作物学报 ›› 2025, Vol. 51 ›› Issue (10): 2759-2774.doi: 10.3724/SP.J.1006.2025.52006
王晶卿(), 陈惠哲, 兰天明, 李慧, 唐承翰, 马昕伶, 张玉屏(
), 王亚梁(
)
WANG Jing-Qing(), CHEN Hui-Zhe, LAN Tian-Ming, LI Hui, TANG Cheng-Han, MA Xin-Ling, ZHANG Yu-Ping(
), WANG Ya-Liang(
)
摘要:
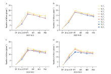
大穗型籼粳杂交稻颖花容易退化, 为明晰氮素对籼粳杂交稻颖花退化的缓解效应及其调控作用, 本研究以大穗型籼粳杂交稻甬优538为试验材料, 于2023年和2024年进行试验, 设置S1 (4月20日播种)、S2 (5月10日播种)和S3 (5月30日播种) 3个播期, 180 kg hm-2 (N12)、270 kg hm-2 (N18) 2种总施氮量, 以及T1 (在叶龄余数3.5施用100%穗肥)、T2 (在叶龄余数1.5施用100%穗肥)和T3 (在叶龄余数3.5施用50%穗肥+叶龄余数1.5施用50%穗肥) 3种穗肥施用方式, 分析比较不同处理下产量与产量构成、分蘖动态、颖花分化与退化、干物质积累和单朵颖花干物质占比变化。结果表明, (1) S1播期下N18T2处理的产量最高, 较S3播期下N12T1处理的产量平均提高46.83%; 其中播期对结实率影响最为显著, 其次影响每穗粒数; 不同施氮量对有效穗数和穗粒数有显著影响, N18处理较N12处理的穗粒数平均提高14.44%, 有效穗数平均提高12.88%。(2) 不同施氮量和穗肥施用时间对每穗粒数的影响主要在于颖花发育, N18处理较N12处理的氮含量平均提高22.51%, 2023年和2024年颖花分化数分别提高12.12%和15.35%, 现存颖花数分别提高16.00%和13.60%。穗肥施用时间后移可有效缓解颖花退化, 其中N12T3处理平均提高植株氮含量31.58%, N18T2处理平均提高26.29%; T2时期施用保花肥, 颖花退化率较T1平均减少18.20%, 较T3平均减少5.48%。(3) 颖花发育直接依赖于干物质积累, N18处理较N12处理, 穗分化始期干物质积累量(DM-SDI)显著提高6.96%, 穗发育期间干物质积累量(DM-SD)显著提高15.08%, 颖花分化数与DM-SDI、DM-SD呈正相关关系, 干物质积累越多, 颖花分化数越多。(4) 不同穗肥施用时间显著影响穗分化期间单朵颖花的干物质占比(SSDM-SD), T2>T3>T1; 颖花退化与SSDM-SDI、SSDM-SD呈负相关关系, 单朵颖花干物质越小, 颖花退化率越高。综上, 合理的氮素穗肥通过调控干物质积累来影响籼粳杂交稻颖花形成, 叶龄余数1.5时增施穗肥有利于提高单朵颖花的干物质占比, 支撑颖花生存和发育, 有效缓解颖花退化, 增加每穗粒数。在实际生产中, 可以适当提早播种, 在减少氮肥施用的基础上优化氮肥运筹(施用促花肥和保花肥), 可以延长营养生长期并提高单朵颖花干物质占比, 促进颖花分化的同时减少颖花退化, 进而达到籼粳杂交稻大穗栽培的目标。
[1] | 斯华敏, 刘文真, 付亚萍, 孙宗修, 胡国成. 我国两系杂交水稻发展的现状和建议. 中国水稻科学, 2011, 25: 544-552. |
Si H M, Liu W Z, Fu Y P, Sun Z X, Hu G C. Current situation and suggestions for development of two-line hybrid rice in China. Chin J Rice Sci, 2011, 25: 544-552 (in Chinese with English abstract). | |
[2] |
韦还和, 张徐彬, 葛佳琳, 孟天瑶, 陆钰, 李心月, 陶源, 丁恩浩, 陈英龙, 戴其根. 甬优籼粳杂交稻栽后地上部干物质积累动态与特征分析. 作物学报, 2021, 47: 546-555.
