Welcome to Acta Agronomica Sinica,

Acta Agronomica Sinica ›› 2026, Vol. 52 ›› Issue (1): 72-84.doi: 10.3724/SP.J.1006.2026.54076

• CROP GENETICS & BREEDING·GERMPLASM RESOURCES·MOLECULAR GENETICS • Previous Articles     Next Articles

Identification of drought-resistant resources and preliminary screening of drought resistant genes in diploid potatoes

Wang Ya-Zhi(), Yang Biao, Ji Xiang-Lin, Shi Ying*(), Zhang Li-Li*()   

  1. College of Agriculture, Northeast Agricultural University, Harbin 150030, Heilongjiang, China
  • Received:2025-06-19 Accepted:2025-09-10 Online:2026-01-12 Published:2025-09-24
  • Contact: *E-mail: yshi@neau.edu.cn; E-mail: zhanglilizw@163.com
  • Supported by:
    National Natural Science Foundation of China(31601355);China Agriculture Research System of MOF and MARA(CARS-09)

Abstract:

In this study, drought-shelter controlled irrigation experiments were conducted on 75 tissue-cultured seedling clones derived from hybrid progeny of the diploid cultivated species PHU-STN. Seven traits, measurements including biomass, root-related indicators, and physiological indices under drought stress, were measured for each potato accession. Drought stress indices were calculated for each trait, and a comprehensive evaluation was performed using membership function analysis combined with principal component and cluster analyses. Based on the results, the materials were classified into four levels of drought resistance, and two highly drought-resistant clones (A90 and A204) were identified. Subsequently, A90 (high drought resistance) and A163 (low drought resistance) were subjected to PEG-6000-induced drought stress for sampling and analysis. Transcriptome sequencing was employed to explore the regulatory mechanisms underlying drought response and to identify drought-resistance- related genes. Differentially expressed genes (DEGs) were analyzed in A90 and A163 under PEG-6000 stress. GO functional annotation and KEGG pathway enrichment analyses revealed key regulatory genes involved in ethylene and auxin signaling pathways. Based on differential expression patterns and qRT-PCR validation, six candidate drought-resistance genes were identified, all associated with auxin and ethylene signaling pathways.

Key words: potato, diploid, drought stress, comprehensive evaluation, drought resistant candidate genes

Table 1

Primer sequences used for qRT-PCR"

基因名称
Gene name
正向引物
Forward primer (5′-3′)
反向引物
Reverse primer (5′-3′)
Elfα GGTTGGTAATGTGTTGCCGC GCTCTGGTGGCAGAGTTTCT
StIAA20-like TTGGGGCTTGCTCTATGTGG GGCTTGTATCTTCTTCAGGCTT
StIAA17-like AAACAGAGCTCACTCTCGGC GATCCCCCTGGTGTTCTTGG
StSAUR71-like CCAGAGGAAGAGCCAAAGAGG TTCAGTGTGTAAGGCGGACG
StERF2-like TGTATTCGAATTGTGAACT TTATTGCTCTCTGTTCC
StABR1-like AGGATCATGGGCTGGACAGA GGCTTGTATCTTCTTCAGGCTT
StERF7-like AGGGAACAGAGCAATAA GCATGTCTCGATGCCTC
StERF37-like ATGATAATAATGTCTA TTTTCGAATTGATTTGCGG
StERF8-like ACTGAAAATGGCGCCC ACGTACCTAACCAAACACGG
StIAA13-like GCAGTCAGGTTGTGGGAT TCACCTTTACAATCTACATCAT

Fig. 1

Frequency distribution of physiological index changes across 75 potato accessions n: changes in physiological index of each accession; J: changes in physiological index of Jizhangshu 8; F: changes in physiological index of Favorita; Pro: proline; MDA: malondialdehyde; SOD: superoxide dismutase; POD: peroxidase; CAT: catalase."

Fig. S1

Frequency distribution of variation in single plant yield across 75 potato accessions Abbreviation are the same as those given in Fig. 1."

