欢迎访问作物学报,今天是

作物学报 ›› 2025, Vol. 51 ›› Issue (11): 2933-2943.doi: 10.3724/SP.J.1006.2025.51040

• 作物遗传育种·种质资源·分子遗传学 • 上一篇    下一篇

小麦地方品种蚕老麦成株抗条锈病QTL定位

徐晓伟1(), 冯晶1,*(), 王凤涛1, 童朝阳1, 张建周2, 李春盈2, 蔺瑞明1,*()   

  1. 1 中国农业科学院植物保护研究所 / 植物病虫害综合治理全国重点实验室, 北京 100193
    2 河南省农业科学院小麦研究所 / 河南省小麦生物学重点实验室, 河南郑州 450002
  • 收稿日期:2025-04-23 接受日期:2025-07-09 出版日期:2025-11-12 网络出版日期:2025-07-22
  • 通讯作者: *冯晶, E-mail: jingfeng@ippcaas.cn; 蔺瑞明, E-mail: linruiming@caas.cn
  • 作者简介:E-mail: Xxw15621405359@163.com
  • 基金资助:
    国家重点研发计划项目(2024YFD1400400);河南省农业科学院自主创新项目(2025ZC05)

QTL mapping of adult plant resistance to stripe rust in the Chinese wheat landrace Canlaomai

XU Xiao-Wei1(), FENG Jing1,*(), WANG Feng-Tao1, TONG Zhao-Yang1, ZHANG Jian-Zhou2, LI Chun-Ying2, LIN Rui-Ming1,*()   

  1. 1 Institute of Plant Protection, Chinese Academy of Agricultural Sciences / State Key Laboratory for Biology of Plant Diseases and Insect Pests, Beijing 100193, China
    2 Wheat Research Institute, Henan Academy of Agricultural Sciences / Henan Key Laboratory for Wheat Biology, Zhengzhou 450002, Henan, China
  • Received:2025-04-23 Accepted:2025-07-09 Published:2025-11-12 Published online:2025-07-22
  • Contact: *E-mail: jingfeng@ippcaas.cn; E-mail: linruiming@caas.cn
  • Supported by:
    National Key R & D Program of China(2024YFD1400400);Independent Innovation Project of Henan Academy of Agricultural Sciences(2025ZC05)

摘要:

小麦条锈病是由小麦条锈菌(Puccinia striiformis f. sp. tritici, Pst)引起的一种全球性小麦病害, 对小麦产量和品质造成严重影响。陕西小麦地方品种蚕老麦多年来在不同环境中对条锈菌表现出稳定的成株抗性。为挖掘蚕老麦中的抗性位点, 本研究利用蚕老麦与Taichung 29杂交构建的重组自交系(recombinant inbred line, RIL), 在河北廊坊和四川成都试验地中接种条锈菌, 评估了亲本和RIL群体的最大病情严重度, 其频率分布呈现出连续变化, 符合数量性状抗性特点。利用分离群体分组分析法(bulked segregation analysis, BSA)结合小麦55K SNP芯片及分子标记开发技术, 在蚕老麦中鉴定到1个条锈病成株抗性位点QYr.CLM-2DS, 该位点位于染色体2DS标记32SSR2D-498和32SSR2D-523之间的7.23 cM遗传区间内, 可解释表型变异11.41%~13.08%。通过标记连锁分析、遗传图谱和物理图谱综合分析发现, QYr.CLM-2DS不同于目前染色体2DS上已发表的抗性基因/QTL, 是一个小麦成株期条锈病抗性的新位点, 可用于未来小麦成株期条锈病抗性遗传改良和抗病育种。

关键词: 小麦地方品种, 条锈病, 成株抗性, 分子标记, QTL定位

Abstract:

Wheat stripe rust, caused by Puccinia striiformis f. sp. tritici (Pst), is a globally important disease that significantly reduces wheat yield and quality. The wheat landrace Canlaomai (CLM), originating from Shaanxi Province, has consistently exhibited stable adult plant resistance (APR) to Pst across multiple years and diverse environments. To identify the genetic basis of this resistance, a recombinant inbred line (RIL) population was developed by crossing CLM with the susceptible cultivar Taichung 29 (T29). Field trials were conducted in Langfang (Hebei) and Chengdu (Sichuan), where both parents and the RIL population were artificially inoculated with Pst. The maximum disease severity (MDS) values showed a continuous distribution, indicating that the resistance is quantitatively inherited. Using bulked segregant analysis (BSA) combined with the wheat 55K SNP array and molecular marker development, we identified a novel APR locus in CLM, designated QYr.CLM-2DS. This locus was mapped to a 7.23 cM genetic interval between markers 32SSR2D-498 and 32SSR2D-523 on chromosome 2DS, explaining 11.41%-13.08% of the phenotypic variation. Comparative analysis of linked markers, genetic, and physical maps indicated that QYr.CLM-2DS is distinct from previously reported resistance genes or QTLs on chromosome 2DS, representing a novel APR locus for wheat stripe rust. This finding provides a valuable genetic resource for improving stripe rust resistance in wheat breeding programs.

Key words: wheat landrace, stripe rust, adult plant resistance, molecular marker, QTL mapping

图1

蚕老麦和Taichung 29在苗期对12个条锈菌生理小种(A)和成株期对混合小种(B)的表型"