doi: 10.3724/SP.J.1006.2021.02033 |
Wei H H, Zhang X B, Ge J L, Meng T Y, Lu Y, Li X Y, Tao Y, Ding E H, Chen Y L, Dai Q G. Dynamics in above-ground biomass accumulation after transplanting and its characteristic analysis in Yongyou Japonica/indica hybrids. Acta Agron Sin, 2021, 47: 546-555 (in Chinese with English abstract). | |
[3] | Fu G F, Tao L X, Song J, Wang X, Cao L Y, Cheng S H.Responses of yield characteristics to high temperature during flowering stage in hybrid rice Guodao 6. Rice Sci, 2008, 15: 215-222. |
[4] | Zhang X W, Li J P, Liu A L, Zou J, Zhou X Y, Xiang J H, Rerksiri W, Peng Y, Xiong X Y, Chen X B. Expression profile in rice panicle: insights into heat response mechanism at reproductive stage. PLoS One, 2012, 7: e49652. |
[5] | Liu K, Zhou S Q, Li S Y, Wang J, Wang W L, Zhang W Y, Zhang H, Gu J F, Yang J C, Liu L J. Differences and mechanisms of post-anthesis dry matter accumulation in rice varieties with different yield levels. Crop Environ, 2022, 1: 262-272. |
[6] | Kobata T, Yoshida H, Masiko U, Honda T. Spikelet sterility is associated with a lack of assimilate in high-spikelet-number rice. Agron J, 2013, 105: 1821-1831. |
[7] | Yao Y L, Yamamoto Y, Wang Y L, Yoshida T, Miyazaki A, Nitta Y, Cai J Z. Role of nitrogen regulation in sink and source formation of high-yielding rice cultivars. Soil Sci Plant Nutr, 2000, 46: 825-834. |
[8] |
Gibson K, Park J S, Nagai Y, Hwang S K, Cho Y C, Roh K H, Lee S M, Kim D H, Choi S B, Ito H, et al. Exploiting leaf starch synthesis as a transient sink to elevate photosynthesis, plant productivity and yields. Plant Sci, 2011, 181: 275-281.
doi: 10.1016/j.plantsci.2011.06.001 pmid: 21763538 |
[9] | 李刚华, 王惠芝, 王绍华, 王强盛, 郑永美, 丁艳峰. 穗肥对水稻穗分化期碳氮代谢及颖花数的影响. 南京农业大学学报, 2010, 33(1): 1-5. |
Li G H, Wang H Z, Wang S H, Wang Q S, Zheng Y M, Ding Y F. Effect of nitrogen applied at rice panicle initiation stage on carbon and nitrogen metabolism and spikelets per panicle. J Nanjing Agric Univ, 2010, 33(1): 1-5 (in Chinese with English abstract). | |
[10] | Ding C Q, Wang Y, Chang Z Y, You S L, Liu Z H, Wang S H, Ding Y F. Comparative proteomic analysis reveals nitrogen fertilizer increases spikelet number per panicle in rice by repressing protein degradation and 14-3-3 proteins. J Plant Growth Regul, 2016, 35: 744-754. |
[11] | 李国辉, 崔克辉. 氮对水稻叶蔗糖磷酸合成酶的影响及其与同化物积累和产量的关系. 植物生理学报, 2018, 54: 1195-1204. |
Li G H, Cui K H. The effect of nitrogen on leaf sucrose phosphate synthase and its relationships with assimilate accumulation and yield in rice. Plant Physiol J, 2018, 54: 1195-1204 (in Chinese with English abstract). | |
[12] | 张文地, 董明辉, 李扬, 宋云生, 顾俊荣. 施氮量对水稻非结构性碳水化合物积累分配与颖花形成的影响. 扬州大学学报(农业与生命科学版), 2023, 44(1): 29-39. |
Zhang W D, Dong M H, Li Y, Song Y S, Gu J R. Effects of nitrogen application rate on accumulation and distribution of non-structural carbohydrates and spikelets formation in rice. J Yangzhou Univ (Agric Life Sci Edn), 2023, 44(1): 29-39 (in Chinese with English abstract). | |