Table 2

Effects of drought stress on various indicators of potato"

水分含量
Moisture content
丙二醛含量
MDA content
(nmol g-1)
超氧化物歧化酶活性
SOD activity
(U g-1 min-1)
过氧化物
酶活性
POD activity
(U g-1 min-1)
过氧化氢
酶活性
CAT activity
(U g-1 min-1)
叶绿素含量Clorophyll content
(mg g-1)
脯氨酸含量
Pro content
(µg g-1)
单株产量
yield per plant
(g)
正常水分
Normal moisture content
均值 Mean 53.59 14.98 1150.30 19.40 3.65 26.13 51.01
标准偏差SD 35.70 6.17 310.37 3.99 0.86 19.48 12.17
变异系数
CV (%)
66.62 41.17 26.98 20.57 23.42 74.58 23.86
干旱胁迫
Drought stress
均值 Mean 72.84 18.41 2066.06 25.45 4.42 976.86 23.45
标准偏差 SD 42.95 7.01 479.66 5.03 0.93 648.54 7.07
变异系数CV(%) 58.96 38.06 23.22 19.76 21.01 66.39 30.15
方差分析
ANOVA
M ** ** ** ** ** ** **
T ** ** ** ** ** ** **
M×T ** ** ** * ** ** **

Table 3

Correlation analysis of potato physiological indices under normal and drought conditions"

性状
Trait
Pro MDA SOD POD CAT 叶绿素含量
Chlorophyll content
单株产量
Yield per plant
Pro 0.11 -0.27* 0.21 0.36** 0.01 0.17 0.47**
MDA -0.08 0.85** -0.11 -0.10 -0.25* -0.15 0.34**
SOD 0.26* -0.09 0.89** 0.10 -0.21 0.01 0.16
POD 0.02 -0.01 0.11 0.69** 0.06 -0.04 0.22
CAT -0.01 -0.11 -0.23* 0.14 0.90** 0.18 0.34**
叶绿素含量Chlorophyll content 0.07 0.01 -0.03 -0.15 0.09 0.80** 0.33**
单株产量Yield per plant 0.31** -0.02 -0.06 0.11 0.15 0.05 0.83**

Fig. 2

Correlation analysis (A) and cluster analysis (B) of drought resistance coefficients and comprehensive evaluation value (D) across potato traits Abbreviations are the same as those given in Table 2. *、** indicate significant correlations at the 0.05 and 0.01 probability levels, respectively."

Table 4

Summary statistics of sequencing data quality"

样品名称
Sample name
有效数据
Clean reads
总碱基数
Clean bases (G)
Q30
(%)
GC含量
GC content (%)
映射读数
Mapped reads
映射率
Mapping rate (%)
T0A90a 21,717,792 6.5 93.98 42.80 40,013,630 92.12
T0A90b 23,271,762 7.0 93.95 42.69 42,716,607 91.78
T0A90c 20,766,821 6.2 94.80 42.78 38,276,615 92.16
T0A163a 22,087,763 6.6 94.19 42.66 36,569,218 82.78
T0A163b 22,191,182 6.6 93.85 42.44 37,408,864 84.29
T0A163c 21,340,959 6.4 94.75 42.57 35,602,740 83.41
T24A90a 21,331,288 6.4 94.70 42.50 38,618,685 90.52
T24A90b 21,578,809 6.5 94.14 43.88 37,343,483 86.53
T24A90c 23,657,586 7.1 94.73 42.58 43,117,670 91.13
T24A163a 21,150,182 6.3 94.66 42.57 35,024,331 82.80
T24A163b 21,298,612 6.4 94.89 42.47 34,429,343 80.83
T24A163c 23,781,477 7.1 94.20 42.45 38,534,448 81.02

Fig. 3

Transcriptome results of potato accessions with differing drought resistance CK: transcriptome data at 0 h of drought stress; DT: transcriptome data after drought stress."

Fig. 4

GO (A) and KEGG (B) enrichment statistical results"

Fig. 5

Heatmap of differentially expressed genes involved in IAA and ethylene signaling pathways in A90 and A163 CK: plants under drought stress for 0 h; DT: plants under drought stress for 24 h. Description is a comment for the gene ID."