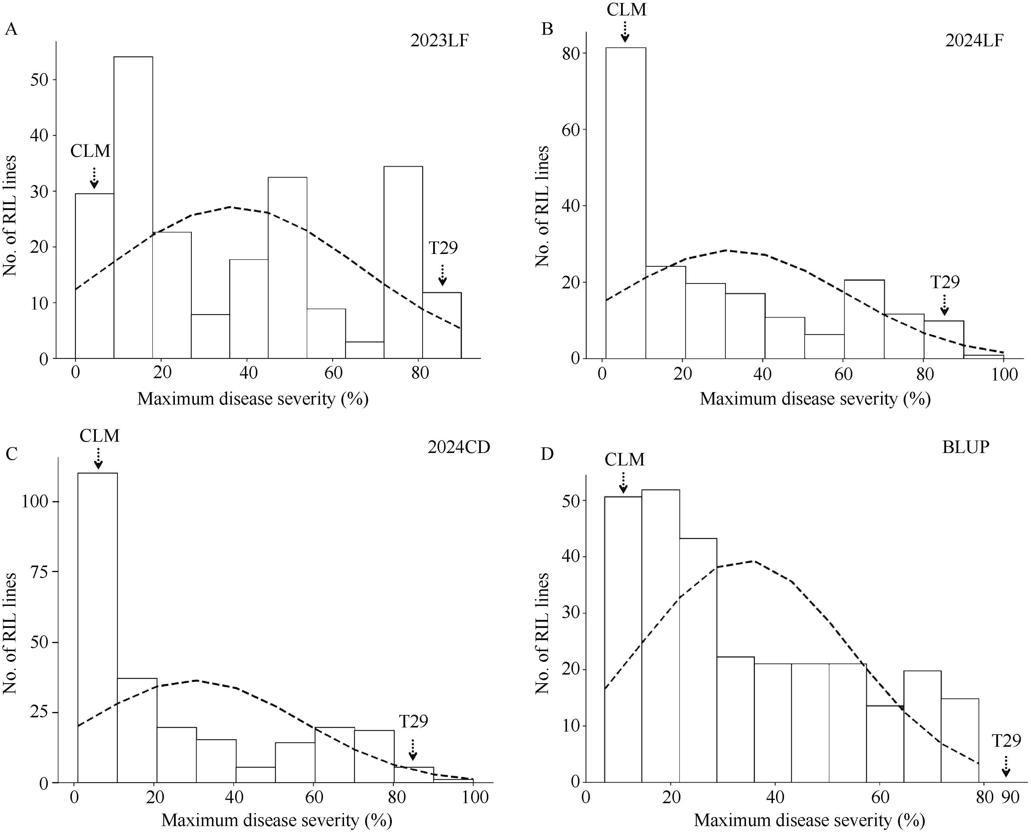
图2

蚕老麦×Taichung 29重组自交系群体在田间不同环境下最大病情严重度频率分布 CLM: 蚕老麦; T29: Taichung 29。2023 LF: 2023年廊坊; 2024 LF: 2024年廊坊; 2024 CD: 2024年成都; BLUP: 最佳线性无偏预测数据。"

表1

不同环境下最大病情严重度相关系数"

试验点Trial 2024 CD 2023 LF 2024 LF BLUP
2024 CD 1.00***
2023 LF 0.59*** 1.00***
2024 LF 0.61*** 0.63*** 1.00***
BLUP 0.87*** 0.86*** 0.86*** 1.00***

图3

差异SNP位点在染色体上频率分布"

图4

引物Xgwm102聚丙烯酰胺凝胶电泳结果 M: 100 bp ladder Marker I; 1: 蚕老麦; 2: Cappelle Desprez (Yr16); 3: Taichung 29。图内箭头指示品种Cappelle Desprez中Yr16特异带型。"

表2

构建遗传图谱所用引物目录"

引物名称
Primer name
引物序列
Primer sequence (5′-3′)
物理位置
Physical location (Mb)
产物特征
Production size (bp) or genotyping
32KASP2D-1 GAAGGTGACCAAGTTCATGCTGGTG
AAAATACTTTCTGTTAGATCCACT
72.21 [G/T]
GAAGGTCGGAGTCAACGGATTGTGA
AAATACTTTCTGTTAGATCCACG
CAGGTGATCACGGGATCGTATTGTA
32SSR2D-17 TCATCCCCTTGAAGCAACTC 60.33 160
GCATCTTCTCCTGTAGGGCA
32SSR2D-498 CACACAATGGCCATCAACTC 66.72 100
TCAAACTTGGGCTAACTGGG
32SSR2D-523 TACGGTTGGTTATCGCAATG 67.24 240
ATGTGGCGTGTTGTGTTCAT
Xgwm484 ACATCGCTCTTCACAAACCC 48.17 160
AGTTCCGGTCATGGCTAGG
Xgwm102 TCTCCCATCCAACGCCTC 72.66 150
TGTTGGTGGCTTGACTATTG

表3

QYr.CLM-2DS定位具体信息"

试验地
Trait
区间
Interval (cM)
左侧标记
Left Marker
右侧标记
Right Marker
或然率优势对数
LOD
解释表型变异
百分率PVE (%)
加性效应
Add effect
抗性来源
Resistance source
2024 CD 10.33-13.85 32KASP2D-1 32SSR2D-498 5.99 11.41 -9.45 蚕老麦Canlaomai
2023 LF 13.85-21.08 32SSR2D-498 32SSR2D-523 7.13 13.08 -11.69 蚕老麦Canlaomai
2024 LF 10.33-13.85 32KASP2D-1 32SSR2D-498 6.75 12.54 -10.61 蚕老麦Canlaomai
BLUP 13.85-21.08 32SSR2D-498 32SSR2D-523 8.96 16.37 -8.89 蚕老麦Canlaomai

图5

标记32KASP2D-1对遗传群体的基因分型 NTC: 无模板对照。"

图6

小麦条锈病抗性位点QYr.CLM-2DS LOD曲线图 缩写同图2。"

图7

QYr.CLM-2DS降低最大病情严重度的效果 缩写同图2。****: P ≤ 0.0001。"

图8

候选区间在不同小麦材料基因组中的共线性分析"

