花红166 Guihuahong 166 193 桂花1026 Guihua 1026 305 宇花31 Yuhua 31
82 THS 194 中花6号 Zhonghua 6 306 宇花32 Yuhua 32
83 THS-JL 195 中花16 Zhonghua 16 307 宇花33 Yuhua 33
84 济花501 Jihua 501 196 中花24 Zhonghua 24 308 宇花625 Yuhua 625
85 开农1715 Kainong 1715 197 豫花23 Yuhua 23 309 宇花671 Yuhua 671
86 开农69 Kainong 69 198 豫花47号 Yuhua 47 310 宇花208 Yuhua 208
87 冀花16 Jihua 16 199 豫花93号 Yuhua 93 311 中花12 Zhonghua 12
88 花育917 Huayu 917 200 ZZL-YH168 312 冀油4号 Jiyou 4
89 FDLYL 201 豫花133号 Yuhua 133 313 白沙Baisha
90 扒拉克Balake 202 豫花9326 Yuhua 9326 314 金坠Jinzhui
91 宇花1号Yuhua 1 203 豫航花1号 Yuhanghua 1 315 云南四粒紫Yunnan silizi
92 AM-C1801_H_924 204 ZZL-YH 316 GDELH
93 AM-C1801_H_952 205 益花1号 Yihua 1 317 GDSC
94 AM-C1801_H_1012 206 ZZL-YH1902 318 吉花19 Jihua 19
95 AM-C1801_H_1028 207 蜀花4号 Shuhua 4 319 NMP
96 AM-Tifrunner 208 蜀花3号 Shuhua 3 320 NMR
97 AM-SSD6-2 209 蜀花2 Shuhua 2 321 恩施两粒红Enshi lianglihong
98 AM-N6 210 ZZL-QH6 322 狮头企Shitouqi
99 AM-N8 211 泉花7号Quanhua 7 323 巨野小花生Juye xiaohuasheng
100
AM-N9
212 ZZL-QH8
324 汶上爬蔓花生
Wenshangpaman huasheng
101 AM-N4 213 ZZL- QH10 325 伏花生Fuhuasheng
102 AM-N3 214 ZZL-QH327 326 霸王鞭Bawangbian
103 AM-C76 215 泉花557 Quanhua 557 327 威海大粒墩Weihai dalidun
104 AM-C76-16 216 黔花8 Qianhua 8 328 HNHY25
105 AM-NM Valencia A 217 黔花9 Qianhua 9 329 花育60 Huayu 60
106 AM-C1501-46 218 开农61 Kainong 61 330 花育910 Huayu 910
107 AM-Florunner 219 开农64 Kainong 64 331 花育9125 Huayu 9125
108 AM-N7 220 ZZL-KN301
109 AM-G1 221 冀农花7 Jinonghua 7
110 AM-C5 222 冀农花12 Jinonghua 12
111 AM-C1801_H_1042 223 冀农花9 Jinonghua 9
112 AM-F07 224 仲恺花12 Zhongkaihua 12

Table 2

Description of traits determined by each indicator"

性状
Trait
测定方法
Measurement method
叶绿素含量SPAD 用SPAD-502 Plus测定倒三叶小叶片的SPAD值
Measure the SPAD value of the inverted three-leaf small leaves using the SPAD-502 Plus
苗高PH (cm) 用直尺测量主茎顶端到子叶节的距离Measure the distance from the tip of the main stem to the cotyledon node
地上鲜重SFW (g) 用分析天平称量根部以上整个幼苗的重量Weigh the entire seedling above the root using an analytical balance
地下鲜重RFW (g) 用分析天平称量整个根系的重量Weigh the entire root using an analytical balance
地上干重SDW (g) 测完鲜重的幼苗于烘箱烘干, 用分析天平称量干重
After measuring the fresh weight of the seedlings, dry them in an oven and weigh the dry weight using an analytical balance
地下干重RDW (g) 测完鲜重的根系于烘箱烘干, 用分析天平称量干重
After measuring the fresh weight of the roots, dry them in an oven and weigh the dry weight using an analytical balance
鲜重根冠比RSFW 根鲜重与地上鲜重的比值 Ratio of root fresh weight to shoot fresh weight
干重根冠比RSDW 根干重与地上干重的比值 Ratio of root dry weight to shoot dry weight

