欢迎访问作物学报,今天是

作物学报 ›› 2025, Vol. 51 ›› Issue (12): 3292-3303.doi: 10.3724/SP.J.1006.2025.53036

• 耕作栽培·生理生化 • 上一篇    下一篇

玉米配置不同豆科作物对间作体系产量稳定性的影响

王彦婷1,2(), 逄蕾1,*(), 赵建华2,*(), 郑浩飞1,2, 麻文浩1   

  1. 1干旱生境作物学国家重点实验室 / 甘肃农业大学农学院, 甘肃兰州 730070
    2甘肃省农业科学院土壤肥料与节水农业研究所, 甘肃兰州 730070
  • 收稿日期:2025-06-06 接受日期:2025-09-10 出版日期:2025-12-12 网络出版日期:2025-09-23
  • 通讯作者: *逄蕾, E-mail: 125530457@qq.com;赵建华, E-mail: zhaojianhuatt@163.com
  • 作者简介:E-mail: 3163856831@qq.com
  • 基金资助:
    本研究由国家自然科学基金项目(32060261);本研究由国家自然科学基金项目(32160525);永登县庄浪河(柳树镇-红城镇)段土地整治和生态修复综合治理项目(GSAU- JSYF-2024-22)

Effects of different legume configurations with maize on yield stability of intercropping systems

WANG Yan-Ting1,2(), PANG Lei1,*(), ZHAO Jian-Hua2,*(), ZHENG Hao-Fei1,2, MA Wen-Hao1   

  1. 1State Key Laboratory of Arid Habit Crop Science / Agronomy College, Gansu Agricultural University, Lanzhou 730070, Gansu, China
    2Institute of Soil, Fertilizer and Water-Saving Agriculture, Gansu Academy of Agricultural Sciences, Lanzhou 730070, Gansu, China
  • Received:2025-06-06 Accepted:2025-09-10 Published:2025-12-12 Published online:2025-09-23
  • Contact: *E-mail: 125530457@qq.com;E-mail: zhaojianhuatt@163.com
  • Supported by:
    National Natural Science Foundation of China(32060261);National Natural Science Foundation of China(32160525);Comprehensive Project for Land Consolidation and Ecological Restoration of the Zhuanglang River Section (Liushu Town-Hongcheng Town) in Yongdeng County(GSAU-JSYF-2024-22)

摘要: 为探究玉米配置不同豆科作物对间作体系产量及其稳定性的影响, 于2017年在甘肃省农业科学院张掖节水农业试验站进行4年大田试验, 试验为单因素随机区组设计, 设玉米‖豌豆(maize ‖ pea, M‖P)、玉米‖蚕豆(maize ‖ faba bean, M‖F)及玉米‖大豆(maize ‖ soybean, M‖S) 3种间作模式及配对作物单作, 测定籽粒产量并计算超产率、相对相互作用指数及作物产量稳定性等相关指标。结果表明, 3种玉米‖豆科作物均能提高豆科作物产量稳定性, 其中玉米‖大豆时体系产量稳定性最高, 间作蚕豆较单作产量稳定性增幅最高。通过计算豆科作物产量稳定性发现, 间作较单作提高蚕豆产量稳定性184.18%, M‖P和M‖S较单作产量稳定性有所提高但未达显著水平。分析玉米产量稳定性发现, M‖P中间作玉米较单作产量稳定性降低62.21%, M‖F和M‖S中玉米较单作产量稳定性均有所提高, 但并无显著差异。玉米‖豆科作物有显著间作产量优势, 其中M‖S中玉米增产最高, 豆科作物中蚕豆增产最高。具体而言, 玉米‖豆科作物较单作加权产量平均提高16.71%, 其中M‖S、M‖P和M‖F分别增产27.02%、16.75%和6.80%。相较单作豆科作物, 间作蚕豆、豌豆增产, 大豆减产, 总体表现为蚕豆>豌豆>大豆, 分别为82.24%、71.48%和-14.63%。不同间作体系玉米超产率表现为M‖S>M‖P>M‖F, 分别为32.92%、13.47%和0.30%。计算相对相互作用指数发现, M‖P、M‖F和M‖S的玉米相对相互作用指数(relative interaction index-maize, RIIM)值分别为0.05、-0.01和0.14, 豆科作物相对相互作用指数(relative interaction index-legumes, RIIL)值分别为0.25、0.28和-0.08; 在M‖S中玉米较大豆具有竞争优势, M‖F中蚕豆为优势作物, 而M‖P中豌豆和玉米表现为相互促进作用。同时研究发现时间生态位分离程度与豆科作物超产率和RIIL呈正相关, 与RIIM呈负相关; 体系超产率与RIIM呈极显著正相关, 玉米和豆科作物的超产率与RIIM和RIIL均呈极显著正相关。因此, 在河西走廊中部, 玉米‖大豆是保障作物高产、稳产的多样化种植模式。