[1] Tester M, Langridge P. Breeding technologies to increase crop production in a changing world. Science, 2010, 327: 818-822.
doi: 10.1126/science.1183700 pmid: 20150489
[2] Chen X M. Epidemiology and control of stripe rust [Puccinia striiformis f. sp. tritici] on wheat. Can J Plant Pathol, 2005, 27: 314-337.
[3] 陈万权, 康振生, 马占鸿, 徐世昌, 金社林, 姜玉英. 中国小麦条锈病综合治理理论与实践. 中国农业科学, 2013, 46: 4254-4262.
doi: 10.3864/j.issn.0578-1752.2013.20.008
Chen W Q, Kang Z S, Ma Z H, Xu S C, Jin S L, Jiang Y Y. Integrated management of wheat stripe rust caused by Puccinia striiformis f. sp. tritici in China. Sci Agric Sin, 2013, 46: 4254-4262 (in Chinese with English abstract).
[4] 黄冲, 姜玉英, 李佩玲, 彭红, 崔彦, 杨俊杰, 谢飞舟. 2017年我国小麦条锈病流行特点及重发原因分析. 植物保护, 2018, 44(2): 162-166.
Huang C, Jiang Y Y, Li P L, Peng H, Cui Y, Yang J J, Xie F Z. Epidemics analysis of wheat stripe rust in China in 2017. Plant Prot, 2018, 44(2): 162-166 (in Chinese with English abstract).
[5] Beukert U, Liu G Z, Thorwarth P, Boeven P H G, Longin C F H, Zhao Y S, Ganal M, Serfling A, Ordon F, Reif J C. The potential of hybrid breeding to enhance leaf rust and stripe rust resistance in wheat. Theor Appl Genet, 2020, 133: 2171-2181.
doi: 10.1007/s00122-020-03588-y pmid: 32281003
[6] Chen W Q, Wu L R, Liu T G, Xu S C, Jin S L, Peng Y L, Wang B T. Race dynamics, Race dynamics, diversity, and virulence evolution in Puccinia striiformis f. sp. tritici, the causal agent of wheat stripe rust in China from 2003 to 2007. Plant Dis, 2009, 93: 1093-1101.
doi: 10.1094/PDIS-93-11-1093 pmid: 30754577
[7] Sharma D, Avni R, Gutierrez-Gonzalez J, Kumar R, Sela H N, Prusty M R, Shatil-Cohen A, Molnár I, Holušová K, Said M, et al. A single NLR gene confers resistance to leaf and stripe rust in wheat. Nat Commun, 2024, 15: 9925.
[8] Ellis J G, Lagudah E S, Spielmeyer W, Dodds P N. The past, present and future of breeding rust resistant wheat. Front Plant Sci, 2014, 5: 641.
[9] Ma H. Expression of adult resistance to stripe rust at different growth stages of wheat. Plant Dis, 1996, 80: 375.
[10] Singh R P, Huerta-Espino J, Rajaram S. Achieving near-immunity to leaf and stripe rusts in wheat by combining slow rusting resistance genes. Acta Phytopathol Entomol Hung, 2000, 35: 133-139.
[11] Semagn K, Babu R, Hearne S, Olsen M. Single nucleotide polymorphism genotyping using kompetitive allele specific PCR (KASP): overview of the technology and its application in crop improvement. Mol Breed, 2014, 33: 1-14.