[13] | Zhang Z J, Chu G, Liu L J, Wang Z Q, Wang X M, Zhang H, Yang J C, Zhang J H. Mid-season nitrogen application strategies for rice varieties differing in panicle size. Field Crops Res, 2013, 150: 9-18. |
[14] | 庞诚. 稻作的理论与技术. 北京: 农业出版社, 1966. |
Pang C. Theory and Technology of Rice Cultivation. Beijing: Agriculture Press, 1966 (in Chinese). | |
[15] | 蔡嘉鑫, 王岩, 唐闯, 周苗, 景秀, 曾鑫, 胡雅杰, 邢志鹏, 许轲, 张洪程, 等. 播期对水稻产量、品质影响及栽培调控研究进展. 江苏农业科学, 2022, 50(23): 1-8. |
Cai J X, Wang Y, Tang C, Zhou M, Jing X, Zeng X, Hu Y J, Xing Z P, Xu K, Zhang H C, et al. Research progress on the effects of sowing date on rice yield and quality and cultivation regulation. Jiangsu Agric Sci, 2022, 50(23): 1-8 (in Chinese). | |
[16] | 柳军, 王学林, 张玉龙, 邓斌, 王志, 曾凯. 播期对江淮一季稻生长发育及产量形成的影响. 江苏农业科学, 2020, 48(22): 49-55. |
Liu J, Wang X L, Zhang Y L, Deng B, Wang Z, Zeng K. The influence of sowing date on the growth and development and yield formation of single-cropping rice in the Jianghuai region. Jiangsu Agric Sci, 2020, 48(22): 49-55 (in Chinese). | |
[17] | 段里成, 郭瑞鸽, 蔡哲, 杨军, 龚琦, 张崇华. 不同播期下高温对江西早稻灌浆结实及产量的影响. 中国农业气象, 2024, 45: 584-593. |
Duan L C, Guo R G, Cai Z, Yang J, Gong Q, Zhang C H. Effects of high temperature on grain filling and yield of early season rice under different sowing dates in Jiangxi. Chin J Agrometeorol, 2024, 45: 584-593 (in Chinese with English abstract).
doi: 10.3969/j.issn.1000-6362.2024.06.002 |
|
[18] | 王夫玉, 张洪程, 赵新华, 段祥茂, 丁艳锋, 黄丕生, 鲁光荣, 王根球. 温光对水稻籽粒充实度的影响. 中国农业科学, 2001, 34: 396-402. |
Wang F Y, Zhang H C, Zhao X H, Duan X M, Ding Y F, Huang P S, Lu G R, Wang G Q. Study on the effect of temperature and illumination on grade of filled grain in rice. Sci Agric Sin, 2001, 34: 396-402 (in Chinese with English abstract). | |
[19] | 袁继超, 刘从军, 朱庆森, 李俊青, 杨建昌. 播期对水稻籽粒灌浆特性的影响. 西南农业学报, 2004, 17(2): 164-168. |
Yuan J C, Liu C J, Zhu Q S, Li J Q, Yang J C. Effects of sowing date on grain-filling properties of rice. Southwest China J Agric Sci, 2004, 17(2): 164-168 (in Chinese with English abstract). | |
[20] | Bautista E U, Suministrado D, Koike M. Mechanical deep placement of fertilizer in puddled soils. Evaluation of nitrogen losses and yield of transplanted and direct-seeded rice. J Jpn Soc Agric, 2000, 62: 146-157. |
[21] | 李秀芬, 贾燕, 黄元才, 臧鑫. 播栽期对水稻产量和产量构成因素及生育期的影响. 生态学杂志, 2004, 23(5): 98-100. |
Li X F, Jia Y, Huang Y C, Zang X. Effects of seeding time on grain yield, yield components and growth duration in different rice varieties. Chin J Ecol, 2004, 23(5): 98-100 (in Chinese with English abstract). | |
[22] | 李健, 薛杨, 景元书. 播期影响下杂交早稻主要农艺性状与产量的多重分析. 江苏农业科学, 2016, 44(7): 90-94. |
Li J, Xue Y, Jing Y S. Multiple analysis of main agronomic characters and yield of early hybrid rice under the influence of sowing date. Jiangsu Agric Sci, 2016, 44(7): 90-94 (in Chinese). | |
[23] |
王亚梁, 张玉屏, 向镜, 王磊, 陈惠哲, 张义凯, 张文倩, 朱德峰. 籼稻颖花分化与退化对不同播期温光的响应. 应用生态学报, 2017, 28: 3571-3580.