关键词: 间作, 时间生态位分离, 玉米‖豆科间作, 产量稳定性, 种间相互作用

Abstract:

To investigate the effects of intercropping maize with different leguminous crops on yield and system stability, a four-year field experiment was conducted starting in 2017 at the Zhangye Water-Saving Agriculture Experiment Station, Gansu Academy of Agricultural Sciences. The study employed a single-factor randomized block design, including three intercropping patterns—maize ‖ pea (M‖P), maize ‖ faba bean (M‖F), and maize ‖ soybean (M‖S)—alongside corresponding monocultures. Grain yield was measured, and indicators such as overyielding, relative interaction index, and crop yield stability were calculated. Results showed that all three maize ‖ legume systems improved the yield stability of the leguminous crops. Among them, M‖S exhibited the highest legume yield stability, while M‖F showed the greatest improvement in legume yield stability compared to monoculture, with an increase of 184.18%. The yield stability of M‖P and M‖S was higher than that of monoculture, but these increases were not statistically significant. Analysis of maize yield stability revealed that maize in M‖P had 62.21% lower stability compared to monoculture. In contrast, maize yield stability in M‖F and M‖S improved, although no significant differences were observed among the three intercropping systems. Yield analysis demonstrated significant intercropping advantages for both maize and legumes. Maize yield increased most in M‖S, while faba bean had the highest legume yield increase. On average, the weighted yield of maize and legumes increased by 16.71% compared to monoculture. Specifically, yields in M‖S, M‖P, and M‖F increased by 27.02%, 16.75%, and 6.80%, respectively. Compared to monoculture legumes, intercropping increased yields of faba bean and pea by 82.24% and 71.48%, respectively, while soybean yield decreased by 14.63%, showing an overall performance ranking of faba bean > pea > soybean. Overyielding of maize across intercropping systems followed the order M‖S > M‖P > M‖F, with increases of 32.92%, 13.47%, and 0.30%, respectively. Relative Interaction Index analysis showed that the RIIM (relative interaction index for maize) values for M‖P, M‖F, and M‖S were 0.05, -0.01, and 0.14, respectively, while the RIIL (relative interaction index for legumes) values were 0.25, 0.28, and -0.08. Maize had a competitive advantage over soybean in M‖S; faba bean was dominant in M‖F; and M‖P displayed mutual promotion between maize and pea. Additionally, temporal niche separation was positively correlated with both overyielding and RIIL in legumes, and negatively correlated with RIIM. System-wide overyielding was significantly positively correlated with RIIM, and the overyielding of both maize and legumes was strongly positively correlated with both RIIM and RIIL. Therefore, intercropping maize with soybean presents a diversified planting model that ensures high and stable yields in the central region of the Hexi Corridor.

Key words: intercropping, temporal niche differentiation, maize ‖ legumes intercropping, crop yield stability, species interaction

图1

作物种植示意图 A: 单作玉米种植示意图; B: 单作豌豆种植示意图; C: 玉米‖豌豆间作种植示意图; D: 单作蚕豆(大豆)种植示意图; E: 玉米‖蚕豆(大豆)间作种植示意图。"

表1

2017-2020年作物种植收获时间及时间生态位分离"