[12] Seo J, Lee G, Jin Z, Kim B, Chin J H, Koh H J. Development and application of indica-japonica SNP assays using the Fluidigm platform for rice genetic analysis and molecular breeding. Mol Breed, 2020, 40: 39.
[13] Line R F, Qayoum A. Virulence aggressiveness, evolution and distribution of races of Puccinia striiformis (the cause of stripe rust of wheat) in North America. Tech Bull, 1992, 1968: 87.
[14] Meng L, Li H H, Zhang L Y, Wang J K. QTL IciMapping: integrated software for genetic linkage map construction and quantitative trait locus mapping in biparental populations. Crop J, 2015, 3: 269-283.
doi: 10.1016/j.cj.2015.01.001
[15] Bates D, Mächler M, Bolker B, Walker S. Fitting linear mixed-effects models using lme4. J Stat Soft, 2015, 67: 1-48.
[16] Hill-Ambroz K L, Brown-Guedira G L, Fellers J P. Modified rapid DNA extraction protocol for high throughput microsatellite analysis in wheat. Crop Sci, 2002, 42: 2088-2091.
[17] Zhou X L, Han D J, Chen X M, Gou H L, Guo S J, Rong L, Wang Q L, Huang L L, Kang Z S. Characterization and molecular mapping of stripe rust resistance gene Yr61 in winter wheat cultivar Pindong 34. Theor Appl Genet, 2014, 127: 2349-2358.
doi: 10.1007/s00122-014-2381-0 pmid: 25163935
[18] Chen X M, Line R F, Leung H. Genome scanning for resistance-gene analogs in rice, barley, and wheat by high-resolution electrophoresis. Theor Appl Genet, 1998, 97: 345-355.
[19] Stam P. Construction of integrated genetic linkage maps by means of a new computer package: JOINMAP. Plant J, 1993, 3: 739-744.
[20] Ma D F, Li Q, Tang M S, Chao K X, Li J C, Wang B T, Jing J X. Mapping of gene conferring adult-plant resistance to stripe rust in Chinese wheat landrace Baidatou. Mol Breed, 2015, 35: 157.
[21] Hu C Y, Wang F T, Feng J, Sun C, Guo J Y, Lang X W, Hu J H, Bai B, Zhang W T, Li H J, et al. Identification and molecular mapping of YrBm for adult plan resistance to stripe rust in Chinese wheat landrace Baimangmai. Theor Appl Genet, 2022, 135: 2655-2664.
[22] Zhou L, Liu T, Cheng Y K, Ye X L, Li W, Pu Z E, Jiang Q T, Liu Y X, Wei Y M, Deng M, et al. Molecular mapping of a stripe rust resistance gene in Chinese wheat landrace “Hejiangyizai” using SSR RGAP TRAP and SRAP markers. Crop Prot, 2017, 94: 178-184.
[23] Krattinger S G, Lagudah E S, Spielmeyer W, Singh R P, Huerta-Espino J, McFadden H, Bossolini E, Selter L L, Keller B. A putative ABC transporter confers durable resistance to multiple fungal pathogens in wheat. Science, 2009, 323: 1360-1363.
doi: 10.1126/science.1166453 pmid: 19229000