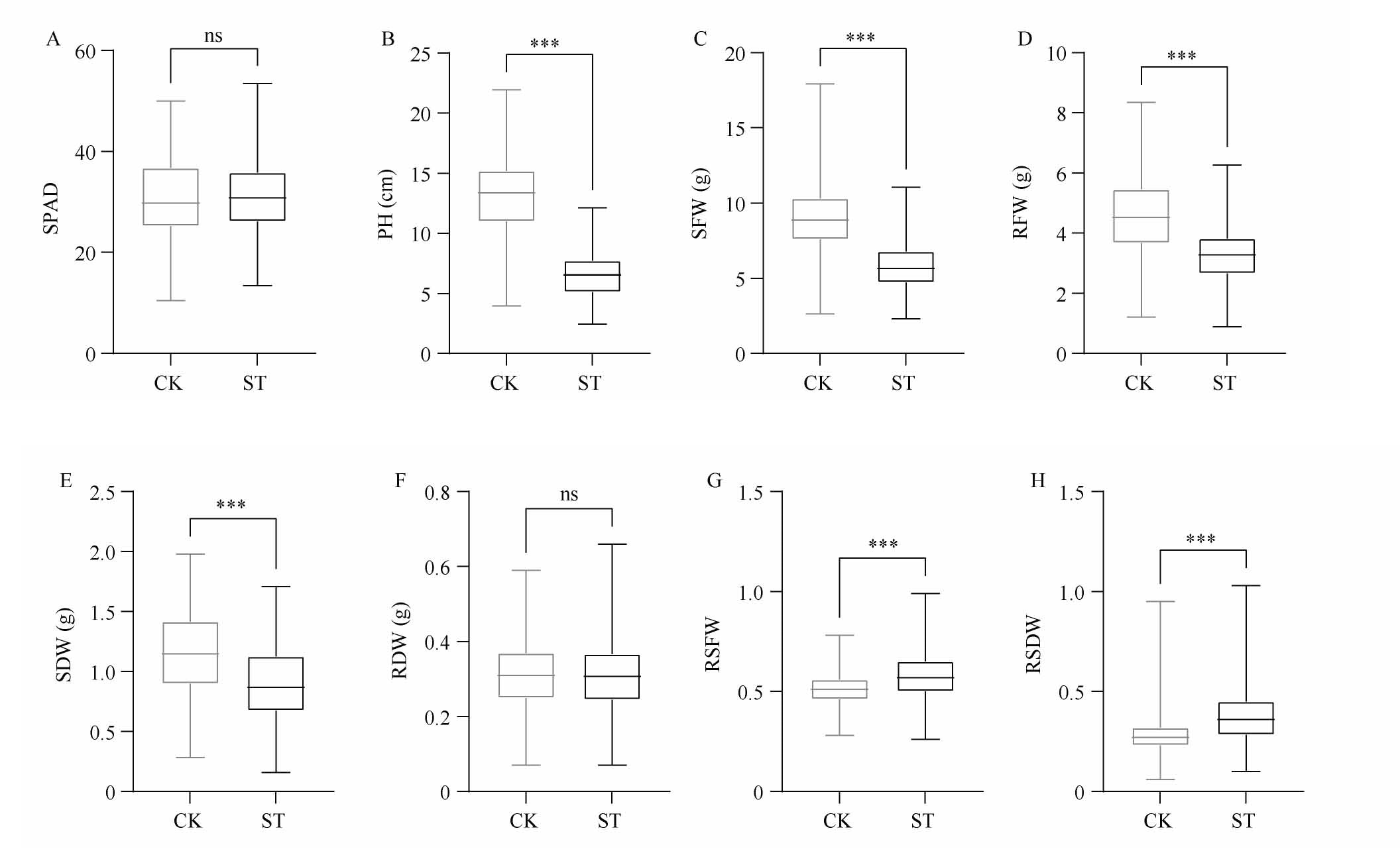
Fig. 1

Significance analysis of phenotypic traits under salt stress and control conditions CK: normal condition; ST: salt stress; ***: P < 0.001; ns: no significance. SPAD: chlorophyll content; PH: plant height; SFW: shoot fresh weight; RFW: root fresh weight; SDW: shoot dry weight; RDW: root dry weight; RSFW: fresh weight root/shoot ratio; RSDW: dry weight root/shoot ratio."

Table 3

Variation analysis of salt tolerance indices in the tested peanut germplasms"

指标
Trait
最大值Max. 最小值
Min.
极差 Range 均值
Average
标准偏差
SD
偏度
Skewness
峰度 Kurtosis 变异系数
CV (%)
相对叶绿素含量RSPAD 2.18 0.58 1.60 1.05 0.25 1.13 2.24 23.81
相对苗高RPH 0.87 0.24 0.63 0.51 0.10 0.21 0.74 19.60
相对地上鲜重RSFW 1.24 0.25 0.99 0.65 0.16 0.67 1.57 24.62
相对地下鲜重RRFW 1.62 0.25 1.37 0.74 0.22 0.88 1.49 29.73
相对地上干重RSDW 3.04 0.15 2.89 0.80 0.29 2.19 11.84 36.25
相对地下干重RRDW 2.90 0.22 2.68 1.04 0.35 1.28 4.07 33.65
相对鲜重根冠比RRSFW 2.20 0.42 1.78 1.16 0.26 0.59 0.86 22.41
相对干重根冠比RRSDW 4.49 0.35 4.14 1.42 0.58 1.39 3.54 40.85

Fig. 2

Frequency distribution of salt tolerance coefficient indices in 331 peanut germplasms RSPAD: relative chlorophyll content; RPH: relative plant height; RSFW: relative shoot fresh weight; RRFW: relative root fresh weight; RSDW: relative shoot dry weight; RRDW: relative root dry weight; RRSFW: relative fresh weight root/shoot ratio; RRSDW: relative dry weight root/shoot ratio."

Fig. 3

Correlation analysis of eight salt tolerance coefficient traits in 331 peanut germplasms Abbreviations are the same as those given in Fig. 2. *: P < 0.05."