年份
Year
种植模式
Planting pattern
作物
Crop
播种日期
Sowing date (month/day)
收获日期
Harvest date (month/day)
全生育期天数
Ptotal (d)
共生期天数
Poverlap (d)
时间生态位分离
TND
2017 M‖P 豌豆Pea 04/05 07/05 174 71 0.592
M‖F 蚕豆Faba bean 04/05 08/06 174 103 0.408
M‖S 大豆Soybean 04/25 09/06 154 134 0.130
玉米Maize 04/25 09/26
2018 M‖P 豌豆Pea 03/26 07/11 193 83 0.570
M‖F 蚕豆Faba bean 03/26 08/03 193 106 0.451
M‖S 大豆Soybean 04/19 08/29 169 132 0.219
玉米Maize 04/19 10/05
2019 M‖P 豌豆Pea 03/24 07/05 204 79 0.613
M‖F 蚕豆Faba bean 03/24 08/05 204 110 0.461
M‖S 大豆Soybean 04/17 09/03 180 139 0.228
玉米Maize 04/17 10/14
2020 M‖P 豌豆Pea 03/23 07/05 202 75 0.629
M‖F 蚕豆Faba bean 03/23 08/05 202 106 0.475
M‖S 大豆Soybean 04/21 09/02 173 134 0.225
玉米Maize 04/21 10/11