doi: 10.13287/j.1001-9332.201711.010 |
Wang Y L, Zhang Y P, Xiang J, Wang L, Chen H Z, Zhang Y K, Zhang W Q, Zhu D F. Response of indica rice spikelet differentiation and degeneration to air temperature and solar radiation of different sowing dates. Chin J Appl Ecol, 2017, 28: 3571-3580 (in Chinese with English abstract). | |
[24] |
肖大康, 胡仁, 韩天富, 张卫峰, 侯俊, 任科宇. 氮肥用量和运筹对我国水稻产量及其构成因子影响的整合分析. 中国水稻科学, 2023, 37: 529-542.
doi: 10.16819/j.1001-7216.2023.221111 |
Xiao D K, Hu R, Han T F, Zhang W F, Hou J, Ren K Y. Effects of nitrogen fertilizer consumption and operation on rice yield and its components in China: a meta-analysis. Chin J Rice Sci, 2023, 37: 529-542 (in Chinese with English abstract). | |
[25] | 杨军, 陈小荣, 朱昌兰, 彭小松, 贺晓鹏, 傅军如, 欧阳林娟, 边建民, 胡丽芳, 贺浩华. 氮肥和孕穗后期高温对两个早稻品种产量和生理特性的影响. 中国水稻科学, 2014, 28: 523-533. |
Yang J, Chen X R, Zhu C L, Peng X S, He X P, Fu J R, Ouyang L J, Bian J M, Hu L F, He H H. Effects of nitrogen level and high temperature at late booting stage on yield and physiological characteristics of two early rice cultivars. Chin J Rice Sci, 2014, 28: 523-533 (in Chinese with English abstract).
doi: 10.3969/j.issn.1001-7216.2014.05.010 |
|
[26] | 杨振玉, 高勇, 赵迎春, 魏耀林, 华泽田, 张忠旭, 高日玲. 水稻籼粳亚种间杂种优势利用研究进展. 作物学报, 1996, 22: 422-429. |
Yang Z Y, Gao Y, Zhao Y C, Wei Y L, Hua Z T, Zhang Z X, Gao R L. Progress in research on utilization of vigor in hybrids between indica and japonica rice subspecies. Acta Agron Sin, 1996, 22: 422-429 (in Chinese with English abstract). | |
[27] | Haque M M, Pramanik H R, Biswas J K, Iftekharuddaula K M, Hasanuzzaman M. Comparative performance of hybrid and elite inbred rice varieties with respect to their source-sink relationship. Sci World J, 2015, 2015: 1-11. |
[28] | Sui B, Feng X M, Tian G L, Hu X Y, Shen Q R, Guo S W. Optimizing nitrogen supply increases rice yield and nitrogen use efficiency by regulating yield formation factors. Field Crops Res, 2013, 150: 99-107. |
[29] | Ye C, Ma H Y, Huang X, Xu C M, Chen S, Chu G, Zhang X F, Wang D Y. Effects of increasing panicle-stage N on yield and N use efficiency of indica rice and its relationship with soil fertility. Crop J, 2022, 10: 1784-1797. |
[30] | 张运波, 盛添. 氮肥调控对不同穗型水稻品种穗部性状的影响. 长江大学学报(自然科学版), 网络首发[2024-04-22], https://doi.org/10.16772/j.cnki.1673-1409.20240418.009. |
Zhang Y B, Sheng T. Effects of nitrogen fertilizer regulation on panicle traits of different panicle types of rice. J Yangtze Univ (Nat Sci Edn), Published online [2024-04-22], https://doi.org/10.16772/j.cnki.1673-1409.20240418.009 (in Chinese with English abstract). | |
[31] | 成臣, 曾勇军, 王祺, 谭雪明, 商庆银, 曾研华, 石庆华, 金霄. 氮肥运筹对南方双季晚粳稻产量及品质的影响. 植物营养与肥料学报, 2018, 24: 1386-1395. |
Cheng C, Zeng Y J, Wang Q, Tan X M, Shang Q Y, Zeng Y H, Shi Q H, Jin X. Effects of nitrogen application regime on Japonica rice yield and quality of the late rice in the double rice system in Southern China. J Plant Nutr Fert, 2018, 24: 1386-1395 (in Chinese with English abstract). | |
[32] |
秦俭, 杨志远, 孙永健, 徐徽, 吕腾飞, 代邹, 郑家奎, 蒋开锋, 马均. 氮素穗肥运筹对两个杂交中籼稻叶片形态、光合生产及产量的影响. 中国水稻科学, 2017, 31: 391-399.