Table 4

Principal component analysis of salt tolerance coefficients in 331 peanut germplasms"

耐盐指标
Salt tolerance trait
主成分Principal component
第1主成分PC1 第2主成分PC2 第3主成分PC3
相对叶绿素含量RSPAD -0.122 0.463 0.312
相对苗高RPH 0.228 0.122 -0.860
相对地上鲜重RSFW 0.542 0.708 -0.215
相对地下鲜重RRFW 0.927 0.213 0.048
相对地上干重RSDW 0.039 0.831 0.298
相对地下干重RRDW 0.916 0.149 0.157
相对鲜重根冠比RRSFW 0.538 -0.593 0.317
相对干重根冠比RRSDW 0.648 -0.621 -0.031
特征值Eigen value 2.77 2.23 1.10
贡献率Contribution ratio (%) 34.64 27.82 13.76
累计贡献率Cumulative contribution ratio (%) 34.64 62.46 76.22

Table S1

Values of subordinative function and D-values of 331 peanut resources tested"

序号
Number
隶属函数值
Subordinative function value
D
D-value
序号
Number
隶属函数值
Subordinative function value
D
D-value
μ1 μ2 μ3 μ1 μ2 μ3
1 0.54 0.42 0.50 0.49 167 0.33 0.32 0.59 0.38
2 0.24 0.37 0.66 0.37 168 0.34 0.34 0.63 0.39
3 0.31 0.42 0.57 0.40 169 0.30 0.42 0.52 0.38
4 0.69 0.28 0.73 0.55 170 0.24 0.22 0.53 0.29
5 0.29 0.44 0.62 0.41 171 0.33 0.32 0.61 0.38
6 0.32 0.34 0.71 0.40 172 0.39 0.34 0.37 0.37
7 0.48 0.19 0.41 0.36 173 0.34 0.31 0.55 0.37
8 0.36 0.27 0.61 0.37 174 0.39 0.12 0.64 0.34
9 0.57 0.18 0.40 0.40 175 0.50 0.34 0.61 0.46
10 0.82 0.10 0.53 0.50 176 0.24 0.53 0.34 0.36
11 0.54 0.18 0.41 0.39 177 0.62 0.48 0.71 0.58
12 0.44 0.33 0.62 0.43 178 0.55 0.22 0.50 0.42
13 0.34 0.40 0.32 0.36 179 0.53 0.03 0.56 0.35
14 0.29 0.22 0.79 0.35 180 0.23 0.25 0.31 0.25
15 0.51 0.18 0.74 0.43 181 0.34 0.29 0.50 0.35
16 0.50 0.29 0.58 0.44 182 0.39 0.38 0.52 0.41
17 0.29 0.30 0.60 0.35 183 0.45 0.14 0.50 0.35
18 0.49 0.18 0.55 0.39 184 0.48 0.08 0.50 0.34
19 0.37 0.48 0.55 0.44 185 0.46 0.26 0.37 0.37
20 0.35 0.27 0.45 0.34 186 0.45 0.48 0.31 0.43
21 0.50 0.09 0.80 0.41 187 0.96 0.25 0.66 0.65
22 0.38 0.32 0.47 0.37 188 0.55 0.25 0.79 0.48
23 0.30 0.33 0.65 0.37 189 0.70 0.62 0.37 0.61
24 0.34 0.31 0.64 0.38 190 0.38 0.34 0.74 0.43
25 0.54 0.26 0.67 0.46 191 0.38 0.25 0.87 0.42
26 0.29 0.45 0.29 0.35 192 0.19 0.12 0.58 0.24
27 0.47 0.32 0.56 0.43 193 0.40 0.38 0.44 0.40
28 0.27 0.33 0.40 0.31 194 0.69 0.68 0.47 0.64
29 0.59 0.33 0.42 0.46 195 0.51 0.45 0.29 0.45
30 0.54 0.36 0.31 0.43 196 0.36 0.35 0.53 0.39
31 0.67 0.30 0.52 0.51 197 0.56 0.40 0.47 0.49
32 0.29 0.54 0.16 0.36 198 0.22 0.07 0.48 0.21
33 0.23 0.22 0.38 0.25 199 0.22 0.35 0.62 0.34
34 0.35 0.22 0.30 0.29 200 0.68 0.38 0.54 0.55
35 0.53 0.32 0.39 0.43 201 0.47 0.57 0.40 0.50
36 0.38 0.50 0.53 0.45 202 0.32 0.36 0.55 0.38
37 0.53 0.48 0.54 0.51 203 0.63 0.34 0.61 0.52
38 0.32 0.36 0.46 0.36 204 1.00 0.25 0.83 0.70
39 0.42 0.36 0.58 0.43 205 0.35 0.43 0.48 0.40
40 0.38 0.38 0.37 0.38 206 0.46 0.45 0.45 0.45
41 0.33 0.38 0.44 0.37 207 0.25 0.41 0.65 0.38
42 0.31 0.43 0.41 0.37 208 0.23 0.16 0.70 0.29
43 0.59 0.32 0.42 0.46 209 0.31 0.33 0.72 0.39
44 0.39 0.27 0.41 0.35 210 0.55 0.30 0.72 0.49