Fig. 6

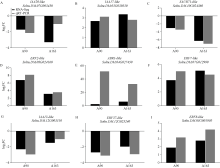
qRT-PCR validation of transcriptome data"

[1] Nadeem M, Li J J, Yahya M, et al. Research progress and perspective on drought stress in legumes: a review. Int J Mol Sci, 2019, 20: 2541.
doi: 10.3390/ijms20102541
[2] Liu N, Zhao R M, Qiao L, et al. Growth stages classification of potato crop based on analysis of spectral response and variables optimization. Sensors, 2020, 20: 3995.
doi: 10.3390/s20143995
[3] Nasir M W, Toth Z. Effect of drought stress on potato production: a review. Agronomy, 2022, 12: 635.
doi: 10.3390/agronomy12030635
[4] Obidiegwu J E, Bryan G J, Jones H G, et al. Coping with drought: stress and adaptive responses in potato and perspectives for improvement. Front Plant Sci, 2015, 6: 542.
doi: 10.3389/fpls.2015.00542 pmid: 26257752
[5] Fang G N, Yang S W, Ruan B P, et al. Research progress on physiological, biochemical, and molecular mechanisms of potato in response to drought and high temperature. Horticulturae, 2024, 10: 827.
doi: 10.3390/horticulturae10080827
[6] 郑太波, 张一宁, 李红兵, 等. 马铃薯块茎膨大期叶片响应干旱与复水的转录组分析. 西北农业学报, 2024, 33: 1448-1461.
Zheng T B, Zhang Y N, Li H B, et al. Transcriptome analysis of leaf response to drought and rehydration in potato tuber during bulking stage. Acta Agric Boreali-Occident Sin, 2024, 33: 1448-1461 (in Chinese with English abstract).
[7] 李世贵. 马铃薯响应干旱胁迫的染色质可及性分析及StNF-Y基因功能研究. 甘肃农业大学博士学位论文, 甘肃兰州, 2022.
Li S G. Analysis of Chromatin Accessibility Response to Drought Stress and Functional Study of StNF-Y Gene in Potato. PhD Dissertation of Gansu Agricultural University, Lanzhou, Gansu, China, 2022 (in Chinese with English abstract).
[8] 简银巧, 李广存, 段绍光, 等. 马铃薯双单倍体产生的研究进展. In: 马铃薯产业与美丽乡村, 2020. pp186-190.
Jian Y Q, Li G C, Duan S G, et al. Research progress on the production of potato haploid. In: Potato Ind Beautiful Countryside, 2020. pp186-190.
[9] Bethke P C, Halterman D A, Francis D M, et al. Diploid potatoes as a catalyst for change in the potato industry. Am J Potato Res, 2022, 99: 337-357.
doi: 10.1007/s12230-022-09888-x
[10] 杜敏晴, 伍仁军, 杨民烽, 等. 烘干称重法与TDR法观测土壤湿度的比较研究. 水土保持应用技术, 2018(4): 7-9.
Du M Q, Wu R J, Yang M F, et al. Comparative study on observation of soil moisture by drying weighing method and TDR method. Technol Soil Water Conserv, 2018(4): 7-9 (in Chinese).
[11] 李绍军, 龚月桦, 王俊儒, 等. 关于茚三酮法测定脯氨酸含量中脯氨酸与茚三酮反应之探讨. 植物生理学通讯, 2005, 41: 365-368.
Li S J, Gong Y H, Wang J R, et al. Discussion on the reaction between proline and indenone in the determination of proline content by indenone method. Plant Physiol Commun, 2005, 41: 365-368 (in Chinese with English abstract).
[12] 李合生. 植物生理生化实验原理和技术. 北京: 高等教育出版社, 2000.
Li H S. Principles and Techniques of Plant Physiological Biochemical Experiment. Beijing: Higher Education Press, 2000 (in Chinese)
[13] 唐鑫华, 曲自成, 张霞, 等. 块茎形成期浇灌稳态铁盐对马铃薯生理和产量的影响. 中国农业科技导报, 2018, 20(8): 7-15.
doi: 10.13304/j.nykjdb.2018.0124
Tang X H, Qu Z C, Zhang X, et al. Effect of irrigating steady-state iron salts on potato physiology and yield during Tuber formation stage. J Agric Sci Technol, 2018, 20(8): 7-15 (in Chinese with English abstract).
[14] 李建武. 水分胁迫对马铃薯生理生化特性的影响. 甘肃农业大学硕士学位论文, 甘肃兰州, 2005.
Li J W. Effects of Water Stress on Physiological and Biochemical Characteristics of Potato. MS Thesis of Gansu Agricultural University, Lanzhou, Gansu, China, 2005 (in Chinese with English abstract).