doi: 10.16819/j.1001-7216.2017.6146 391 |
Qin J, Yang Z Y, Sun Y J, Xu H, Lyu T F, Dai Z, Zheng J K, Jiang K F, Ma J. Effects of nitrogen topdressing for panicle initiation on leaf morphology, photosynthetic production and grain yield of two middle-season hybrid rice. Chin J Rice Sci, 2017, 31: 391-399 (in Chinese with English abstract).
doi: 10.16819/j.1001-7216.2017.6146 391 |
|
[33] |
王夏雯, 王绍华, 李刚华, 王强盛, 刘正辉, 余翔, 丁艳锋. 氮素穗肥对水稻幼穗细胞分裂素和生长素浓度的影响及其与颖花发育的关系. 作物学报, 2008, 34: 2184-2189.
doi: 10.3724/SP.J.1006.2008.02184 |
Wang X W, Wang S H, Li G H, Wang Q S, Liu Z H, Yu X, Ding Y F. Effect of panicle nitrogen fertilizer on concentrations of cytokinin and auxin in young panicles of Japonica rice and its relation with spikelet development. Acta Agron Sin, 2008, 34: 2184-2189 (in Chinese with English abstract). | |
[34] | 乔中英, 陈培峰, 韩立宇, 顾俊荣, 季红娟, 董明辉. 氮肥运筹与栽插密度对粳稻颖花和产量形成的影响. 扬州大学学报(农业与生命科学版), 2016, 37(2): 56-62. |
Qiao Z Y, Chen P F, Han L Y, Gu J R, Ji H J, Dong M H. Effects of nitrogen managements and transplanting density on spikelets and yield formation of japonicarice varieties. J Yangzhou Univ (Agric Life Sci Edn), 2016, 37(2): 56-62 (in Chinese with English abstract). | |
[35] | 王绍华, 曹卫星, 丁艳锋, 刘胜环. 库大小对水稻不同叶位叶片氮代谢的影响. 作物学报, 2004, 30: 821-825. |
Wang S H, Cao W X, Ding Y F, Liu S H. Effects of sink size on nitrogen metabolism in different position leaves of rice. Acta Agron Sin, 2004, 30: 821-825 (in Chinese with English abstract). | |
[36] | 周驰燕, 李国辉, 许轲, 郭保卫, 戴其根, 霍中洋, 魏海燕, 张洪程. 水稻茎鞘非结构性碳水化合物转运机理及栽培调控研究进展. 生命科学, 2021, 33(1): 111-120. |
Zhou C Y, Li G H, Xu K, Guo B W, Dai Q G, Huo Z Y, Wei H Y, Zhang H C. Advances in translocation mechanism and cultivation regulation of nonstructural carbohydrate in rice stem and sheath. Chin Bull Life Sci, 2021, 33(1): 111-120 (in Chinese with English abstract). | |
[37] | 张国, 崔克辉. 水稻茎鞘非结构性碳水化合物积累与转运研究进展. 植物生理学报, 2020, 56: 1127-1136. |
Zhang G, Cui K H. Research advances on accumulation and translocation of stem non-structural carbohydrates in rice. Plant Physiol J, 2020, 56: 1127-1136 (in Chinese with English abstract). | |