45 0.48 0.40 0.52 0.46 211 0.28 0.52 0.41 0.39
46 0.37 0.50 0.57 0.45 212 0.50 0.29 0.50 0.42
47 0.23 0.45 0.51 0.36 213 0.35 0.39 0.38 0.37
48 0.65 0.24 0.59 0.49 214 0.45 0.42 0.34 0.42
49 0.69 0.39 0.31 0.51 215 0.31 0.48 0.47 0.40
50 0.87 0.53 0.61 0.70 216 0.36 0.43 0.34 0.39
51 0.42 0.66 0.09 0.44 217 0.19 0.46 0.48 0.34
52 0.50 0.47 0.39 0.47 218 0.39 0.38 0.52 0.41
53 0.86 0.20 0.60 0.57 219 0.65 0.77 0.39 0.65
54 0.26 0.51 0.09 0.32 220 0.08 0.24 0.50 0.22
55 0.42 0.46 0.43 0.43 221 0.09 0.38 0.56 0.28
56 0.55 0.11 0.54 0.38 222 0.45 0.44 0.58 0.47
57 0.47 0.38 0.25 0.40 223 0.40 0.53 0.61 0.48
58 0.33 0.44 0.43 0.39 224 0.07 0.28 0.63 0.25
59 0.26 0.57 0.38 0.40 225 0.42 0.54 0.53 0.48
60 0.31 0.33 0.48 0.35 226 0.23 0.20 0.52 0.27
61 0.55 0.15 0.58 0.41 227 0.32 0.57 0.36 0.42
62 0.25 0.40 0.41 0.33 228 0.34 0.42 0.51 0.40
63 0.62 0.09 0.56 0.42 229 0.36 0.69 0.00 0.42
64 0.59 0.15 0.56 0.42 230 0.50 0.50 0.36 0.47
65 0.39 0.38 0.52 0.41 231 0.26 0.10 0.55 0.25
66 0.33 0.29 0.45 0.34 232 0.31 0.47 0.70 0.44
67 0.33 0.38 0.67 0.41 233 0.77 0.73 0.59 0.72
68 0.43 0.39 0.34 0.40 234 0.53 0.44 0.54 0.50
69 0.50 0.31 0.55 0.44 235 0.15 0.52 0.60 0.37
70 0.39 0.38 0.52 0.41 236 0.23 0.54 0.74 0.43
71 0.28 0.26 0.86 0.38 237 0.55 0.56 0.67 0.58
72 0.40 0.44 0.29 0.39 238 0.23 0.27 0.46 0.29
73 0.41 0.37 0.58 0.42 239 0.34 0.28 0.50 0.35
74 0.26 0.32 0.64 0.35 240 0.32 0.74 0.60 0.52
75 0.54 0.06 0.55 0.37 241 0.20 0.23 0.50 0.26
76 0.39 0.38 0.52 0.41 242 0.15 0.43 0.71 0.35
77 0.39 0.38 0.52 0.41 243 0.36 0.21 0.53 0.34
78 0.35 0.38 0.62 0.41 244 0.38 0.34 0.57 0.40
79 0.48 0.12 0.69 0.39 245 0.12 0.54 0.60 0.36
80 0.43 0.38 0.40 0.41 246 0.37 0.49 0.80 0.49
81 0.30 0.43 0.42 0.37 247 0.24 0.00 0.62 0.22
82 0.34 0.33 0.67 0.39 248 0.38 0.34 0.64 0.41
83 0.33 0.22 0.34 0.29 249 0.39 0.42 0.62 0.45
84 0.39 0.38 0.52 0.41 250 0.24 0.22 0.57 0.29
85 0.45 0.38 0.56 0.44 251 0.33 0.16 0.69 0.33
86 0.41 0.41 0.52 0.43 252 0.29 0.14 0.79 0.32
87 0.32 0.20 0.49 0.31 253 0.65 0.41 0.64 0.56
88 0.61 0.43 0.34 0.49 254 0.30 0.11 0.99 0.35
89 0.59 0.19 0.25 0.38 255 0.31 0.00 0.74 0.27
90 0.41 0.37 0.39 0.39 256 0.44 0.17 0.83 0.42
91 0.40 0.30 0.49 0.38 257 0.34 0.09 0.85 0.34
92 0.45 0.37 0.48 0.42 258 0.23 0.21 0.53 0.28
93 0.50 0.47 0.24 0.44 259 0.44 0.49 0.62 0.49
94 0.57 0.31 0.30 0.42 260 0.40 0.48 0.34 0.42
95 0.48 0.47 0.22 0.43 261 0.24 0.45 0.28 0.33
96 0.54 0.31 0.46 0.44 262 0.23 0.40 0.44 0.33
97 0.45 0.41 0.32 0.41 263 0.45 0.44 0.42 0.44
98 0.18 0.70 0.52 0.43 264 0.34 0.49 0.36 0.39
99 0.44 0.64 0.51 0.52 265 0.59 0.65 0.44 0.59
100 0.55 0.53 0.40 0.51 266 0.31 0.31 0.49 0.35
101 0.55 0.67 0.85 0.65 267 0.21 0.25 0.68 0.31
102 0.26 0.40 0.68 0.39 268 0.58 0.75 0.44 0.62
103 0.43 0.36 0.70 0.45 269 0.25 0.20 0.54 0.28
104 0.31 0.59 0.86 0.51 270 0.75 0.31 0.42 0.53