[15] 努尔凯麦尔·木拉提, 杨亚杰, 帕尔哈提·阿布都克日木, 等. 小麦叶绿素含量测定方法比较. 江苏农业科学, 2021, 49(9): 156-159.
Nurkaimar M, Yang Y J, Parhati A, et al. Comparative study on determination methods of chlorophyll content in wheat. Jiangsu Agric Sci, 2021, 49(9): 156-159 (in Chinese with English abstract).
[16] 陈建勋, 王晓峰. 植物生理学实验指导(第2版). 广州: 华南理工大学出版社, 2006.
Chen J X, Wang X F. Experimental Instruction of Plant Physiology, 2nd edn. Guangzhou: South China University of Technology Press, 2006 (in Chinese).
[17] 赵媛媛. 马铃薯抗旱资源的筛选及抗旱相关基因的鉴定. 东北农业大学硕士学位论文, 黑龙江哈尔滨, 2017.
Zhao Y Y. Screening of Potato Drought Resistance Resources and Identification of Drought Resistance Genes. MS Thesis of Northeast Agricultural University, Harbin, Heilongjiang, China, 2017 (in Chinese with English abstract).
[18] 赵明辉, 白雅梅, 吕文河. 离体条件下评价二倍体马铃薯(Solanum phureja × S. stenotomum)耐盐性. 核农学报, 2020, 34: 1-9.
doi: 10.11869/j.issn.100-8551.2020.01.0001
Zhao M H, Bai Y M, Lyu W H. In vitro evaluation of salt tolerance of diploid potato (Solanum phureja × S. stenotomum). J Nucl Agric Sci, 2020, 34: 1-9 (in Chinese with English abstract).
[19] Rahayu N I, Muktiarni M, Hidayat Y. An application of statistical testing: a guide to basic parametric statistics in educational research using SPSS. ASEAN J Sci Eng, 2024, 4: 569-582.
doi: 10.17509/ajse.v4i3
[20] Mavrevski R, Traykov M, Trenchev I, et al. Approaches to modeling of biological experimental data with GraphPad prism software. WSEAS Trans Syst Control, 2018, 13: 242-247.
[21] 季香林. 二倍体马铃薯种质资源抗旱性评价及抗旱基因的初步挖掘. 东北农业大学硕士学位论文, 黑龙江哈尔滨, 2022.
Ji X L. Drought Resistance Evaluation of Diploid Potato Germplasm Resources and Preliminary Mining of Drought Resistance Genes. MS Thesis of Northeast Agricultural University, Harbin, Heilongjiang, China, 2022 (in Chinese with English abstract).
[22] Feng D, Liu W X, Chen K, et al. Exogenous substances used to relieve plants from drought stress and their associated underlying mechanisms. Int J Mol Sci, 2024, 25: 9249.
doi: 10.3390/ijms25179249
[23] 张武. 马铃薯叶绿素含量、CAT活性与品种抗旱性关系的研究. 农业现代化研究, 2007, 28: 622-624.
Zhang W. Relations between chlorophyll content, CAT activity of potato and drought resistance of variety. Res Agric Mod, 2007, 28: 622-624 (in Chinese with English abstract).
[24] Manavalagan N, Nivethitha T, Manonmani V. Unraveling effect of seed priming with phytohormones and polyamines in alleviating drought stress in maize: its impacts on growth, physiology and yield at seedling and reproductive phase. Trop Plant Biol, 2025, 18: 58.
doi: 10.1007/s12042-025-09427-y
[25] 胡润慧, 汪军成, 司二静, 等. 小麦苗期耐旱耐盐种质筛选及抗旱耐盐综合评价. 作物学报, 2025, 51: 2371-2386.
doi: 10.3724/SP.J.1006.2025.51022
Hu R H, Wang J C, Si E J, et al. Screening of drought and salt tolerant germplasm during wheat seedling stage and comprehensive evaluation of drought and salt tolerance. Acta Agron Sin, 2025, 51: 2371-2386 (in Chinese with English abstract).
[26] 贾秉鑫, 余香雪, 马旭杰, 等. 20种紫花苜蓿萌发期抗旱性综合评价. 中国饲料, 2025(11): 166-171.
Jia B X, Yu X X, Ma X J, et al. Comprehensive evaluation of drought resistance of 20 alfalfa species at germination stage. China Feed, 2025(11): 166-171 (in Chinese with English abstract).
[27] 张莹, 李成举, 刘寅笃, 等. 80份国际马铃薯中心引进的马铃薯种质资源抗旱性鉴定及评价指标的筛选. 江西农业大学学报, 2024, 46: 1124-1137.