[24] Wang Z, Ren J D, Du Z Y, Che M Z, Zhang Y B, Quan W, Jiang X, Ma Y, Zhao Y, Zhang Z J. Identification of a major QTL on chromosome arm 2AL for reducing yellow rust severity from a Chinese wheat landrace with evidence for durable resistance. Theor Appl Genet, 2019, 132: 457-471.
doi: 10.1007/s00122-018-3232-1 pmid: 30426175
[25] Jiang X, Wang Z, Feng J, Du Z Y, Zhang Z J, Zhang Y B, Che M Z, Ren J D, Wang H G, Quan W. Mapping and validation of a novel major QTL for resistance to stripe rust in four wheat populations derived from landrace Qishanmai. Front Plant Sci, 2023, 14: 1207764.
[26] Wu Y, Wang Y Q, Yao F J, Long L, Li J, Li H, Pu Z E, Li W, Jiang Q T, Wang J R, et al. Molecular mapping of a novel quantitative trait locus conferring adult plant resistance to stripe rust in Chinese wheat landrace Guangtoumai. Plant Dis, 2021, 105: 1919-1925.
[27] Worland A J, Petrovic S, Law C N. Genetic analysis of chromosome 2D of wheat. Plant Breed, 1988, 100: 247-259.
[28] Mallard S, Gaudet D, Aldeia A, Abelard C, Besnard A L, Sourdille P, Dedryver F. Genetic analysis of durable resistance to yellow rust in bread wheat. Theor Appl Genet, 2005, 110: 1401-1409.
doi: 10.1007/s00122-005-1954-3 pmid: 15841362
[29] Agenbag G M, Pretorius Z A, Boyd L A, Bender C M, Prins R. Identification of adult plant resistance to stripe rust in the wheat cultivar Cappelle-Desprez. Theor Appl Genet, 2012, 125: 109-120.
doi: 10.1007/s00122-012-1819-5 pmid: 22350093
[30] Pawar S K, Sharma D, Duhan J S, Saharan M S, Tiwari R, Sharma I. Mapping of stripe rust resistance QTL in Cappelle-Desprez × PBW343 RIL population effective in northern wheat belt of India. 3 Biotech, 2016, 6: 76.
[31] Powell N M, Lewis C M, Berry S T, Maccormack R, Boyd L A. Stripe rust resistance genes in the UK winter wheat cultivar Claire. Theor Appl Genet, 2013, 126: 1599-1612.
doi: 10.1007/s00122-013-2077-x pmid: 23536048
[32] Bariana H S, Hayden M J, Ahmed N U, Bell J A, Sharp P J, Mcintosh R A. Mapping of durable adult plant and seedling resistances to stripe rust and stem rust diseases in wheat. Aust J Agric Res, 2001, 52: 1247.
[33] Suenaga K, Singh R P, Huerta-Espino J, William H M. Microsatellite markers for genes Lr34/Yr18 and other quantitative trait loci for leaf rust and stripe rust resistance in bread wheat. Phytopathology, 2003, 93: 881-890.
doi: 10.1094/PHYTO.2003.93.7.881 pmid: 18943170