105 0.51 1.00 1.00 0.78 271 0.26 0.06 0.22 0.18
106 0.33 0.42 0.50 0.39 272 0.31 0.24 0.31 0.28
107 0.25 0.58 0.88 0.48 273 0.67 0.44 0.56 0.56
108 0.27 0.63 0.51 0.44 274 0.36 0.44 0.31 0.38
109 0.44 0.90 0.87 0.69 275 0.29 0.36 0.44 0.34
110 0.26 0.27 0.75 0.35 276 0.45 0.39 0.49 0.43
111 0.37 0.55 0.58 0.47 277 0.34 0.53 0.37 0.41
112 0.33 0.44 0.75 0.45 278 0.36 0.62 0.62 0.50
113 0.38 0.55 0.74 0.50 279 0.44 0.70 0.43 0.53
114 0.32 0.52 0.66 0.45 280 0.41 0.16 0.38 0.31
115 0.32 0.49 0.58 0.43 281 0.40 0.22 0.50 0.35
116 0.33 0.60 0.07 0.38 282 0.47 0.52 0.51 0.50
117 0.28 0.59 0.88 0.50 283 0.36 0.18 0.46 0.31
118 0.36 0.69 0.62 0.53 284 0.24 0.37 0.48 0.33
119 0.18 0.60 0.45 0.38 285 0.30 0.33 0.47 0.34
120 0.41 0.65 0.52 0.52 286 0.28 0.12 0.43 0.25
121 0.39 0.38 0.52 0.41 287 0.46 0.23 0.55 0.39
122 0.39 0.38 0.52 0.41 288 0.33 0.37 0.43 0.36
123 0.38 0.71 0.69 0.56 289 0.55 0.58 0.50 0.55
124 0.33 0.68 0.78 0.54 290 0.60 0.42 0.52 0.52
125 0.36 0.59 0.76 0.51 291 0.36 0.18 0.52 0.33
126 0.35 0.59 0.75 0.51 292 0.39 0.36 0.60 0.42
127 0.37 0.53 0.91 0.52 293 0.33 0.15 0.52 0.30
128 0.45 0.62 0.91 0.60 294 0.40 0.45 0.64 0.46
129 0.43 0.90 0.71 0.65 295 0.37 0.37 0.47 0.39
130 0.28 0.56 0.67 0.45 296 0.40 0.40 0.48 0.41
131 0.39 0.68 0.73 0.56 297 0.41 0.11 0.41 0.30
132 0.34 0.59 0.65 0.49 298 0.43 0.30 0.41 0.38
133 0.30 0.62 0.70 0.49 299 0.37 0.27 0.44 0.34
134 0.31 0.37 0.52 0.37 300 0.29 0.26 0.39 0.30
135 0.71 0.57 0.63 0.64 301 0.69 0.59 0.77 0.67
136 0.18 0.28 0.52 0.28 302 0.33 0.07 0.45 0.26
137 0.71 0.12 0.65 303 0.26 0.25 0.51 0.30
138 0.43 0.12 0.72 304 0.26 0.39 0.37 0.33
139 0.37 0.24 0.46 305 0.52 0.55 0.25 0.48
140 0.49 0.51 0.28 306 0.40 0.37 0.34 0.38
141 0.39 0.46 0.53 307 0.55 0.36 0.48 0.47
142 0.49 0.36 0.55 308 0.58 0.21 0.60 0.45
143 0.27 0.35 0.43 309 0.40 0.44 0.19 0.38
144 0.24 0.30 0.41 310 0.33 0.42 0.35 0.37
145 0.30 0.47 0.62 311 0.73 0.47 0.39 0.57
146 0.05 0.58 0.68 312 0.30 0.39 0.28 0.33
147 0.23 0.48 0.64 313 0.33 0.44 0.31 0.37
148 0.36 0.25 0.42 314 0.36 0.37 0.54 0.40
149 0.42 0.45 0.40 315 0.49 0.35 0.56 0.45
150 0.36 0.54 0.57 316 0.27 0.42 0.54 0.37
151 0.42 0.47 0.63 317 0.41 0.38 0.56 0.43
152 0.50 0.29 0.58 318 0.26 0.32 0.44 0.31
153 0.48 0.51 0.12 319 0.60 0.38 0.50 0.50
154 0.37 0.50 0.94 320 0.37 0.11 0.56 0.31
155 0.39 0.38 0.52 321 0.36 0.34 0.49 0.38
156 0.36 0.29 0.16 322 0.40 0.21 0.62 0.37
157 0.29 0.57 0.68 323 0.39 0.38 0.52 0.41
158 0.56 0.25 0.62 324 0.35 0.19 0.71 0.35
159 0.67 0.42 0.40 325 0.25 0.37 0.36 0.31
160 0.29 0.43 0.23 326 0.29 0.56 0.43 0.41
161 0.44 0.53 0.51 0.48 327 0.59 0.43 0.50 0.52
162 0.36 0.53 0.30 0.41 328 0.29 0.37 0.59 0.38
163 0.28 0.38 0.29 0.32 329 0.04 0.47 0.76 0.33
164 0.39 0.38 0.52 0.41 330 0.21 0.48 0.70 0.40
165 0.29 0.32 0.64 0.36 331 0.29 0.45 0.20 0.33
166 0.29 0.47 0.47 0.39