Zhang Y, Li C J, Liu Y D, et al. Identification of drought resistance and screening of evaluation indexes of 80 potato germplasm resources introduced by CIP. Acta Agric Univ Jiangxiensis, 2024, 46: 1124-1137 (in Chinese with English abstract).
[28] 高春燕, 秦军红, 徐建飞, 等. 基于联合分析方法的二倍体马铃薯群体抗旱性评价. 植物遗传资源学报, 2021, 22: 1542-1549.
Gao C Y, Qin J H, Xu J F, et al. Evaluation of drought resistance of diploid potato population based on conjoint analysis method. J Plant Genet Resour, 2021, 22: 1542-1549 (in Chinese with English abstract).
[29] 李慧楠, 何芳练, 邱祖杨, 等. 干旱胁迫下芋叶片转录组分析. 南方农业学报, 2025, 56: 1056-1069.
Li H N, He F L, Qiu Z Y, et al. Transcriptome analysis of taro (Colocasia esculenta) leaves under drought stress. J South Agric, 2025, 56: 1056-1069 (in Chinese with English abstract).
[30] Chen C, Zhang M, Zhang M Y, et al. ETHYLENE-INSENSITIVE 3-LIKE 2 regulates β-carotene and ascorbic acid accumulation in tomatoes during ripening. Plant Physiol, 2023, 192: 2067-2080.
doi: 10.1093/plphys/kiad151 pmid: 36891812
[31] Rong W, Qi L, Wang A Y, et al. The ERF transcription factor TaERF3 promotes tolerance to salt and drought stresses in wheat. Plant Biotechnol J, 2014, 12: 468-479.
doi: 10.1111/pbi.12153 pmid: 24393105
[32] Jin Y, Pan W Y, Zheng X F, et al. OsERF101, an ERF family transcription factor, regulates drought stress response in reproductive tissues. Plant Mol Biol, 2018, 98: 51-65.
doi: 10.1007/s11103-018-0762-5 pmid: 30143992
[33] An J P, Zhang X W, Bi S Q, et al. The ERF transcription factor MdERF38 promotes drought stress-induced anthocyanin biosynthesis in apple. Plant J, 2020, 101: 573-589.
doi: 10.1111/tpj.v101.3
[34] Trujillo L E, Sotolongo M, Menéndez C, et al. SodERF3, a novel sugarcane ethylene responsive factor (ERF), enhances salt and drought tolerance when overexpressed in tobacco plants. Plant Cell Physiol, 2008, 49: 512-525.
doi: 10.1093/pcp/pcn025 pmid: 18281696
[35] Sun L J, Dong X X, Song X S. PtrABR1 increases tolerance to drought stress by enhancing lateral root formation in Populus trichocarpa. Int J Mol Sci, 2023, 24: 13748.
doi: 10.3390/ijms241813748
[36] 孙立娇. 毛果杨PtrABR1转录因子响应干旱胁迫的分子机制研究. 东北林业大学博士学位论文, 黑龙江哈尔滨, 2023.
Sun L J. Molecular Mechanism of PtrABR1 Transcription Factor Response to Drought Stress in Populus tomentosa. PhD Dissertation of Northeast Forestry University, Harbin, Heilongjiang, 2023 (in Chinese with English abstract).
[37] Yang H H, Sun Y G, Wang H X, et al. Genome-wide identification and functional analysis of the ERF 2 gene family in response to disease resistance against Stemphylium lycopersici in tomato. BMC Plant Biol, 2021, 21: 72.
doi: 10.1186/s12870-021-02848-3
[38] Pirrello J, Jaimes-Miranda F, Sanchez-Ballesta M T, et al. Sl-ERF2, a tomato ethylene response factor involved in ethylene response and seed germination. Plant Cell Physiol, 2006, 47: 1195-1205.
doi: 10.1093/pcp/pcj084 pmid: 16857696
[39] 李俊男, 燕晓杰, 李枢航, 等. 植物AUX/IAA基因家族研究进展. 中国农学通报, 2018, 34(15): 89-92.
doi: 10.11924/j.issn.1000-6850.casb18010021
Li J N, Yan X J, Li S H, et al. Plants AUX/IAA gene family: research progress. Chin Agric Sci Bull, 2018, 34(15): 89-92 (in Chinese with English abstract).
doi: 10.11924/j.issn.1000-6850.casb18010021