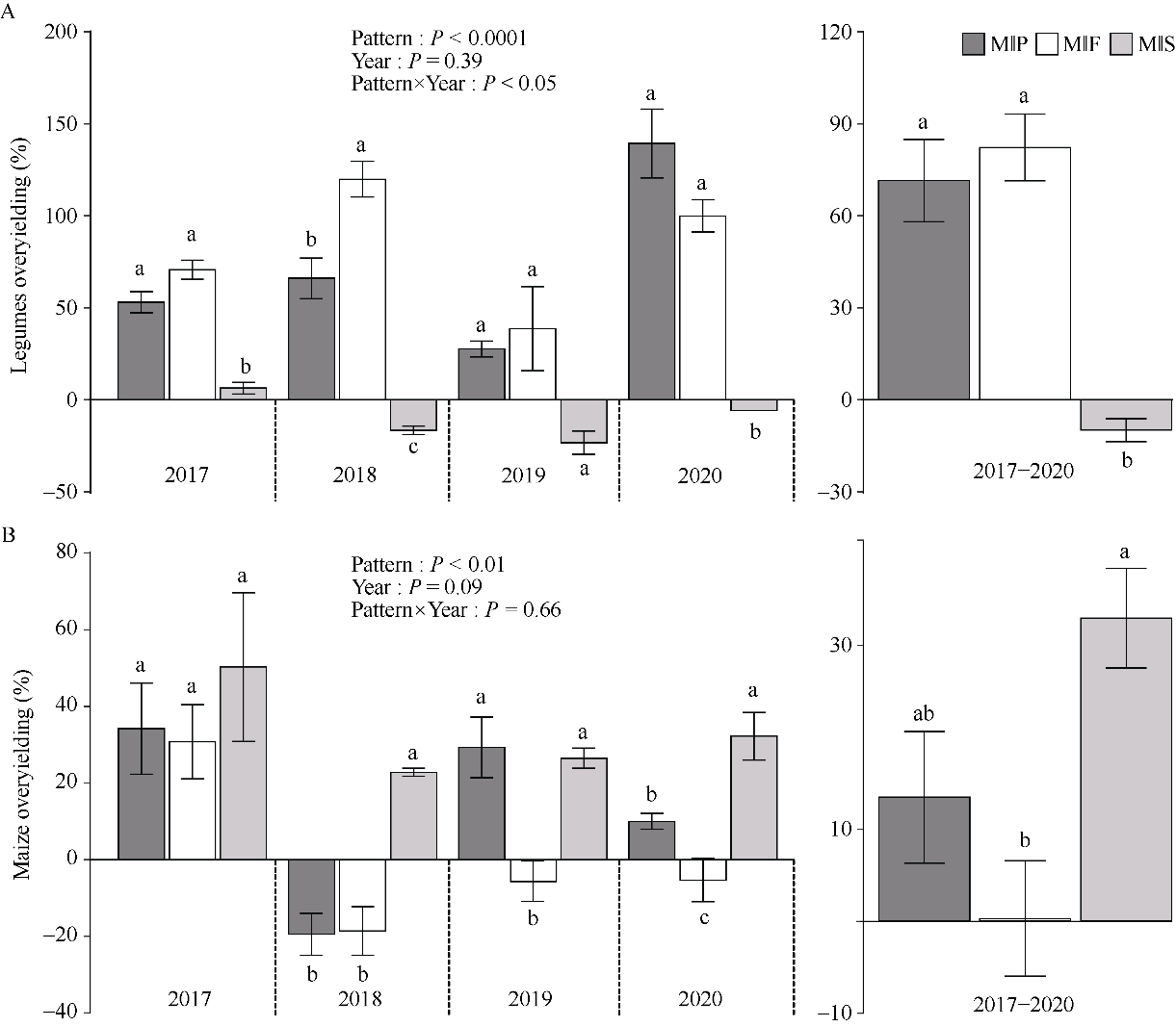
图2

不同种植体系及作物产量稳定性 M: 单作; I: 间作。其中A图中不同小写字母表示各间作模式在0.05水平差异显著; B图中不同小写字母表示同一作物不同种植模式间在0.05水平差异显著; C图中不同小写字母表示不同种植体系下玉米产量稳定性在0.05水平差异显著。缩写同表1。"

图3

不同间作体系及单作加权产量 MM: 单作玉米; MP: 单作豌豆; MF: 单作蚕豆; MS: 单作大豆。缩写同表1和图2。"

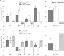
图4

玉米超产率和豆科作物超产率 图中不同小写字母表示同一年份不同处理间在0.05水平差异显著。缩写同表1和图2。"

图5

不同间作体系玉米与豆科作物的相对相互作用指数 RIIL: 豆科相对相互作用指数; RIIM: 玉米相对相互作用指数。图中不同小写字母表示同一年份或四年平均下不同处理间在0.05水平差异显著。缩写同表1。"

图6

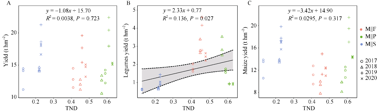
时间生态位分离与玉‖豆间作体系生产力的回归分析 A: 时间生态位分离与体系产量间的回归分析; B: 时间生态位分离与豆科作物产量间的回归分析; C: 时间生态位分离与玉米产量间的回归分析。缩写同表1。"

图7

时间生态位分离与玉米(豆科)种间相互作用的回归分析 A: 时间生态位分离与豆科作物相对相互作用指数间的回归分析; B: 时间生态位分离与玉米相对相互作用指数间的回归分析。缩写同表1和图5。"

图8

相对相互作用指数与作物超产率的回归分析 A: 玉米相对相互作用指数与玉米超产率的回归分析; B: 豆科作物相对相互作用指数与豆科作物超产率的回归分析; C: 玉米相对相互作用指数与体系超产率的回归分析。缩写同表1和图5。"