Table 5

Mathematical model for evaluating salt tolerance in peanut germplasms"

多元回归方程
Multiple regression equation
相关系数
r
判定系数
R2
F
F-value
P
P-value
Y = 0.032+0.163X4+0.137X3+0.073X1-0.158 X2+0.111X5+0.080X6 1.000 0.999 70,971.946 ≤ 0.001
Y = 0.044+0.144X4+0.103X3+0.136X5+0.082X6 0.954 0.911 882.242 ≤ 0.001
Y = 0.102+0.157X5+0.176X6 0.914 0.835 878.076 ≤ 0.001
Y = 0.084+0.082X4+0.238X3+0.108X6 0.878 0.771 390.103 ≤ 0.001
Y = 0.095+0.229X4+0.226X3 0.844 0.712 431.479 ≤ 0.001
Y = 0.165+0.333X4 0.791 0.625 583.891 ≤ 0.001

Fig. 4

Clustering results of 331 peanut germplasms based on salt tolerance coefficients"

Table 6

Salt tolerance coefficients of eleven highly salt-tolerant peanut germplasms"

序号
No.
种质
Germplasm
相对叶绿素含量
RSPAD
相对
苗高
RPH
相对地上鲜重
RSFW
相对地下鲜重
RRFW
相对地上干重
RSDW
相对地下干重
RRDW
相对鲜重根冠比
RRSFW
相对干重根冠比
RRSDW
135 AM-Georganic 0.84 0.49 0.91 1.21 1.29 2.00 1.33 1.55
194 中花6 Zhonghua 6 0.95 0.56 1.09 1.25 1.25 1.73 1.15 1.38
219 开农64 Kainong 64 1.05 0.52 1.24 1.38 0.89 1.61 0.82 0.80
223 冀农9 Jinong 9 0.98 0.39 0.84 0.79 0.86 1.24 0.92 0.91
227 远杂9847 Yuanza 9847 0.76 0.47 0.94 0.70 0.82 0.90 0.66 0.73
233 华实2 Huashi 2 1.52 0.56 1.19 1.45 1.15 1.74 1.37 1.57
253 ZZL-GSDLJ 0.77 0.46 0.63 1.41 0.82 1.89 1.27 1.21
265 ZZL-9102-54-2 1.15 0.57 0.97 1.10 1.00 1.73 0.94 1.17
268 ZZL-1202 1.24 0.57 1.06 1.16 1.14 1.56 0.88 1.01
282 冀花16号Jihua 16 0.89 0.52 0.71 0.84 1.10 1.58 0.98 1.13
301 潍花28号Weihua 28 0.89 0.41 0.83 1.42 1.26 1.97 1.31 1.06
[1] Liang X Y, Li J F, Yang Y Q, et al. Designing salt stress-resilient crops: current progress and future challenges. J Integr Plant Biol, 2024, 66: 303-329.
doi: 10.1111/jipb.13599
[2] Munns R, Tester M. Mechanisms of salinity tolerance. Annu Rev Plant Biol, 2008, 59: 651-681.
doi: 10.1146/annurev.arplant.59.032607.092911 pmid: 18444910
[3] Ray D K, Mueller N D, West P C, et al. Yield trends are insufficient to double global crop production by 2050. PLoS One, 2013, 8: e66428.
[4] Li X G, Pang Y T, Zhong Y W, et al. GmGSTU23 encoding a tau class glutathione S-transferase protein enhances the salt tolerance of soybean (Glycine max L.). Int J Mol Sci, 2023, 24: 5547.
doi: 10.3390/ijms24065547
[5] 杨劲松. 中国盐渍土研究的发展历程与展望. 土壤学报, 2008, 45: 837-845.
Yang J S. Development and prospect of the research on salt-affected soils in China. Acta Pedol Sin, 2008, 45: 837-845 (in Chinese with English abstract).
[6] 乔钲岩, 于淼, 唐玉劼, 等. 粒用高粱幼苗期耐苏打盐碱综合评价与指标鉴选. 中国农业科学, 2025, 58: 30-49.
doi: 10.3864/j.issn.0578-1752.2025.01.003
Qiao Z Y, Yu M, Tang Y J, et al. Comprehensive evaluation for soda salinity and alkalinity in sorghum seedling stage and selection of indicators. Sci Agric Sin, 2025, 58: 30-49 (in Chinese with English abstract).
doi: 10.3864/j.issn.0578-1752.2025.01.003
[7] 高建明, 夏卜贤, 袁庆华, 等. 高粱种质材料幼苗期耐盐碱性评价. 应用生态学报, 2012, 23: 1303-1310.
Gao J M, Xia B X, Yuan Q H, et al. Salt-alkaline tolerance of sorghum germplasm at seedling stage. Chin J Appl Ecol, 2012, 23: 1303-1310 (in Chinese with English abstract).
[8] Dargan K S, Abrol I P, Bhumbla D R. Performance of rice varieties in a highly saline sodic soil as influenced by plant population. Agron J, 1974, 66: 279-280.
doi: 10.2134/agronj1974.00021962006600020028x
[9] 韩毅强, 高亚梅, 杜艳丽, 等. 大豆耐盐碱种质资源鉴定. 中国油料作物学报, 2021, 43: 1016-1024.
doi: 10.19802/j.issn.1007-9084.2020353
Han Y Q, Gao Y M, Du Y L, et al. Identification of saline-alkali tolerant germplasm resources of soybean during the whole growth stage. Chin J Oil Crop Sci, 2021, 43: 1016-1024 <br (in Chinese with English abstract).
[10] 刘永惠, 沈一, 陈志德, 等. 不同花生品种(系)萌发期耐盐性的鉴定与评价. 中国油料作物学报, 2012, 34: 168-173.
Liu Y H, Shen Y, Chen Z D, et al. Identification of salt tolerance in peanut varieties/lines at the germination stage. Chin J Oil Crop Sci, 2012, 34: 168-173 (in Chinese with English abstract).
[11] 李晓婷, 胡畅丽, 李鑫, 等. 花生萌发期耐盐性鉴定及耐盐种质筛选. 花生学报, 2022, 51(4): 35-43.