[40] Jung H, Lee D K, Choi Y D, et al. OsIAA6, a member of the rice Aux/IAA gene family, is involved in drought tolerance and tiller outgrowth. Plant Sci, 2015, 236: 304-312.
doi: 10.1016/j.plantsci.2015.04.018 pmid: 26025543
[41] Zhang A Y, Yang X, Lu J, et al. OsIAA20, an Aux/IAA protein, mediates abiotic stress tolerance in rice through an ABA pathway. Plant Sci, 2021, 308: 110903.
doi: 10.1016/j.plantsci.2021.110903
[42] Wang F B, Niu H F, Xin D Q, et al. OsIAA18, an Aux/IAA transcription factor gene, is involved in salt and drought tolerance in rice. Front Plant Sci, 2021, 12: 738660.
doi: 10.3389/fpls.2021.738660
[43] Qi T G, Yang W Q, Hassan M J, et al. Genome-wide identification of Aux/IAA gene family in white clover (Trifolium repens L.) and functional verification of TrIAA18 under different abiotic stress. BMC Plant Biol, 2024, 24: 346.
doi: 10.1186/s12870-024-05034-3
[44] Kloosterman B, Visser R G F, Bachem C W B. Isolation and characterization of a novel potato Auxin/Indole-3-Acetic Acid family member (StIAA2) that is involved in petiole hyponasty and shoot morphogenesis. Plant Physiol Biochem, 2006, 44: 766-775.
doi: 10.1016/j.plaphy.2006.10.026
[45] Gao J P, Cao X L, Shi S D, et al. Genome-wide survey of Aux/IAA gene family members in potato (Solanum tuberosum): identification, expression analysis, and evaluation of their roles in Tuber development. Biochem Biophys Res Commun, 2016, 471: 320-327.
doi: 10.1016/j.bbrc.2016.02.013
[46] Song Q, He F, Kong L F, et al. The IAA17.1/HSFA5a module enhances salt tolerance in Populus tomentosa by regulating flavonoid biosynthesis and ROS levels in lateral roots. New Phytol, 2024, 241: 592-606.
doi: 10.1111/nph.v241.2
[47] Liu Y Y, Xiao L N, Chi J X, et al. Genome-wide identification and expression of SAUR gene family in peanut (Arachis hypogaea L.) and functional identification of AhSAUR3 in drought tolerance. BMC Plant Biol, 2022, 22: 178.
doi: 10.1186/s12870-022-03564-2
[48] Chen F, Wang R J, Wu C J, et al. SAUR8, a small auxin-up RNA gene in poplar, confers drought tolerance to transgenic Arabidopsis plants. Gene, 2022, 837: 146692.
doi: 10.1016/j.gene.2022.146692
[49] Guo Y, Jiang Q Y, Hu Z, et al. Function of the auxin-responsive gene TaSAUR75 under salt and drought stress. Crop J, 2018, 6: 181-190.
doi: 10.1016/j.cj.2017.08.005
[1] Hu Cheng-Zhen, Gao Wei-Dong, Kong Bin-Xue, Wang Jian-Fei, Che Zhuo, Yang De-Long, Chen Tao. Genome-wide identification of the TaAPC11 gene family in wheat and functional characterization of TaAPC11-5B in drought stress responses [J]. Acta Agronomica Sinica, 2026, 52(1): 148-164.
[2] Tian Jia-Chun, Ge Xia, Li Shou-Qiang, Li Mei, Tian Shi-Long, Zhang Ya-Qian, Cheng Jian-Xin, Li Yu-Mei. Mechanism of low O2 and high CO2 storage environment delaying aging of potato tuber [J]. Acta Agronomica Sinica, 2026, 52(1): 262-278.
[3] Kong Na, Liu Tao, Liu Wen-Ting, Chen Gang, Wen Li-Chao, Deng Zhi-Chao, Guo Mei, Li Wei, Guo Yong-Feng. Cloning of the NtCEP7 gene in tobacco and functional analysis of its encoded peptide in seedling-stage drought resistance [J]. Acta Agronomica Sinica, 2026, 52(1): 249-261.
[4] Liu Hai-Bo, Zhang Lei, Wang Li-Qi, Shi Xiao-Li, Zhou Wen-Ying, Cui Guo-Xian, She Wei. Functional study of the BnGCL1 gene in ramie (Boehmeria nivea L.) in response to drought stress [J]. Acta Agronomica Sinica, 2026, 52(1): 14-27.