[1] Loreau M. Biodiversity and ecosystem functioning: a mechanistic model. Proc Natl Acad Sci USA, 1998, 95: 5632-5636.
doi: 10.1073/pnas.95.10.5632 pmid: 9576935
[2] Zhang W P, Fornara D, Yang H, Yu R P, Callaway R M, Li L. Plant litter strengthens positive biodiversity-ecosystem functioning relationships over time. Trends Ecol Evol, 2023, 38: 473-484.
doi: 10.1016/j.tree.2022.12.008
[3] 郑浩飞, 逄蕾, 孙建好, 赵建华, 于瑞鹏, 李隆. 玉米||豌豆间作体系生产力对覆膜方式及化肥施用量的响应. 中国生态农业学报(中英文), 2024, 32: 1639-1649.
Zheng H F, Pang L, Sun J H, Zhao J H, Yu R P, Li L. Responses of productivity to film mulching patterns and chemical fertilizer application rates in maize || pea intercropping system. Chin J Eco- Agric, 2024, 32: 1639-1649 (in Chinese with English abstract).
[4] Chai Q, Nemecek T, Liang C, Zhao C, Yu A Z, Coulter J A, Wang Y F, Hu F L, Wang L, Siddique K H M, et al. Integrated farming with intercropping increases food production while reducing environmental footprint. Proc Natl Acad Sci USA, 2021, 118: e2106382118.
[5] Zhang W P, Surigaoge S, Yang H, Yu R P, Wu J P, Xing Y, Chen Y L, Li L. Diversified cropping systems with complementary root growth strategies improve crop adaptation to and remediation of hostile soils. Plant Soil, 2024, 502: 7-30.
[6] Xu Z, Li C J, Zhang C C, Yu Y, van der Werf W, Zhang F S. Intercropping maize and soybean increases efficiency of land and fertilizer nitrogen use: a meta-analysis. Field Crops Res, 2020, 246: 107661.
[7] Li X F, Wang Z G, Bao X G, Sun J H, Yang S C, Wang P, Wang C B, Wu J P, Liu X R, Tian X L, et al. Long-term increased grain yield and soil fertility from intercropping. Nat Sustain, 2021, 4: 943-950.
doi: 10.1038/s41893-021-00767-7
[8] 杨浩.施氮及种间相互作用对玉米豆科间作作物功能性状可塑性及生产力稳定性的影响. 中国农业大学博士学位论文, 北京, 2023.
Yang H.Effects of Nitrogen Application and Interspecific Interactions on Plasticity of Crop Functional Traits, Productivity, and Stability of Productivity in Maize/legumes Intercropping. PhD Dissertation of China Agricultural University, Beijing, China, 2023 (in Chinese with English abstract).
[9] 李隆. 间套作强化农田生态系统服务功能的研究进展与应用展望. 中国生态农业学报, 2016, 24: 403-415.
Li L. Intercropping enhances agroecosystem services and functioning: current knowledge and perspectives. Chin J Eco-Agric, 2016, 24: 403-415 (in Chinese with English abstract).
[10] Zhao J H, Bedoussac L, Sun J H, Chen W, Li W Q, Bao X G, van der Werf W, Li L. Competition-recovery and overyielding of maize in intercropping depend on species temporal complementarity and nitrogen supply. Field Crops Res, 2023, 292: 108820.
[11] Vandermeer J H. The Ecology of Intercropping. Cambridge UK: Cambridge University Press, 1989.
[12] Li L, Sun J H, Zhang F S, Li X L, Yang S C, Rengel Z. Wheat/maize or wheat/soybean strip intercropping: I. yield advantage and interspecific interactions on nutrients. Field Crops Res, 2001, 71: 123-137.
doi: 10.1016/S0378-4290(01)00156-3
[13] Li L, Sun J H, Zhang F S, Li X L, Rengel Z, Yang S C. Wheat/maize or wheat/soybean strip intercropping: II. recovery or compensation of maize and soybean after wheat harvesting. Field Crops Res, 2001, 71: 173-181.