Li X T, Hu C L, Li X, et al. Identification and screening of salt-tolerance peanut cultivars during germination stage. J Peanut Sci, 2022, 51(4): 35-43 (in Chinese with English abstract).
[12] 苗华荣, 杨伟强, 胡晓辉, 等. 盐胁迫下花生幼苗期相关性状的QTL分析. 华北农学报, 2018, 33(3): 113-118.
doi: 10.7668/hbnxb.2018.03.018
Miao H R, Yang W Q, Hu X H, et al. QTL analysis on seedling stage traits of peanut under salt stress. Acta Agric Boreali-Sin, 2018, 33(3): 113-118 (in Chinese with English abstract).
doi: 10.7668/hbnxb.2018.03.018
[13] 王亮, 王睿, 朱金成, 等. 50份花生品种幼苗期耐盐性分析. 作物杂志, 2025(5): 35: 35-41.
Wang L, Wang R, Zhu J C, et al. Analysis on salt tolerance of 50 peanut varieties at seedling stage. Crops, 2025(5): 35: 35-41 (in Chinese with English abstract).
[14] 李晶晶, 王金秀, 曹议丹, 等. 高油酸花生萌发期和苗期耐盐碱性鉴定及评价. 中国农学通报, 2024, 40(15): 44-52.
doi: 10.11924/j.issn.1000-6850.casb2023-0461
Li J J, Wang J X, Cao Y D, et al. Peanut with high oleic acid content: identification and evaluation of salt-alkaline tolerance during germination and seedling stage. Chin Agric Sci Bull, 2024, 40(15): 44-52 (in Chinese with English abstract).
doi: 10.11924/j.issn.1000-6850.casb2023-0461
[15] 孙东雷, 卞能飞, 陈志德, 等. 花生萌发期耐盐性综合评价及耐盐种质筛选. 植物遗传资源学报, 2017, 18: 1079-1087.
doi: 10.13430/j.cnki.jpgr.2017.06.010
Sun D L, Bian N F, Chen Z D, et al. Comprehensive evaluation of salt tolerance and screening for salt tolerant accessions of peanut (Arachis hypogaea L.) at germination stage. J Plant Genet Resour, 2017, 18: 1079-1087 (in Chinese with English abstract).
[16] 沈一, 刘永惠, 陈志德, 等. 花生幼苗期耐盐品种的筛选与评价. 花生学报, 2012, 41(1): 10-15.
Shen Y, Liu Y H, Chen Z D, et al. Selection and evaluation of peanut varieties based on seedling salt tolerance. J Peanut Sci, 2012, 41(1): 10-15 (in Chinese with English abstract).
[17] 慈敦伟, 丁红, 张智猛, 等. 花生耐盐性评价方法的比较与应用. 花生学报, 2013, 42(2): 28-35.
Ci D W, Ding H, Zhang Z M, et al. Comparison and application of different evaluation methods on peanut salt tolerance. J Peanut Sci, 2013, 42(2): 28-35 (in Chinese with English abstract).
[18] 陈杨, 吕玉英, 杨会, 等. 水培法鉴定花生苗期耐盐性研究. 山东农业科学, 2019, 51(9): 125-131.
Chen Y, Lyu Y Y, Yang H, et al. Study on salt tolerance identification of peanut at seedling stage by hydroponics. Shandong Agric Sci, 2019, 51(9): 125-131 (in Chinese with English abstract).
[19] 段雅娟, 曹士亮, 于滔, 等. 玉米自交系萌发期耐盐性鉴定. 作物杂志, 2022(1): 213-219.
Duan Y J, Cao S L, Yu T, et al. Identification of salt tolerance during germination of maize inbred lines. Crops, 2022(1): 213-219 (in Chinese with English abstract).
[20] 温刘君, 朴顺姬, 易津. 4种小麦族牧草种子耐盐补偿生长特性研究. 中国草地学报, 2009, 31(6): 30-32.
Wen L J, Piao S J, Yi J. Studies on the salt tolerance compensatory growth characteristics of four triticeae accessions’ seeds. Chin J Grassland, 2009, 31(6): 30-32 (in Chinese with English abstract).
[21] 白玉娥. 根茎类禾草耐盐性评价及生理基础的研究. 内蒙古农业大学博士学位论文, 内蒙古呼和浩特, 2004.
Bai Y E. Assessment of Salt Tolerance and Physiology Basis of Rhizomatose Grass. PhD Dissertation of Inner Mongolia Agricultural University, Hohhot, Inner Mongolia, China, 2004 (in Chinese with English abstract).
[22] 马晓军, 金峰学, 杨姗, 等. 作物耐盐碱数量性状基因座(QTL)定位. 分子植物育种, 2015, 13: 221-227.
Ma X J, Jin F X, Yang S, et al. Mapping QTLs for salt & alkaline tolerance in crops. Mol Plant Breed, 2015, 13: 221-227 (in Chinese with English abstract).
[1] Jin Xin-Xin, Song Ya-Hui, Su Qiao, Yang Yong-Qing, Wang Jin. Growth and dry matter production characteristics of high-yielding, high-oil, and high oleic acid peanut varieties [J]. Acta Agronomica Sinica, 2026, 52(1): 191-201.
[2] Chi Xiao-Yuan, Liu Qing, Zhang Jun, Zhao Xu-Hong, Li Mei, Yu Tian-Yi, Pan Li-Juan, Xu Jing, Jiang Xiao, Yin Xiang-Zhen, Ma Jun-Qing, Chen Na. Field evaluation of salt-alkaline tolerance and trait correlation analysis in different peanut varieties (lines) [J]. Acta Agronomica Sinica, 2026, 52(1): 85-98.