[5] Ji Xuan-Tong, Bian Chun-Song, Jin Li-Ping, Li Sen, Qin Jun-Hong, Li Guang-Cun. Responses of root-associated microorganisms of different drought-tolerant potato varieties to drought conditions [J]. Acta Agronomica Sinica, 2026, 52(1): 165-177.
[6] ZHUO Feng-Qi, TANG Zhen-San, LEI Yu-Jun, CHENG Li-Xiang, ZHAO Tian-Tian, LYU Tai, YANG Chen, ZHANG Feng. Screening of low glycemic potato varieties (lines) based on cooking methods and regeneration temperature [J]. Acta Agronomica Sinica, 2025, 51(9): 2538-2546.
[7] ZHU Jin-Cheng, YANG Qiu-Hua, CHENG Li-Xiang, LI Wen-Li, SHI Ming-Ming, LI Hui-Xia, ZHANG Feng. Screening of potato germplasm for resistance to Meloidogyne incognita and analysis of related physiological responses [J]. Acta Agronomica Sinica, 2025, 51(9): 2307-2317.
[8] YIN Li-Na, ZHANG Rui, CHEN Guo-Huan, BAI Lei, LI Jun, GUO Hua-Chun, YANG Fang. Comparison of wound healing capacity of tubers of different potato varieties [J]. Acta Agronomica Sinica, 2025, 51(9): 2399-2411.
[9] HU Run-Hui, WANG Jun-Cheng, SI Er-Jing, ZHANG Hong, LI Xing-Mao, MA Xiao-Le, MENG Ya-Xiong, WANG Hua-Jun, LIU Qing, YAO Li-Rong, LI Bao-Chun. Screening of drought and salt tolerant germplasm during wheat seedling stage and comprehensive evaluation of drought and salt tolerance [J]. Acta Agronomica Sinica, 2025, 51(9): 2371-2386.
[10] ZHANG Hai-Yan, XIE Bei-Tao, DONG Shun-Xu, ZHANG Li-Ming, DUAN Wen-Xue. Effects of different types and ratios of water-soluble fertilizers on the yield and quality of table-use sweet potato [Ipomoea batatas (L.) Lam.] under drip irrigation [J]. Acta Agronomica Sinica, 2025, 51(9): 2485-2500.
[11] HE Peng-Xu, YAO Li-Rong, CHEN Yuan-Ling, YAN Yan, ZHANG Hong, WANG Jun-Cheng, LI Bao-Chun, YANG Ke, SI Er-Jing, MENG Ya-Xiong, MA Xiao-Le, WANG Hua-Jun. Differences and correlations in physiological and molecular mechanisms of barley germination under drought stress [J]. Acta Agronomica Sinica, 2025, 51(9): 2412-2432.
[12] JIA Xiao-Xia, QI En-Fang, WEN Guo-Hong, MA Sheng, HUANG Wei, LYU He-Ping, LI Jian-Wu, QU Ya-Ying, DING Ning. Establishment of regeneration system and creation of glufosinate-resistant germplasm for early-mid maturing potato ‘Longshu 20’ [J]. Acta Agronomica Sinica, 2025, 51(9): 2285-2294.
[13] MENG Ran, LI Zhao-Jia, FENG Wei, CHEN Yue, LIU Lu-Ping, YANG Chun-Yan, LU Xue-Lin, WANG Xiu-Ping. Comprehensive evaluation of salt tolerance at different growth stages of soybean and screening of salt-tolerant germplasm [J]. Acta Agronomica Sinica, 2025, 51(8): 1991-2008.
[14] LI Qiu-Yun, LI Shi-Gui, FAN Jun-Liang, LIU Hao-Tian, ZHAO Xiao-Bin, LYU Shuo, WANG Yan-Hao, YUE Yun, ZHANG Ning, SI Huai-Jun. Effects of ionic zinc and nano-zinc on physiological characteristics, yield, and quality of potato [J]. Acta Agronomica Sinica, 2025, 51(7): 1838-1849.
[15] YIN Yu-Meng, WANG Yan-Nan, KANG Zhi-He, QIAO Shou-Chen, BIAN Qian-Qian, LI Ya-Wei, CAO Guo-Zheng, ZHAO Guo-Rui, XU Dan-Dan, YANG Yu-Feng. Cloning and functional analysis of glutathione S-transferase gene IbGSTU7 in sweetpotato [J]. Acta Agronomica Sinica, 2025, 51(7): 1736-1746.
Viewed
Full text


Abstract

Cited

  Shared   
  Discussed   
No Suggested Reading articles found!