doi: 10.1016/S0378-4290(01)00157-5
[14] Johansen A, Jensen E S. Transfer of N and P from intact or decomposing roots of pea to barley interconnected by an arbuscular mycorrhizal fungus. Soil Biol Biochem, 1996, 28: 73-81.
doi: 10.1016/0038-0717(95)00117-4
[15] Zhou D Y, Li S X, Yu P H, Xie L L, Xiu N X, Zhao Y B, Dong Q Q, Zhang H, Wang J, Wang X G, et al. Maize/peanut strip intercropping improves yield stability and potassium use efficiency. Eur J Agron, 2025, 169: 127682.
[16] Salvagiotti F, Cassman K G, Specht J E, Walters D T, Weiss A, Dobermann A. Nitrogen uptake, fixation and response to fertilizer N in soybeans: a review. Field Crops Res, 2008, 108: 1-13.
doi: 10.1016/j.fcr.2008.03.001
[17] Hirel B, Le Gouis J, Ney B, Gallais A. The challenge of improving nitrogen use efficiency in crop plants: towards a more central role for genetic variability and quantitative genetics within integrated approaches. J Exp Bot, 2007, 58: 2369-2387.
doi: 10.1093/jxb/erm097 pmid: 17556767
[18] Zhang W P, Liu G C, Sun J H, Fornara D, Zhang L Z, Zhang F F, Li L, Niels A. Temporal dynamics of nutrient uptake by neighbouring plant species: evidence from intercropping. Funct Ecol, 2017, 31: 469-479.
[19] Frison E A, Cherfas J, Hodgkin T. Agricultural biodiversity is essential for a sustainable improvement in food and nutrition security. Sustainability, 2011, 3: 238-253.
doi: 10.3390/su3010238
[20] Feng W H, Ge J Y, Rodríguez A R S, Zhao B P, Wang X Y, Peixoto L, Yang Y D, Zeng Z H, Zang H D. Oat/soybean strip intercropping benefits crop yield and stability in semi-arid regions: a multi-site and multi-year assessment. Field Crops Res, 2024, 318: 109560.
[21] Li Y H, Shi D Y, Li G H, Zhao B, Zhang J W, Liu P, Ren B Z, Dong S T. Maize/peanut intercropping increases photosynthetic characteristics, 13C-photosynthate distribution, and grain yield of summer maize. J Integr Agric, 2019, 18: 2219-2229.
doi: 10.1016/S2095-3119(19)62616-X
[22] Wu J P, Bao X G, Zhang J D, Lu B L, Zhang W P, Callaway R M, Li L. Temporal stability of productivity is associated with complementarity and competitive intensities in intercropping. Ecol Appl, 2023, 33: e2731.
[23] Sharaiha R, Gliessman S. The effects of crop combination and row arrangement in the intercropping of lettuce, favabean and pea on weed biomass and diversity and on crop yields. Biol Agric Hortic, 1992, 9: 1-13.
doi: 10.1080/01448765.1992.9754615
[24] Wang Z S, Dong B, Stomph T J, Evers J B, van der Putten P E L, Ma H H, Missale R, van der Werf W. Temporal complementarity drives species combinability in strip intercropping in the Netherlands. Field Crops Res, 2023, 291: 108757.
[25] Li Q Z, Sun J H, Wei X J, Christie P, Zhang F S, Li L. Overyielding and interspecific interactions mediated by nitrogen fertilization in strip intercropping of maize with faba bean, wheat and barley. Plant Soil, 2011, 339: 147-161.
doi: 10.1007/s11104-010-0561-5
[26] Döring T F, Reckling M. Detecting global trends of cereal yield stability by adjusting the coefficient of variation. Eur J Agron, 2018, 99: 30-36.
doi: 10.1016/j.eja.2018.06.007