[34] Liu S J, Wang X T, Zhang Y Y, Jin Y G, Xia Z H, Xiang M J, Huang S, Qiao L Y, Zheng W J, Zeng Q D, et al. Enhanced stripe rust resistance obtained by combining Yr30 with a widely dispersed, consistent QTL on chromosome arm 4BL. Theor Appl Genet, 2022, 135: 351-365.
[35] Eagle J, Liu Y, Naruoka Y, Liu W Z, Ruff T, Hooker M, Sthapit S, Marston E, Marlowe K, Pumphrey M, et al. Identification and mapping of quantitative trait loci associated with stripe rust resistance in spring club wheat cultivar JD. Plant Dis, 2022, 106: 2490-2497.
doi: 10.1094/PDIS-12-21-2627-RE pmid: 35077228
[36] Chinchilla D, Zipfel C, Robatzek S, Kemmerling B, Nürnberger T, Jones J D G, Felix G, Boller T. A flagellin-induced complex of the receptor FLS2 and BAK1 initiates plant defence. Nature, 2007, 448: 497-500.
[37] Xiao Y Y, Wu X X, Wang Z Q, Ji K X, Zhao Y, Zhang Y, Wan L. Activation and inhibition mechanisms of a plant helper NLR. Nature, 2025, 639: 438-446.
[1] 张飞飞, 何万龙, 焦文娟, 白斌, 耿洪伟, 程宇坤. 小麦抗条锈病相关性状元分析及候选基因分析[J]. 作物学报, 2025, 51(8): 2111-2127.
[2] 杨海洋, 吴林宣, 李博纹, 石翰峰, 袁禧龙, 刘金朝, 蔡海荣, 陈诗怡, 郭涛, 王慧. 基于QTL定位发现的OsWRI3调控水稻种子的落粒性[J]. 作物学报, 2025, 51(7): 1712-1724.
[3] 胡蒙, 沙丹, 张晟瑞, 谷勇哲, 张世碧, 李静, 孙君明, 邱丽娟, 李斌. 大豆分枝数QTL定位及候选基因筛选[J]. 作物学报, 2025, 51(7): 1747-1756.
[4] 邵顺伟, 陈卓, 兰振东, 蔡兴奎, 邹华芬, 李晨曦, 唐景华, 朱熙, 张彧, 董建科, 金辉, 宋波涛. 基于BSA-seq技术的块茎芽眼深度QTL定位分析[J]. 作物学报, 2025, 51(7): 1725-1735.
[5] 张金泽, 周庆国, 肖莉晶, 金海润, 欧阳青静, 龙旭, 晏中彬, 田恩堂. 芥菜型油菜不同组织硫苷含量的QTL定位与候选基因分析[J]. 作物学报, 2025, 51(5): 1166-1177.
[6] 展宗冰, 靳奇峰, 刘迪, 吕迎春, 郭莹, 张雪婷, 虎梦霞, 王尚, 杨芳萍. 甘肃省小麦农家种老芒麦分子鉴定及其重要性状评价[J]. 作物学报, 2025, 51(3): 609-620.
[7] 郭淑慧, 潘转霞, 赵战胜, 杨六六, 皇甫张龙, 郭宝生, 胡晓丽, 录亚丹, 丁霄, 吴翠翠, 兰刚, 吕贝贝, 谭逢平, 李朋波. 陆地棉D11染色体一个纤维长度主效位点的遗传解析[J]. 作物学报, 2025, 51(2): 383-394.
[8] 焦文娟, 白斌, 谢克莱·依拉木, 张飞飞, 贾秋珍, 耿洪伟, 程宇坤. 295份国内外小麦种质资源条锈病抗性评价及抗病基因分子检测[J]. 作物学报, 2025, 51(11): 2886-2898.
[9] 田汉钊, 冯龙婷, 应开, 孟天琪, 武军, 刘玉秀. 外引小麦种质麦谷蛋白亚基组成及评价[J]. 作物学报, 2025, 51(10): 2663-2680.
[10] 刘鑫源, 程宇坤, 王丽丽, 战帅帅, 马孟瑶, 郭玲, 耿洪伟. 新疆小麦过氧化物酶活性基因TaPod-A1TaPod-A3TaPod-D1等位变异及分布规律[J]. 作物学报, 2025, 51(1): 68-78.
[11] 杨景发, 余鑫莲, 姚有华, 姚晓华, 王蕾, 吴昆仑, 李新. 青稞分蘖角度的QTL定位[J]. 作物学报, 2025, 51(1): 260-272.
[12] 黄林玉, 张潇月, 李豪, 邓梅, 康厚扬, 魏育明, 王际睿, 蒋云峰, 陈国跃. 小麦农家种成株期条锈病抗性QTL定位及其育种效应解析[J]. 作物学报, 2024, 50(9): 2167-2178.
[13] 艾莎, 李莎, 方治伟, 李论, 李甜甜, 高利芬, 陈利红, 肖华锋, 万人静, 闫多子, 武星廷, 彭海, 韩瑞玺, 周俊飞. 棉花MNP标记位点开发及其在DNA指纹图谱构建中的应用[J]. 作物学报, 2024, 50(9): 2267-2278.
[14] 韩丽, 汤胜胜, 李佳, 胡海斌, 刘龙龙, 吴斌. 燕麦SNP高密度遗传图谱构建及β-葡聚糖含量QTL定位[J]. 作物学报, 2024, 50(7): 1710-1718.
[15] 秦娜, 叶珍言, 朱灿灿, 付森杰, 代书桃, 宋迎辉, 景雅, 王春义, 李君霞. 谷子籽粒类黄酮含量和粒色的QTL定位[J]. 作物学报, 2024, 50(7): 1719-1727.
Viewed
Full text


Abstract

Cited

  Shared   
  Discussed   
No Suggested Reading articles found!