[38] | 姚友礼, 王余龙, 蔡建中, 李昙云, 徐加宽, 卞悦. 水稻大穗形成机理的研究: 穗肥施用时期对每穗颖花分化、退化和现存数的影响. 扬州大学学报(农业与生命科学版), 1997, 18(4): 29-35. |
Yao Y L, Wang Y L, Cai J Z, Li T Y, Xu J K, Bian Y. Study on the formation mechanism of big panicle in rice: Effect of panicle fertilizer application period on the differentiation, degeneration and existing number of spikelets per panicle. J Yangzhou Univ (Agric Life Sci Edn), 1997, 18(4): 29-35 (in Chinese). |
[1] | 杨姝, 白伟, 蔡倩, 杜桂娟. 玉米‖紫花苜蓿间作群体光分布特征及对植物性状和产量的影响[J]. 作物学报, 2025, 51(9): 2514-2526. |
[2] | 郭保卫, 王旺, 王开, 王岩, 曾鑫, 景秀, 王晶, 倪新华, 许轲, 张洪程. 长江中下游两类型糯稻高产群体动态特征及超高产形成规律[J]. 作物学报, 2025, 51(9): 2433-2453. |
[3] | 付江鹏, 柳发财, 闫宝琴, 王永栋, 李利利, 魏玮, 周英霞. 控释肥替代普通尿素对旱作高粱干物质积累分配、产量和品质的影响[J]. 作物学报, 2025, 51(9): 2501-2513. |
[4] | 张海燕, 解备涛, 董顺旭, 张立明, 段文学. 滴灌条件下不同水溶肥种类和配比对鲜食甘薯产量和品质的影响[J]. 作物学报, 2025, 51(9): 2485-2500. |
[5] | 杨婷婷, 陈娟, ABDUL Rehman, 李婧, 闫素辉, 汪建来, 李文阳. 花后弱光对软质小麦干物质积累转运、籽粒产量和淀粉品质的影响[J]. 作物学报, 2025, 51(8): 2204-2219. |
[6] | 闫喆林, 任强, 樊志龙, 殷文, 孙亚丽, 范虹, 何蔚, 胡发龙, 闫丽娟, 柴强. 氮肥后移优化绿洲灌区小麦间作玉米种间关系提高氮素利用效率[J]. 作物学报, 2025, 51(8): 2190-2203. |
[7] | 樊友众, 王先领, 王宗铠, 王春云, 王天尧, 谢捷, 蒯婕, 汪波, 王晶, 徐正华, 赵杰, 周广生. 秸秆还田耦合氮肥运筹对稻茬油菜光合性能及产量的影响[J]. 作物学报, 2025, 51(8): 2139-2151. |
[8] | 尤根基, 谢昊, 梁毓文, 李龙, 王玉茹, 蒋晨炀, 郭剑, 李广浩, 陆大雷. 氮肥减施措施对江淮春玉米产量和氮素吸收利用的影响[J]. 作物学报, 2025, 51(8): 2152-2163. |
[9] | 李宜谦, 徐守振, 刘萍, 马麒, 谢斌, 陈红. 基于40K SNP芯片的陆地棉产量构成因素全基因组关联分析及单铃重位点挖掘[J]. 作物学报, 2025, 51(8): 2128-2138. |
[10] | 李秋云, 李世贵, 范军亮, 刘昊天, 赵晓斌, 吕硕, 王艳浩, 岳云, 张宁, 司怀军. 离子锌和纳米锌对马铃薯生理特性、产量及品质的影响[J]. 作物学报, 2025, 51(7): 1838-1849. |
[11] | 陈如雪, 孙丽芳, 张芯源, 牟海萌, 张永新, 袁丽雪, 彭仕乐, 王壮壮, 王永华. 秸秆还田与微生物菌剂配施对冬小麦旗叶碳氮代谢及产量形成的影响[J]. 作物学报, 2025, 51(7): 1901-1913. |
[12] | 霍建喆, 于爱忠, 王玉珑, 王鹏飞, 尹波, 刘亚龙, 张冬玲, 姜科强, 庞小能, 王凤. 有机肥替代化肥对绿洲灌区甜玉米产量、品质及氮素利用的影响[J]. 作物学报, 2025, 51(7): 1887-1900. |
[13] | 董伟进, 张亚封, 李启云, 路杨, 张正坤, 隋丽. CO2浓度升高条件下球孢白僵菌定殖对玉米生长及产量的影响[J]. 作物学报, 2025, 51(7): 1874-1886. |
[14] | 吴柳格, 陈坚, 张鑫, 邓艾兴, 宋振伟, 郑成岩, 张卫建. 近二十年国审冬小麦品种的产量与品质性状变化趋势研究[J]. 作物学报, 2025, 51(7): 1814-1826. |
[15] | 赵佳雯, 李子洪, 欧星雨, 王伊朗, 丁小飞, 梁乐瑶, 丁文金, 张海鹏, 马尚宇, 樊永惠, 黄正来, 张文静. 氮肥与钾肥运筹对弱筋小麦籽粒产量、品质的影响[J]. 作物学报, 2025, 51(7): 1914-1933. |
|