[27] Yu Y, Stomph T J, Makowski D, van der Werf W. Temporal niche differentiation increases the land equivalent ratio of annual intercrops: a meta-analysis. Field Crops Res, 2015, 184: 133-144.
doi: 10.1016/j.fcr.2015.09.010
[28] Armas C, Ordiales R, Pugnaire F I. Measuring plant interactions: a new comparative index. Ecology, 2004, 85: 2682-2686.
doi: 10.1890/03-0650
[29] Sekiya N, Araki H, Yano K. Applying hydraulic lift in an agroecosystem: forage plants with shoots removed supply water to neighboring vegetable crops. Plant Soil, 2011, 341: 39-50.
doi: 10.1007/s11104-010-0581-1
[30] 董楠.不同作物组合间作优势和时空稳定性的生态机制. 中国农业大学博士学位论文, 北京, 2017.
Dong N.Ecological Mechanism of Intercropping Advantages and Temporal and Spatial Stability of Different Crop Combinations. PhD Dissertation of China Agricultural University, Beijing, China, 2017 (in Chinese with English abstract).
[31] 赵建华, 孙建好, 陈亮之, 李伟绮, 曹素珍, 谷科强. 玉米与不同豆科作物间作对氮素的竞争与恢复效应. 植物营养与肥料学报, 2023, 29: 640-650.
Zhao J H, Sun J H, Chen L Z, Li W Q, Cao S Z, Gu K Q. Nitrogen competition and recovery effects of maize in different maize/legumes intercropping systems. J Plant Nutr Fert, 2023, 29: 640-650 (in Chinese with English abstract).
[32] Zhang W P, Gao S N, Li Z X, Xu H S, Yang H, Yang X, Fan H X, Su Y, Fornara D, Li L. Shifts from complementarity to selection effects maintain high productivity in maize/legume intercropping systems. J Appl Ecol, 2021, 58: 2603-2613.
doi: 10.1111/jpe.v58.11
[33] 肖焱波, 李隆, 张福锁. 豆科//禾本科间作系统中氮营养研究进展. 中国农业科技导报, 2003, (6): 44-49.
Xiao Y B, Li L, Zhang F S. An outlook of the complementary nitrogen nutrition in the legume//graminaceae system. J Agric Sci Technol, 2003, (6): 44-49 (in Chinese with English abstract).
[34] 赵建华, 孙建好, 陈亮之. 三种豆科作物与玉米间作对玉米生产力和种间竞争的影响. 草业学报, 2020, 29(1): 86-94.
doi: 10.11686/cyxb2019119
Zhao J H, Sun J H, Chen L Z. Productivity and interspecific competition of maize intercropped with faba bean, soybean or pea. Acta Pratac Sin, 2020, 29(1): 86-94 (in Chinese with English abstract).
[35] 赵建华, 孙建好, 陈亮之, 李伟绮. 玉/豆间作产量优势中补偿效应和选择效应的角色. 作物学报, 2022, 48: 2588-2596.
doi: 10.3724/SP.J.1006.2022.13063
Zhao J H, Sun J H, Chen L Z, Li W Q. Role of complementarity and select effect for yield advantage of maize/legumes intercropping systems. Acta Agron Sin, 2022, 48: 2588-2596 (in Chinese with English abstract).
[36] Li X F, Wang C B, Zhang W P, Wang L H, Tian X L, Yang S C, Jiang W L, van Ruijven J, Li L. The role of complementarity and selection effects in P acquisition of intercropping systems. Plant Soil, 2018, 422: 479-493.
doi: 10.1007/s11104-017-3487-3
[37] Li L, Li S M, Sun J H, Zhou L L, Bao X G, Zhang H G, Zhang F S. Diversity enhances agricultural productivity via rhizosphere phosphorus facilitation on phosphorus-deficient soils. Proc Natl Acad Sci USA, 2007, 104: 11192-11196.
[38] Li Y Y, Yu C B, Cheng X, Li C J, Sun J H, Zhang F S, Lambers H, Li L. Intercropping alleviates the inhibitory effect of N fertilization on nodulation and symbiotic N2 fixation of faba bean. Plant Soil, 2009, 323: 295-308.
doi: 10.1007/s11104-009-9938-8