[3] Sun Chen-Shuo, Zhang Yue, Tian Ze-Kai, Yan Li-Ying, Kang Yan-Ping, Chen Yu-Ning, Wang Xin, Huai Dong-Xin, Wang Qian-Qian, Jiang Hui-Fang, Luo Huai-Yong, Huang Li, Liao Bo-Shou, Wang Zhi-Hui, Lei Yong. Genetic differentiation of peg strength and analysis of major influencing factors in peanut germplasm [J]. Acta Agronomica Sinica, 2026, 52(1): 118-130.
[4] YIN Li-Na, ZHANG Rui, CHEN Guo-Huan, BAI Lei, LI Jun, GUO Hua-Chun, YANG Fang. Comparison of wound healing capacity of tubers of different potato varieties [J]. Acta Agronomica Sinica, 2025, 51(9): 2399-2411.
[5] HU Run-Hui, WANG Jun-Cheng, SI Er-Jing, ZHANG Hong, LI Xing-Mao, MA Xiao-Le, MENG Ya-Xiong, WANG Hua-Jun, LIU Qing, YAO Li-Rong, LI Bao-Chun. Screening of drought and salt tolerant germplasm during wheat seedling stage and comprehensive evaluation of drought and salt tolerance [J]. Acta Agronomica Sinica, 2025, 51(9): 2371-2386.
[6] MENG Ran, LI Zhao-Jia, FENG Wei, CHEN Yue, LIU Lu-Ping, YANG Chun-Yan, LU Xue-Lin, WANG Xiu-Ping. Comprehensive evaluation of salt tolerance at different growth stages of soybean and screening of salt-tolerant germplasm [J]. Acta Agronomica Sinica, 2025, 51(8): 1991-2008.
[7] WAN Shu-Bo, ZHANG Jia-Lei, GAO Hua-Xin, WANG Cai-Bin. Advances and prospects of high-yield peanut cultivation in China [J]. Acta Agronomica Sinica, 2025, 51(7): 1703-1711.
[8] GUO Teng-Da, CUI Meng-Jie, CHEN Lin-Jie, HAN Suo-Yi, GUO Jing-Kun, WU Chen-Di, FU Liu-Yang, HUANG Bing-Yan, DONG Wen-Zhao, ZHANG Xin-You. Cloning and expression analysis of the phosphatidylinositol transfer protein AhSFH gene in peanuts responsive to Aspergillus flavus infection [J]. Acta Agronomica Sinica, 2025, 51(6): 1489-1500.
[9] LI Wen-Jia, LIAO Yong-Jun, HUANG Lu, LU Qing, LI Shao-Xiong, CHEN Xiao-Ping, JIN Jing-Wei, WANG Run-Feng. Genome-wide associate analysis of flowering traits and identification of candidate genes in peanut [J]. Acta Agronomica Sinica, 2025, 51(5): 1400-1408.
[10] LIN Wei-Jin, GUO Ze-Jia, LIU Hao, LI Hai-Fen, WANG Run-Feng, HUANG Lu, YU Qian-Xia, CHEN Xiao-Ping, HONG Yan-Bin, LI Shao-Xiong, LU Qing. QTL mapping and candidate gene analysis of peanut pod yield-related traits [J]. Acta Agronomica Sinica, 2025, 51(4): 969-981.
[11] CHI Xiao-Yuan, BI Jing-Nan, ZHAO Jian-Xin, CHEN Na, PAN Li-Juan, JIANG Xiao, YIN Xiang-Zhen, ZHAO Xu-Hong, MA Jun-Qing, XU Jing. Evaluation of mechanical properties of peanut pods and screening of early maturing germplasm [J]. Acta Agronomica Sinica, 2025, 51(4): 943-957.
[12] JIN Gao-Rui, WU Xiao-Li, DENG Li, CHEN Yu-Ning, YU Bo-Lun, GUO Jian-Bin, DING Ying-Bin, LIU Nian, LUO Huai-Yong, CHEN Wei-Gang, HUANG Li, ZHOU Xiao-Jing, HUAI Dong-Xin, TAN Jia-Zhuang, JIANG Hui-Fang, REN Li, LEI Yong, LIAO Bo-Shou. Development and characterization of novel peanut genetic stocks with high oleic acid and enhanced resistance both to Aspergillus flavus infection and aflatoxin production [J]. Acta Agronomica Sinica, 2025, 51(3): 687-895.
[13] JIN Xin-Xin, SONG Ya-Hui, SU Qiao, YANG Yong-Qing, LI Yu-Rong, WANG Jin. Identification and comprehensive evaluation of drought resistance in high oleic acid Jihua peanut varieties [J]. Acta Agronomica Sinica, 2025, 51(3): 797-811.
[14] WANG Run-Feng, LI Wen-Jia, LIAO Yong-Jun, LU Qing, LIU Hao, LI Hai-Fen, LI Shao-Xiong, LIANG Xuan-Qiang, HONG Yan-Bin, CHEN Xiao-Ping. Evaluation of pod maturity and identification of early-maturing germplasm for core peanut germplasm resources [J]. Acta Agronomica Sinica, 2025, 51(2): 395-404.
[15] HU Peng-Ju, GUO Song, SONG Ya-Hui, JIN Xin-Xin, SU Qiao, YANG Yong-Qing, WANG Jin. Genetic and QTL mapping analysis of oil content in peanut across multiple environments [J]. Acta Agronomica Sinica, 2025, 51(2): 324-333.
Viewed
Full text


Abstract

Cited

  Shared   
  Discussed   
No Suggested Reading articles found!