[39] Peoples M B, Chalk P M, Unkovich M J, Boddey R M. Can differences in 15N natural abundance be used to quantify the transfer of nitrogen from legumes to neighbouring non-legume plant species? Soil Biol Biochem, 2015, 87: 97-109.
doi: 10.1016/j.soilbio.2015.04.010
[40] 潘多锋, 张瑞博, 李道明, 金慧, 高超, 张睿, 王明泽, 高嫱, 周春薇, 张举梅. 箭筈豌豆种质资源苗期抗旱性综合评价. 草业科学, 2023, 40: 188-199.
Pan D F, Zhang R B, Li D M, Jin H, Gao C, Zhang R, Wang M Z, Gao Q, Zhou C W, Zhang J M. Comprehensive evaluation of drought resistance in the Vicia sativa germplasm at the seedling stage. Pratac Sci, 2023, 40: 188-199 (in Chinese with English abstract).
[41] 高利英, 王晓歌, 邓永胜, 申贵芳, 孔凡金, 徐东东, 王宗文, 段冰, 韩宗福. 豌豆应对非生物胁迫的研究进展. 山东农业科学, 2024, 56(9): 172-180.
Gao L Y, Wang X G, Deng Y S, Shen G F, Kong F J, Xu D D, Wang Z W, Duan B, Han Z F. Research progress on abiotic stress response in pea. Shandong Agric Sci, 2024, 56(9): 172-180 (in Chinese with English abstract).
[42] Gao Y, Duan A W, Qiu X Q, Liu Z G, Sun J S, Zhang J P, Wang H Z. Distribution of roots and root length density in a maize/ soybean strip intercropping system. Agric Water Manag, 2010, 98: 199-212.
doi: 10.1016/j.agwat.2010.08.021
[43] Zhang W P, Liu G C, Sun J H, Zhang L Z, Weiner J, Li L. Growth trajectories and interspecific competitive dynamics in wheat/maize and barley/maize intercropping. Plant Soil, 2015, 397: 227-238.
doi: 10.1007/s11104-015-2619-x
[44] Li L, Sun J H, Zhang F S, Guo T W, Bao X G, Smith F A, Smith S E. Root distribution and interactions between intercropped species. Oecologia, 2006, 147: 280-290.
pmid: 16211394
[1] 闫喆林, 任强, 樊志龙, 殷文, 孙亚丽, 范虹, 何蔚, 胡发龙, 闫丽娟, 柴强. 氮肥后移优化绿洲灌区小麦间作玉米种间关系提高氮素利用效率[J]. 作物学报, 2025, 51(8): 2190-2203.
[2] 闫尚龙, 王琦明, 柴强, 殷文, 樊志龙, 胡发龙, 刘志鹏, 韦金贵. 绿洲灌区玉米籽粒产量及品质对密植及间作豌豆的响应[J]. 作物学报, 2025, 51(6): 1665-1675.
[3] 王崇铭, 陆志峰, 闫金垚, 宋毅, 王昆昆, 方娅婷, 李小坤, 任涛, 丛日环, 鲁剑巍. 磷肥用量对油稻轮作系统作物产量与磷素吸收量及其稳定性的影响[J]. 作物学报, 2025, 51(2): 447-458.
[4] 张辰煜, 葛军勇, 褚俊聪, 王星宇, 赵宝平, 杨亚东, 臧华栋, 曾昭海. 燕麦红芸豆带状间作的产量效应及根系形态与土壤酶活性[J]. 作物学报, 2025, 51(2): 459-469.
[5] 刘志鹏, 苟志文, 柴强, 殷文, 樊志龙, 胡发龙, 范虹, 王琦明. 干旱灌区绿肥对多样化种植小麦玉米产量性能指标的影响[J]. 作物学报, 2024, 50(9): 2415-2424.
[6] 桑会哲, 王超, 樊志龙, 殷文, 范虹, 何蔚, 胡发龙, 柴强. 氮肥减施对青贮玉米豆科饲草间作系统水分利用特征的影响[J]. 作物学报, 2024, 50(11): 2848-2859.
[7] 王昀杰, 樊志龙, 张刁亮, 毛守发, 胡发龙, 殷文, 柴强. 不同灌水量下玉米的产量可持续性对间作绿肥的响应[J]. 作物学报, 2024, 50(10): 2562-2574.
[8] 袁晓婷, 王甜, 罗凯, 刘姗姗, 彭新月, 杨立达, 蒲甜, 王小春, 杨文钰, 雍太文. 带宽和株距对带状间作大豆物质积累分配及产量形成的影响[J]. 作物学报, 2024, 50(1): 161-171.
[9] 舒泽兵, 罗万宇, 蒲甜, 陈国鹏, 梁冰, 杨文钰, 王小春. 基于高产与高效条件下鲜食玉米鲜食大豆带状间作田间配置技术优化[J]. 作物学报, 2023, 49(4): 1140-1150.
[10] 吴香奇, 刘博, 张威, 杨雪妮, 郭子艳, 刘铁宁, 张旭东, 韩清芳. 小麦豌豆间作对群体光合特性和生产力的影响[J]. 作物学报, 2023, 49(4): 1079-1089.
[11] 肖健, 韦星璇, 杨尚东, 卢文, 谭宏伟. 间作西瓜对甘蔗产量效益和根际土壤理化性质及微生态的影响[J]. 作物学报, 2023, 49(2): 526-538.
[12] 高超, 陈平, 杜青, 付智丹, 罗凯, 林萍, 李易玲, 刘姗姗, 雍太文, 杨文钰. 播期、密度对带状间作大豆茎叶生长及产量形成的影响[J]. 作物学报, 2023, 49(11): 3090-3099.
[13] 林志敏, 秦贤金, 吴红淼, 庞孜钦, 林文雄. 不同太子参品种对连作胁迫差异响应及种内间作效应分析[J]. 作物学报, 2022, 48(9): 2351-2365.
[14] 杨欢, 周颖, 陈平, 杜青, 郑本川, 蒲甜, 温晶, 杨文钰, 雍太文. 玉米-豆科作物带状间套作对养分吸收利用及产量优势的影响[J]. 作物学报, 2022, 48(6): 1476-1487.
[15] 赵建华, 孙建好, 陈亮之, 李伟绮. 玉/豆间作产量优势中补偿效应和选择效应的角色[J]. 作物学报, 2022, 48(10): 2588-2596.
Viewed
Full text


Abstract

Cited

  Shared   
  Discussed   
No Suggested Reading articles found!